Системы вентиляционные. Методы аэродинамических испытаний. ГОСТ 12.3.018-79
МЕЖГОСУДАРСТВЕННЫЙ СТАНДАРТ
Система стандартов безопасности труда
Постановлением Государственного комитета СССР по стандартам от 5 сентября 1979 г. № 3341 дата введения установлена 01.01.81.
Постановлением Госстандарта от 24.01.86 № 182 снято ограничение срока действия
Настоящий стандарт распространяется на аэродинамические испытания вентиляционных систем зданий и сооружений.
Стандарт устанавливает методы измерений и обработки результатов при проведении испытаний вентиляционных систем и их элементов для определения расходов воздуха и потерь давления.
Содержание
- 1. Метод выбора точек измерений
- 2. Аппаратура
- 3. Подготовка к испытаниям
- 4. Проведение испытания
- 5. Обработка результатов измерений
- 6. Требования безопасности
- Приложение. Расчет погрешностей измерения расхода воздуха комбинированным приемником давления в сочетании с дифференциальным манометром
1. МЕТОД ВЫБОРА ТОЧЕК ИЗМЕРЕНИЙ
1.1. Для измерения давлений и скоростей движения воздуха в воздуховодах (каналах) должны быть выбраны участки с расположением мерных сечений на расстояниях не менее шести гидравлических диаметров Dh, м за местом возмущения потока (отводы, шиберы, диафрагмы и т. п.) и не менее двух гидравлических диаметров перед ним.
При отсутствии прямолинейных участков необходимой длины допускается располагать мерное сечение в месте, делящем выбранный для измерения участок в отношении 3 : 1 в направлении движения воздуха.
Примечание. Гидравлический диаметр определяется по формуле:
Dh= 4F / П ,
где F, м2 и П, м, соответственно, площадь и периметр сечения.
1.2. Допускается размещать мерное сечение непосредственно в месте внезапного расширения или сужения потока. При этом размер мерного сечения принимают соответствующим наименьшему сечению канала.
1.3. Координаты точек измерений давлений и скоростей, а также количество точек определяются формой и размерами мерного сечения по черт. 1 и 2. Максимальное отклонение координат точек измерений от указанных на чертежах не должно превышать ±10 %. Количество измерений в каждой точке должно быть не менее трех.
1.4. При использовании анемометров время измерения в каждой точке должно быть не менее 10с.
Координаты точек измерения давлений и скоростей в воздуховодах цилиндрического сечения
Координаты точек измерения давлений и скоростей в воздуховодах прямоугольного сечения
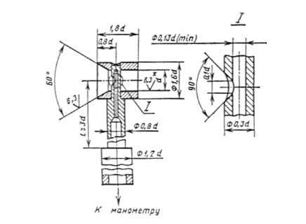
Основные размеры приемной части комбинированного приемника давления
* Диаметр d не должен превышать 8 % внутреннего диаметра круглого или ширины (по внутреннему обмеру) прямоугольного воздуховода.
Основные размеры приемной части приемника полного давления
* Диаметр d не должен превышать 8 % внутреннего диаметра круглого или ширины (по внутреннему обмеру) прямоугольного воздуховода.
2. АППАРАТУРА
2.1. Для аэродинамических испытаний вентиляционных систем должна применяться следующая аппаратура:
- а) комбинированный приемник давления — для измерения динамических давлений потока при скоростях движения воздуха более 5 м/с и статических давлений в установившихся потоках (черт. 3);
- б) приемник полного давления — для измерения полных давлений потока при скоростях движения воздуха более 5 м/с (черт. 4);
- в) дифференциальные манометры класса точности от 0,5 до 1,0 по ГОСТ 18140-84 и тягомеры по ГОСТ 2405-88 — для регистрации перепадов давлений;
- г) анемометры по ГОСТ 6376—74 и термоанемометры — для измерения скоростей воздуха менее 5 м/с;
- д) барометры класса точности не ниже 1,0 — для измерения давления в окружающей среде;
- е) ртутные термометры класса точности не ниже 1,0 по ГОСТ 13646—68 и термопары — для измерения температуры воздуха;
- ж) психрометры класса точности не ниже 1,0 по ТУ 25.1607.054-85 и психрометрические термометры по ГОСТ 112-78 — для измерения влажности воздуха.
Примечание. При измерениях скоростей воздуха, превышающих 5 м/с в потоках, где затруднено применение приемников давления, допускается использовать анемометры по ГОСТ 6376-74 и термоанемометры.
2.2. Конструкции приборов, применяемых для измерения скоростей и давлений запыленных потоков, должны позволять их очистку от пыли в процессе эксплуатации.
2.3. Для проведения аэродинамических испытаний в пожаровзрывоопасных производствах должны применяться приборы, соответствующие категории и группе производственных помещений.
3. ПОДГОТОВКА К ИСПЫТАНИЯМ
3.1. Перед испытаниями должна быть составлена программа испытаний с указанием цели, режимов работы оборудования и условий проведения испытаний.
3.2. Вентиляционные системы и их элементы должны быть проверены и обнаруженные дефекты устранены.
3.3. Показывающие приборы (дифференциальные манометры, психрометры, барометры и др.), а также коммуникации к ним следует располагать таким образом, чтобы исключить воздействие на них потоков воздуха, вибраций, конвективного и лучистого тепла, влияющих на показания приборов.
3.4. Подготовку приборов к испытаниям необходимо проводить в соответствии с паспортами приборов и действующими инструкциями по их эксплуатации.
4. ПРОВЕДЕНИЕ ИСПЫТАНИЯ
4.1. Испытания следует проводить не ранее чем через 15 мин после пуска вентиляционного агрегата.
4.2. При испытаниях, в зависимости от программы, измеряют:
- барометрическое давление окружающей воздушной среды Ва, кПа (кгс/см2);
- температуру перемещаемого воздуха по сухому и влажному термометру, соответственно, t и fφ, °С;
- температуру воздуха в рабочей зоне помещения ta, °С;
- динамическое давление потока воздуха в точке мерного сечения рdi, кПа (кгс/м2); статическое давление воздуха в точке мерного сечения рsi, кПа (кгс/м2);
- полное давление воздуха в точке мерного сечения рi, кПа (кгс/м2);
- время перемещения анемометра по площади мерного сечения τ, с;
- число делений счетного механизма оборотов механического анемометра за время τ обвода сечения n.
Примечания:
1. Измерения статического или полного давлений производят при определении давления, развиваемого вентилятором, и потерь давления в вентиляционной сети или на ее участке.
2. Значение полного (p, кПа, кгс/м2) и статического (ps, кПа, кгс/м2) давлений представляют собой соответствующие перепады полных и статических давлений потока с барометрическим давлением окружающей среды. Перепад считается положительным, если соответствующее значение превышает давление окружающей среды, в противном случае p и ps — отрицательны.
4.3. При измерении давлений и скоростей потока в воздуховодах и расположении мерного сечения на прямолинейном участке длиной не менее 8Dh допускается проводить измерения статического давления потока воздуха и в отдельных точках сечения - полного давления комбинированным приемником давления.
4.4. Зазоры между измерительными приборами и отверстиями, через которые они вводятся в закрытые каналы, должны быть уплотнены во время испытаний, а отверстия закрыты после проведения испытаний.
5. ОБРАБОТКА РЕЗУЛЬТАТОВ ИЗМЕРЕНИЙ
5.1. На основе величин, измеренных в соответствии с программой, определяют:
- относительную влажность перемещаемого воздуха φ, %;
- плотность перемещаемого воздуха ρ, кг/м3 (кгс•с2/м3);
- скорости движения воздуха V, м/с;
- расход воздуха L, м3/с;
- потери полного давления в вентиляционной сети или в отдельных ее элементах Δр, кПа (кгс/м2);
- коэффициент потерь давления вентиляционной сети или ее элемента ξ.
5.2. Относительную влажность перемещаемого воздуха определяют по показаниям сухого и влажного термометров в соответствии с паспортом прибора.
5.3. Плотность перемещаемого воздуха определяют по формуле

где р` — статическое или полное давление потока, измеренное комбинированным приемником давления или приемником полного давления в одной из точек мерного сечения;
Kφ — коэффициент, зависящий от температуры и влажности перемещаемого воздуха. Значение Kφ определяется по табл. 1.
Зависимость коэффициента Kφ от температуры и влажности перемещаемого воздуха
Таблица 1
| t, °C | 10 | 20 | 30 | 40 | 50 | |||||
| φ, % | 50 | 100 | 50 | 100 | 50 | 100 | 50 | 100 | 50 | 100 |
| Kφ | 0,998 | 1,003 | 1,000 | 1,005 | 1,004 | 1,012 | 1,010 | 1,025 | 1,020 | 1,040 |
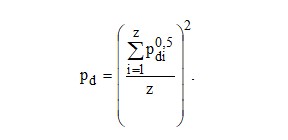
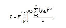
5.4. Динамическое давление рd кПа (кгс/м2) средней скорости движения воздуха определяют по измеренным в z точках (черт. 1 или 2) комбинированным приемником давления величинам динамических давлении рdi по формуле

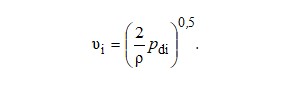
5.5. Скорость движения воздуха Vi, м/с в точке мерного сечения по измерениям динамического давления рdi определяют согласно формуле

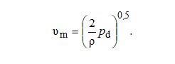
5.6. Среднюю скорость движения воздуха Vm, м/с, в мерном сечении по измерениям динамического давления в z точках (по черт. 1 или 2) определяют по формуле

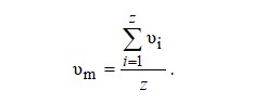
5.7. При измерениях анемометрами скорость движения воздуха в отдельных точках мерного сечения определяют по показаниям прибора n и графику индивидуальной тарировки прибора V(n); при этом среднюю скорость движения воздуха Vm определяют по формуле

5.8. Объемный расход L, м3/с, воздуха определяют по формуле
L = F Vm.
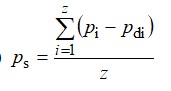
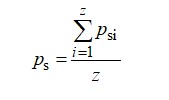
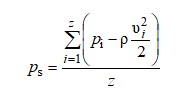
5.9. Статическое давление рs потока в мерном сечении определяют по следующим формулам:
а) при измерениях полных и динамических давлений:

б) при измерениях статических давлений:

в) при измерениях скоростей потока и полных давлений:

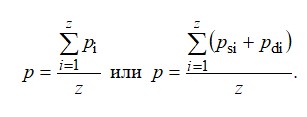
5.10. Полное давление р потока в мерном сечении рассчитывают по формулам

5.11. Потери полного давления элемента сети определяют по формуле
Δp = p1 - p2.
где р1 и р2 — полные давления, определенные по п. 5.10, в мерных сечениях 1 и 2, расположенных, соответственно, на входе в элемент и на выходе из него.
5.12. Потери полного давления элемента сети, расположенного на входе в сеть, определяют по формуле
Δp = p2.
5.13. Потери полного давления элемента сети, расположенного на выходе из сети, определяют по формуле
Δp = p1.
5.14. Коэффициент потерь давления элементов сети определяют по формуле
ξ = Δp / pd .
где рd — динамическое давление (по п. 5.4) в мерном сечении, выбранном в качестве характерного.
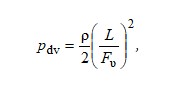
5.15. Динамическое давление рdv, кПа (кгс/м2), вентилятора определяют по формуле

где Fv — площадь выходного отверстия вентилятора.
5.16. Статическое давление psv, кПа (кгс/м2), вентилятора определяют по формуле
psv = ps2 - ps1 - pd1 ,
где рs1 и рs2 — соответственно статические давления в мерных сечениях 1 и 2 перед и за вентилятором, определенные по п. 5.9;
рd1 — динамическое давление в мерном сечении 1, на входе в вентилятор, определенное по п. 5.4.
5.17. Полное давление вентилятора pv, кПа (кгс/м2), равно суммарным потерям ΔрΣ сети и определяется по формуле
pv = p2 - p1 .
Примечание. Безразмерные параметры, характеризующие аэродинамические свойства собственно вентилятора (его коэффициенты полного ψv, статического ψs и динамического φdv давлений, а также коэффициент расхода воздуха φv) определяют, если это предусмотрено программой испытаний, по формулам, приведенным в ГОСТ 10921-90.
5.18. В случаях, предусмотренных программой испытаний, производят расчет предельной погрешности определения расхода воздуха по результатам измерений. Порядок расчета при измерениях пневмометрическим насадком в сочетании с дифференциальным манометром дан в рекомендуемом приложении.
6. ТРЕБОВАНИЯ БЕЗОПАСНОСТИ
6.1. При проведении аэродинамических испытаний вентиляционных систем должны соблюдаться требования безопасности согласно ГОСТ 12.4.021-75.
6.2. Проведение аэродинамических испытаний не должно ухудшать проветривание и приводить к скоплению взрывоопасной концентрации газов.
ПРИЛОЖЕНИЕ
Рекомендуемое
РАСЧЕТ ПОГРЕШНОСТЕЙ ИЗМЕРЕНИЯ РАСХОДА ВОЗДУХА КОМБИНИРОВАННЫМ ПРИЕМНИКОМ ДАВЛЕНИЯ В СОЧЕТАНИИ С ДИФФЕРЕНЦИАЛЬНЫМ МАНОМЕТРОМ
Из уравнений пп. 4.3—4.8 следует:

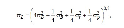
При этом предельная относительная погрешность определения расхода воздуха в процентах выражается следующей формулой:
δL = ( 2σL+δφ) ,
где σL — среднеквадратичная относительная погрешность, обусловленная неточностью измерений в процессе испытаний;
δφ — предельная, относительная погрешность определения расхода воздуха, связанная с неравномерностью распределения скоростей в мерном сечении; величины δφ даны в табл. 1 настоящего приложения. Величина σL представляется в виде:

где σD — среднеквадратичная погрешность определения размеров мерного сечения, зависящая от гидравлического диаметра воздуховода; при 100мм ≤ Dh ≤ 300 мм величина σD = ±3%, при Dh > 300мм σD = ±2%; σp, σB, σt — среднеквадратичные погрешности измерений, соответственно, динамического давления Рd потока, барометрического давления Ba, температуры t потока, величины σp, σB, σt даны в табл. 2 настоящего приложения.
Пользуясь табл. 1 и 2 и приведенными формулами вычисляют предельную погрешность определения расхода воздуха.
Таблица 1
Предельная относительная погрешность δφ, вызванная неравномерностью распределения скоростей в мерном сечении
| Форма мерного сечения | Число точек измерений | δ, %, при расстоянии от места возмущения потока до мерного сечения в гидравлических диаметрах Dh | ||||
|---|---|---|---|---|---|---|
| 1 | 2 | 3 | 5 | > 5 | ||
| Круг | 4 | 20 | 16 | 12 | 6 | 3 |
| 8 | 16 | 12 | 10 | 5 | 2 | |
| 12 | 12 | 8 | 6 | 3 | 2 | |
| Прямо- угольник | 4 | 24 | 20 | 15 | 8 | 4 |
| 16 | 12 | 8 | 6 | 3 | 2 | |
Таблица 2
Среднеквадратичные погрешности σp, σB, σt показаний приборов
| Показание прибора в долях длины шкалы | σp, σB, σt, %, для приборов класса точности | |
|---|---|---|
| 10 | 0,5 | |
| 1,00 | ±0,5 | ±0,25 |
| 0,75 | ±0,7 | ±0,24 |
| 0,50 | ±1,0 | ±0,5 |
| 0,25 | ±2,0 | ±1,0 |
| 0,10 | ±5,0 | ±2,5 |
| 0,05 | ±10,0 | ±5,0 |
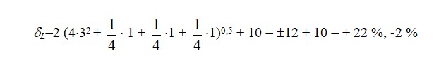
Пример. Мерное сечение расположено на расстоянии 3-х диаметров за коленом воздуховода диаметром 300 мм (т. е. σD = ± 3%). Измерения производят комбинированным приемником давления в 8-ми точках мерного сечения (т. е. по табл. 1 δφ = + 10%). Класс точности приборов (дифманометр, барометр, термометр) — 1,0. Отсчеты по всем приборам производятся, примерно, в середине шкалы, т. е. по табл. 2, σp = σB = σt = ± 1,0%. Предельная относительная погрешность измерения расхода воздуха составит:
