Конструкции для удаления дымовых газов. Металлические конструкции для удаления дымовых газов. Общие требования. ГОСТ Р 59412-2022.
ФЕДЕРАЛЬНОЕ АГЕНТСТВО
ПО ТЕХНИЧЕСКОМУ РЕГУЛИРОВАНИЮ И МЕТРОЛОГИИ
НАЦИОНАЛЬНЫЙ СТАНДАРТ
РОССИЙСКОЙ ФЕДЕРАЦИИ
КОНСТРУКЦИИ
ДЛЯ УДАЛЕНИЯ ДЫМОВЫХ ГАЗОВ
Общие требования
Москва
Российский институт стандартизации
2022
Предисловие
1. ПОДГОТОВЛЕН Некоммерческим партнерством «Альянс. Печных дел мастера» (НП «Альянс. Печных дел мастера») на основе собственного перевода на русский язык немецкоязычной версии стандарта, указанного в пункте 4
2. ВНЕСЕН Техническим комитетом по стандартизации ТК 061 «Вентиляция и кондиционирование»
3. УТВЕРЖДЕН И ВВЕДЕН В ДЕЙСТВИЕ Приказом Федерального агентства по техническому регулированию и метрологии от 29 сентября 2022 г. № 1023-ст
4. Настоящий стандарт является модифицированным по отношению к стандарту ДИН ЕН 1443—2019 «Конструкции для удаления дымовых газов. Общие требования» (DIN EN 1443—2019 «Abgasanlagen — Allgemeine Anforderungen», MOD) путем изменения от- дельных фраз (слов, ссылок), которые выделены в тексте курсивом.
Сведения о соответствии ссылочных национальных и межгосударственных стандартов международным и европейским стандартам, использованным в качестве ссылочных в примененном стандарте, приведены в дополнительном приложении ДА
Правила применения настоящего стандарта установлены в статье 26 Федерального закона от 29 июня 2015 г. № 162-ФЗ «О стандартизации в Российской Федерации». Информация об изменениях к настоящему стандарту публикуется в ежегодном (по состоянию на 1 января текущего года) информационном указателе «Национальные стандарты», а официальный текст изменений и поправок — в ежемесячном информационном указателе «Национальные стандарты». В случае пересмотра (замены) или отмены настоящего стандарта соответствующее уведомление будет опубликовано в ближайшем выпуске ежемесячного информационного указателя «Национальные стандарты». Соответствующая информация, уведомление и тексты размещаются также в информационной системе общего пользования — на официальном сайте Федерального агентства по техническому регулированию и метрологии в сети Интернет (www.rst.gov.ru)
Содержание
- Введение
- 1. Область применения
- 2. Нормативные ссылки
- 3. Термины и определения
- 4. Характеристики изделия
- 5. Испытание, оценка и отбор проб
- 6. Оценка и проверка стабильности производства (AVCP)
- 7. Обозначение изделия
- 8. Информация от производителя, этикетки и инструкции
- Приложение А
- Приложение В
- Приложение С
- Приложение ДА
- Библиография
Введение
Настоящий стандарт подготовлен в качестве гармонизированного с европейскими региональными нормами, устанавливает основные требования к конструкциям для удаления дымовых газов.
Происходившее в последние годы развитие оборудования для сжигания топлива в условиях рационального использования энергии и охраны окружающей среды привело к новым техническим разработкам в конструкциях для удаления дымовых газов. Поэтому появилась необходимость в создании правил для конструкций удаления дымовых газов, например правил для применения в режиме избы- точного давления и эксплуатации с образованием конденсата.
Конструкции для удаления дымовых газов состоят из различных строительных компонентов и могут быть выполнены в двух вариантах:
- дымоходная система в виде строительного комплекта, которая была собрана с использованием совместимых строительных компонентов одним производителем, берущим на себя ответственность за всю конструкцию удаления дымовых газов, или
- сборная конструкция для удаления дымовых газов, которая была смонтирована и установлена на строительной площадке в соответствии с проектной документацией или местными строительными нормами с использованием комбинации совместимых строительных компонентов от одного или нескольких производителей.
Стандарт охватывает оба случая. Перечень соответствующих требований для дымоходных систем и сборных конструкций для удаления дымовых газов приведен в приложении А.
В стандарте изложена схема обозначения конструкций для удаления дымовых газов, учитывающая все комбинации между оборудованием для сжигания топлива и конструкцией для удаления дымовых газов. Эта схема учитывает районы с различными климатическими условиями, разными видами топлива и здания с разными параметрами.
Настоящим стандартом регулируется такая характеристика конструкции удаления дымовых газов, как способность противостоять возгоранию примыкающих горючих строительных материалов и переносу огня от одного пожарного отсека к другому внутри здания.
1. Область применения
Настоящий стандарт устанавливает требования к основным характеристикам конструкций для удаления дымовых газов, внутренних труб, соединительных элементов, строительных компонентов и принадлежностей, которые служат для отвода продуктов сгорания от оборудования для сжигания топлива во внешнюю атмосферу.
Стандарт описывает устойчивые к возгоранию сажи конструкции для удаления дымовых газов, внутренние трубы, соединительные элементы, фасонные элементы и принадлежности устройств для сжигания твердого, жидкого и газообразного топлива, а также неустойчивые к возгоранию сажи конструкции для удаления дымовых газов, внутренние трубы, соединительные элементы, строительные компоненты и принадлежности устройств для сжигания жидкого и газообразного топлива. Он также содержит принадлежности для устройств, предназначенных для сжигания твердого, жидкого и газообразного топлива, не влияющих на надежность их последующей работы в случае возгорания сажи.
Примечание — Конструкции для удаления дымовых газов, внутренние трубы, соединительные элементы и строительные компоненты, которые не относятся ни к устойчивым к возгоранию сажи, ни к принадлежностям, не влияющим на надежность работы в случае возгорания сажи, не подходят для использования в устройствах, в которых происходит сжигание твердого топлива.
Кроме того, данный стандарт определяет минимальные требования к обозначению, инструкциям и информации об изделии и представляет собой руководство по оценке и проверке постоянства качества выпускаемой продукции (AVCP).
Стандарт не распространяется на отдельно стоящие конструкции для удаления дымовых газов.
2. Нормативные ссылки
В настоящем стандарте использованы нормативные ссылки на следующие стандарты:
ГОСТ 33103.1—2017 (ISO 17225-1:2014) Биотопливо твердое. Технические характеристики и классы топлива. Часть 1. Общие требования
ГОСТ 33103.2—2017 (ISO 17225-2:2014) Биотопливо твердое. Технические характеристики и классы топлива. Часть 2. Классификация древесных пеллет
ГОСТ 33103.3—2017 (ISO 17225-3:2014) Биотопливо твердое. Технические характеристики и классы топлива. Часть 3. Классификация древесных брикетов
ГОСТ 33103.4—2017 (ISO 17225-4:2014) Биотопливо твердое. Технические характеристики и классы топлива. Часть 4. Классификация древесной щепы
ГОСТ 33103.5—2017 (ISO 17225-5:2014) Биотопливо твердое. Технические характеристики и классы топлива. Часть 5. Классификация дров
ГОСТ Р 59375.1 Конструкции для удаления дымовых газов. Требования к металлическим конструкциям для удаления дымовых газов. Часть 1. Строительные компоненты конструкций для удаления дымовых газов
ГОСТ Р 59978.1 Конструкции для удаления дымовых газов. Теплотехнический и аэродинамиче- ский расчет. Часть 1. Конструкции для удаления дымовых газов от одного источника тепла
Примечание — При пользовании настоящим стандартом целесообразно проверить действие ссылочных стандартов в информационной системе общего пользования — на официальном сайте Федерального агентства по техническому регулированию и метрологии в сети Интернет или по ежегодному информационному указателю «Национальные стандарты», который опубликован по состоянию на 1 января текущего года, и по выпускам ежемесячного информационного указателя «Национальные стандарты» за текущий год. Если заменен ссылочный стандарт, на который дана недатированная ссылка, то рекомендуется использовать действующую версию этого стандарта с учетом всех внесенных в данную версию изменений. Если заменен ссылочный стандарт, на который дана датированная ссылка, то рекомендуется использовать версию этого стандарта с указанным выше годом утверждения (принятия). Если после утверждения настоящего стандарта в ссылочный стандарт, на который дана датированная ссылка, внесено изменение, затрагивающее положение, на которое дана ссылка, то это положение рекомендуется применять без учета данного изменения. Если ссылочный стандарт отменен без замены, то положение, в котором дана ссылка на него, рекомендуется применять в части, не затрагивающей эту ссылку.
3. Термины и определения
В настоящем стандарте применены следующие термины с соответствующими определениями:
3.1 устройство для сжигания топлива (Verbrennungseinrichtung): Устройство, в котором образуются продукты сгорания, которые должны быть отведены во внешнюю атмосферу.
Примечание — Например, источники тепла, приборы для приготовления пищи, двигатели, устройства для комбинированной выработки тепла и электроэнергии.
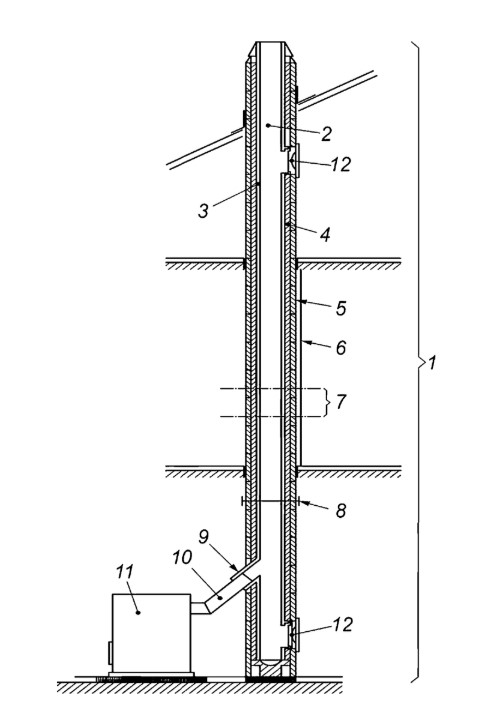
3.2 дымовой канал (Abgasweg): Канал для отвода продуктов сгорания от источника тепла в атмосферу и создания тяги (см. рисунок 1).
3.3 дымовые газы (Abgas): Газообразные компоненты продуктов сгорания топлива, которые удаляются через дымовой канал в атмосферу.
3.4 продукты сгорания (Verbrennungsprodukte): Продукты, образующиеся при сжигании топлива (газообразные, жидкие или твердые компоненты).
3.5 конструкция для удаления дымовых газов (Abgasanlage): Конструкция из одной или нескольких оболочек, окружающих один или несколько дымовых каналов, предназначенная для отвода продуктов сгорания во внешнюю атмосферу.
Примечание — Обобщающий термин «конструкция для удаления дымовых газов» в данном стандарте касается любых типов конструкций для удаления дымовых газов, которые используются для отвода продуктов сгорания во внешнюю атмосферу от любого устройства сжигания топлива. Сюда относятся и все другие широко используемые термины, такие как выпускные трубы, внутренние трубы, шахты, выхлопные системы, дымоходные шахты и т. д.
3.6 внутренняя труба (Innenrohr): Жесткая или гибкая внутренняя оболочка конструкции для удаления дымовых газов, состоящая из строительных компонентов, соприкасающихся с продуктами сгорания.
3.7 строительный комплект внутренней трубы (Innenrohrbausatz): Внутренняя труба, собранная с использованием совместимых строительных компонентов внутренней трубы, приобретенных или определенных в качестве комплекта производителем, который берет на себя ответственность за всю внутреннюю трубу, включая все строительные компоненты.
Примечание — Строительный комплект внутренней трубы не рассматривается как дымоходная система.
3.8 соединительный элемент (Verbindungsstiick): Строительный компонент или строительные компоненты для соединения между выпускным отверстием устройства для сжигания топлива и конструкцией для удаления дымовых газов (см. рисунок 1).
1 — вертикальная часть конструкции удаления дымовых газов; 2 — дымовой канал; 3— внутренняя труба; 4 — изоляция; 5 — внешняя оболочка; 6 — внешний защитный слой; 7 — секция конструкции для удаления дымовых газов; 8 — многослойная конструкция; 9 — фасонный элемент; 10 — соединительный элемент; 11 — устройство для сжигания топлива; 12 — принадлежность
Рисунок 1 — Строительные компоненты и принадлежности конструкции для удаления дымовых газов
3.9 строительный компонент (Bauteil): Любая часть конструкции для удаления дымовых газов, внутренней трубы или соединительного элемента.
3.10 секция (Abschnitt): Прямой строительный компонент конструкции для удаления дымовых газов, внутренней трубы или соединительного элемента, по которому движутся продукты сгорания (см. рисунок 1).
3.11 фасонный элемент (Formstuck): Строительный компонент конструкции для удаления дымовых газов, внутренней трубы или соединительного элемента, по которому движутся дымовые газы, за исключением прямых секций конструкции для удаления дымовых газов (см. рисунок 1).
3.12 принадлежность (Zubehorteil): Дополнительный строительный компонент, соприкасающийся с дымовыми газами, добавленный к конструкции для удаления дымовых газов или соединительному элементу для выполнения определенной функции (дверца, затвор, распорное кольцо, адаптер).
3.13 опорное и несущее устройство (Stutz- und Haltevorrichtung): Строительный компонент конструкции для удаления дымовых газов, внутренней трубы или соединительного элемента, используемый для ее крепления к структурным элементам или передачи на них дополнительной нагрузки.
Примечание — Структурными элементами могут быть здания, колонны, шахты и т. д.
3.14 оголовок (Aufsatz): Строительный компонент, завершающий конструкцию для удаления дымовых газов или внутреннюю трубу.
Примечание — Существуют оголовки для чисто декоративных целей и оголовки, предназначенные для определенных технологических нужд.
3.15 шов (Fuge): Место соединения между двумя строительными компонентами.
3.16 система воздух—газ; LAS (Luft-Abgas-System): Дымоходная система, состоящая из концентрических или расположенных параллельно отдельных шахт для приточного воздуха и дымовых газов, в которых входное отверстие приточного воздуха в шахту подачи воздуха расположено близко к месту выхода дымовых газов. При этом вход воздуха и выход дымовых газов должны быть расположены так, чтобы влияние ветровой нагрузки было сбалансировано.
3.17 однослойная конструкция для удаления дымовых газов (einschalige Abgasanlage): Конструкция для удаления дымовых газов с одной оболочкой.
3.18 многослойная конструкция для удаления дымовых газов (mehrschalige Abgasanlage): Конструкция для удаления дымовых газов, состоящая из внутренней трубы и, по крайней мере, одной дополнительной оболочки.
3.19 дымоходная система (System-Abgasanlage): Конструкция для удаления дымовых газов, собранная с использованием совместимых строительных компонентов и используемая в качестве комплекта, поставляемого одним производителем, который несет ответственность за систему в целом.
3.20 сборная конструкция для удаления дымовых газов (Montage-Abgasanlage): Конструкция для удаления дымовых газов, которая была смонтирована или установлена на строительной площадке с использованием совместимых строительных компонентов, которые могут поставляться одним или разными производителями.
3.21 обновление внутренней трубы (Innenrohrerneuerung): Процесс ремонта или замены внутренней трубы в конструкции для удаления дымовых газов.
3.22 внешняя оболочка (AuBenschale): Внешняя оболочка конструкции для удаления дымовых газов, от поверхности которой измеряется расстояние до горючего материала.
3.23 внешний защитный слой [ограждение] (Ummantelung): Дополнительный горючий или негорючий строительный компонент вокруг конструкции для удаления дымовых газов.
Примечания
1. Внешний защитный слой, указанный как часть конструкции для удаления дымовых газов, называется «внешней оболочкой» конструкции для удаления дымовых газов.
2. Внешний защитный слой (ограждение) обеспечивает дополнительную защиту при пожаре, дополнительную теплоизоляцию, защиту от случайного прикосновения людей, а также предотвращает возможные повреждения в результате случайных ударов. Внешний защитный слой может быть также использован в декоративных целях.
3.24 блок-форма (Formblock): Изготовленный на заводе однослойный или многослойный строительный компонент конструкции для удаления дымовых газов с одним или несколькими каналами дымовых газов.
3.25 номинальная рабочая температура (Nennbetriebstemperatur): Температура дымовых газов при нормальных условиях эксплуатации устройства для сжигания топлива при его максимально возможной мощности горения, указанной в нормах на данную продукцию.
3.26 конструкция для удаления дымовых газов, работающая с разряжением (Unterdruckabgasanlage): Конструкция для удаления дымовых газов, предназначенная для режима работы, при котором давление в канале движения дымовых газов равно или ниже давления вне канала.
Примечание — Класс конструкций с разрежением обозначается «N».
3.27 конструкция для удаления дымовых газов, работающая с избыточным давлением (Uberdruckabgasanlage): Конструкция для удаления дымовых газов, предназначенная для режима работы, при котором давление в канале движения дымовых газов больше, чем давление за пределами канала.
Примечание — Классы конструкций с избыточным давлением обозначаются «Р», «М», «Н».
3.28 конденсат (Kondensat): Жидкий продукт, образующийся при температуре дымовых газов ниже точки росы водяного пара.
3.29 сухой режим эксплуатации (trockene Betriebsweise): Режим эксплуатации конструкции для удаления дымовых газов, при котором температура внутренней поверхности внутренней трубы равна или выше температуры точки росы водяного пара.
Примечание — Сухой режим эксплуатации обозначается «D».
3.30 влажный режим эксплуатации (feuchte Betriebsweise): Режим эксплуатации конструкции для удаления дымовых газов, при котором температура внутренней поверхности внутренней трубы ниже температуры точки росы водяного пара.
Примечания
1. Влажный режим эксплуатации обозначается «W».
2. Характеристика «W» не имеет никакого отношения к проникновению дождевой воды.
3.31 возгорание сажи (RuBbrand): Воспламенение во внутренней трубе или соединительном элементе отложившихся и легковоспламеняющихся остатков.
3.32 конструкция для удаления дымовых газов, устойчивая к возгоранию сажи (ruBbrandbestandige Abgasanlage): Устойчивая к возгоранию сажи конструкция для удаления дымовых газов, которая после возгорания сажи пригодна к использованию.
Примечание — Конструкции для удаления дымовых газов, устойчивые к возгоранию сажи, обозначаются буквой «G».
3.33 принадлежность, не влияющая на надежность при возгорании сажи (ruBbrandsicheres Zubehorteil): Принадлежность, которая во время и после возгорания сажи не может больше выполнять свою функцию, но не оказывает влияния на безопасную работу всей конструкции для удаления дымовых газов или соединительного элемента и не меняет их класс «G».
Примечания
1. Принадлежность, не влияющая на надежность при возгорании сажи, обозначается «As».
2. «As» используется только для указанной принадлежности, но не для конструкции для удаления дымовых газов, внутренних труб или соединительных элементов.
3. Принадлежности, не влияющие на надежность при возгорании сажи, — это такие детали, которые могут быть заменены без демонтажа конструкции для удаления дымовых газов (например, затворы, клапаны, поворотные ручки, конусы, зонтики).
4. Меры, которые необходимо предпринять после возгорания сажи, указаны в соответствующих нормах на продукцию.
3.34 расстояние до горючего материала (Abstand zu brennbarem Material): Минимальное расстояние между внешней оболочкой конструкции для удаления дымовых газов и горючим материалом.
Примечание — Расстояние до горючего материала обозначают «хх».
3.35 огнестойкость снаружи наружу (Feuerwiderstand von auBen nach auBen): Характеристика конструкции для удаления дымовых газов препятствовать передаче огня из одного пожарного отсека в другой.
Примечание — Огнестойкость снаружи наружу обозначается «Е1».
3.36 термическое сопротивление конструкции для удаления дымовых газов (Warmedurchlasswiderstand einer Abgasanlage): Термическое сопротивление оболочки или оболочек конструкции для удаления дымовых газов.
Примечание — Термическое сопротивление конструкции для удаления дымовых газов обозначается «(1/л)».
3.37 сопротивление потоку (Stromungswiderstand): Потери давления в канале дымовых газов или в воздушной шахте, вызванные движущимся потоком воздуха или дымовых газов при заданных температуре и скорости.
3.38 местное сопротивление (Einzelwiderstandszahl): Соотношение между сопротивлением потока фасонного элемента и динамическим давлением среды из-за изменения направления и/или поперечного сечения фасонного элемента.
3.39 конструкция для удаления дымовых газов, устойчивая к замораживанию-оттаиванию (Frost-Tauwechselbestandige Abgasanlage): Конструкция для удаления дымовых газов, которая может противостоять смене замораживания и оттаивания.
3.40 проникновение дождевой воды (Eindringen von Regenwasser): Дождевая вода, поступающая в дымовой канал или воздушную шахту.
3.41 устойчивость к температурному шоку (Temperaturschockbestandigkeit): Отсутствие повреждений после испытаний на термические воздействия с учетом скорости увеличения температуры дымовых газов до достижения заданной температуры испытания при нормальных условиях эксплуатации, а в случае классификации «G» с учетом скорости увеличения температуры дымовых газов до достижения заданной температуры при испытании на устойчивость к возгоранию сажи.
4. Характеристики изделия
4.1 Общие положения
Характеристики, приведенные в данном разделе, применимы к дымоходным системам, внутренним трубам, соединительным элементам, строительным компонентам и принадлежностям, а также к строительным компонентам сборных конструкций для удаления дымовых газов.
Взаимосвязь между основными требованиями и характеристиками конструкций для удаления дымовых газов, внутренних труб соединительных элементов, строительных компонентов и принадлежностей приведена в приложении А
Чтобы идентифицировать характеристики конструкции для удаления дымовых газов, предусмотрено соответствующее обозначение изделия.
Обозначение должно содержать информацию о классе температур, классе давления, классе устойчивости к конденсату, классе коррозионной стойкости и классе устойчивости к возгоранию сажи и, если применимо, о расстоянии до горючего материала и типе испытательного стенда.
Пример обозначения конструкции для удаления дымовых газов
ГОСТ Р 59412 - Т 400 N1 D 3 G 50 а
│ │ │ │ │ │ │ │
Номер соответствующего стандарта ────────────┘ │ │ │ │ │ │ │
Класс температур (см. 4.2.1) ──────────────────────────┘ │ │ │ │ │ │
Класс давления (см. 4.2.2) ──────────────────────────────────┘ │ │ │ │ │
Класс устойчивости к конденсату (см. 4.2.3) ───────────────────┘ │ │ │ │
Класс коррозионной стойкости (см. 4.2.4) ────────────────────────┘ │ │ │
Класс устойчивости к возгоранию сажи (см. 4.2.5)───────────────────┘ │ │
Расстояние до горючих материалов (см. 4.2.6) ─────────────────────────┘ │
Тип испытательного стенда, на котором был испытан продукт (см. 4.2.6)───┘
Дополнительно должна быть указана информация о следующих характеристиках:
- пожарной опасности (см. 4.3.1);
- огнестойкости снаружи наружу (см. 4.3.2);
- термическом сопротивлении (см. 4.3.3);
- сопротивлении потоку (см. 4.3.4);
- устойчивости к замораживанию-оттаиванию (см. 4.3.5).
Дополнительно должны быть выполнены следующие требования:
- к механической прочности и устойчивости (см. 4.4.1);
- безопасности использования (см. 4.4.2);
- опасным веществам (см. 4.4.3).
4.2 Классы
4.2.1 Классы температур
Следует указывать класс температур конструкции для удаления дымовых газов или изделия.
Классы температур для нормальных условий эксплуатации приведены в таблице 1.
Таблица 1 — Классы температур
| Классы температур | Номинальная рабочая температура |
|---|---|
| Т080 | <80 |
| Т100 | < 100 |
| Т120 | < 120 |
| Т140 | < 140 |
| Т160 | < 160 |
| Т200 | <200 |
| Т250 | <250 |
| Т300 | <300 |
| Т400 | <400 |
| Т450 | <450 |
| Т600 | <600 |
Все конструкции для удаления дымовых газов, внутренние трубы, соединительные элементы, компоненты и принадлежности должны выдерживать температурные нагрузки. Изделия следует проверить в условиях стабильной эксплуатации по таблице 2 с указанной испытательной температурой в соответствии с характеристиками изделия по [1] или по действующим нормам на соответствующую продукцию, но не более 6 ч.
Требования:
- требования по газопроницаемости для указанного класса давления (см. 4.2.2) должны быть выполнены до и после испытания;
- самая высокая температура примыкающего горючего материала, расположенного на заданном расстоянии, над температурой окружающего воздуха 20 °C не должна превышать 85 °C, если испытания проводят при заданном классе температур.
Другие критерии могут быть указаны в соответствующих нормах на продукцию.
Скорость повышения температуры горячего газа должна быть установлена так, чтобы температура испытания (Ttest в °C) достигалась за время frise = Ttest • 60/50 в секундах.
Таблица 2 — Скорость горячих газов как функция испытательной температуры Т и диаметра испытательной конструкции D
| Класс давления | D, мм | Скорость горячих газов в м/с при испытательной температуре | ||||||||||
|---|---|---|---|---|---|---|---|---|---|---|---|---|
| Класс температур | ||||||||||||
| T080 | T100 | Т120 | Т140 | Т160 | Т200 | Т250 | Т300 | Т400 | Т450 | Т600 | ||
| Испытательная температура, °C | ||||||||||||
| 100 | 120 | 150 | 170 | 190 | 250 | 300 | 350 | 500 | 550 | 700 | ||
| Разрежение N | 100 | 1,7 | 1,8 | 1,9 | 2,0 | 2,1 | 2,4 | 2,6 | 2,8 | 3,6 | 3,8 | 4.6 |
| 120 | 1,7 | 1,8 | 1,9 | 2,0 | 2,1 | 2,4 | 2,6 | 2,9 | 3,6 | 3,8 | 4,6 | |
| 160 | 1,7 | 1,8 | 1,9 | 2,0 | 2,1 | 2,4 | 2,7 | 2,9 | 3,7 | 3,9 | 4,7 | |
| 200 | 1,7 | 1,8 | 2,0 | 2,1 | 2,2 | 2,5 | 2,7 | 3,0 | 3,7 | 4,0 | 4,8 | |
| Низкое избыточное давление Р | 100 | 2,4 | 2,5 | 2,7 | 2,8 | 2,9 | 3,3 | 3,6 | 3,9 | 4,7 | 5,0 | 5,9 |
| 120 | 2,4 | 2,5 | 2,7 | 2,8 | 3,0 | 3,3 | 3,6 | 3,9 | 4,8 | 5,1 | 6,0 | |
| 160 | 2,5 | 2,6 | 2,8 | 3,0 | 3,1 | 3,5 | 3,8 | 4,1 | 5,1 | 5,4 | 6,3 | |
| 200 | 2,7 | 2,8 | 3,0 | 3,2 | 3,3 | 3,7 | 4,0 | 4,4 | 5,4 | 5,7 | 6,7 | |
| Среднее избыточное давление М | 100 | 3,4 | 3,6 | 3,8 | 3,9 | 4,1 | 4,5 | 4,9 | 5,2 | 6,1 | 6,3 | 7,0 |
| 120 | 3,5 | 3,6 | 3,9 | 4,0 | 4,2 | 4,6 | 5,0 | 5,3 | 6,2 | 6,5 | 7,2 | |
| 160 | 3,7 | 3,9 | 4,1 | 4,3 | 4,4 | 4,9 | 5,3 | 5,6 | 6,6 | 6,8 | 7,6 | |
| 200 | 3,9 | 4,1 | 4,4 | 4,6 | 4,7 | 5,2 | 5,6 | 6,0 | 7,0 | 7,3 | 8,1 | |
| Высокое избыточное давление Н | 100 | 5,2 | 5,4 | 5,7 | 5,9 | 6,1 | 6,6 | 7,1 | 7,4 | 8,4 | 8,6 | 9,1 |
| 120 | 5,3 | 5,5 | 5,8 | 6,0 | 6,2 | 6,8 | 7,2 | 7,6 | 8,6 | 8,8 | 9,3 | |
| 160 | 5,6 | 5,9 | 6,2 | 6,4 | 6,6 | 7,2 | 7,7 | 8,1 | 9,1 | 9,4 | 9,9 | |
| 200 | 6,1 | 6,3 | 6,7 | 6,9 | 7,2 | 7,8 | 8,3 | 8,8 | 9,8 | 10,1 | 10,7 | |
4.2.2 Классы давления
Следует указывать класс давления конструкции для удаления дымовых газов или изделия. Классы давления приведены в таблице 3 (газопроницаемость соответствует скорости утечки, указанной в таблице для соответствующего класса давления).
Для всех конструкций для удаления дымовых газов, внутренних труб, соединительных элементов, компонентов и принадлежностей необходимо проверять газопроницаемость по соответствующим разделам [1] или по действующим стандартам на соответствующую продукцию при испытательном давлении, указанном в таблице 3, в соответствии с режимом работы.
Таблица 3 — Классы давления
| Класс давления | Давлениеa),Па | Режим работы | Испытательное давление | Утечка 1 • с-1 • м-2 |
|---|---|---|---|---|
| N1 | <0 | Конструкции для удаления дымовых газов с режимом разрежения | 40 | <2,0 |
| N2 | <0 | Конструкции для удаления дымовых газов с режимом разрежения | 20 | <3,0 |
| Р1 | <200 | Конструкции для удаления дымовых газов с малым избыточным давлением | 200 | < 0,006 |
| Р2 | <200 | Конструкции для удаления дымовых газов с малым избыточным давлением | 200 | <0,120 |
| М1 | < 1500 | Конструкции для удаления дымовых газов со средним избыточным давлением | 1500 | < 0,006 |
| М2 | < 1500 | Конструкции для удаления дымовых газов со средним избыточным давлением | 1500 | <0,120 |
| Н1 | <5000 | Конструкции для удаления дымовых газов с высоким избыточным давлением | 5000 | < 0,006 |
| Н2 | <5000 | Конструкции для удаления дымовых газов с высоким избыточным давлением | 5000 | <0,120 |
| а) Давление в стационарном состоянии при нормальных условиях эксплуатации. | ||||
Утечки в литрах в секунду на квадратный метр внутренней поверхности трубы конструкций для удаления дымовых газов или соединительных элементов до и после любого испытания не должны превышать значений, указанных в таблице 3. Внутренняя поверхность трубы рассчитывается с помощью номинального диаметра внутренней трубы. Если шов (стык) является частью строительных элементов конструкции для удаления дымовых газов, испытания проводятся с учетом шва (стыка).
4.2.3 Классы устойчивости к конденсату
Класс устойчивости к конденсату конструкции для удаления дымовых газов или изделия должен быть задан.
Классы устойчивости к конденсату:
- «D» — для конструкций для удаления дымовых газов, внутренних труб, соединительных элементов, строительных компонентов и принадлежностей для сухого режима эксплуатации;
- «W» — для конструкций для удаления дымовых газов, внутренних труб, соединительных элементов, строительных компонентов и принадлежностей для влажного режима эксплуатации.
Устойчивость к конденсату должна соответствовать требованиям соответствующих норм на продукцию. Показатель необходимо проверить по соответствующим разделам [1] (жидкая фаза и/или фаза пара) или по действующим стандартам на соответствующую продукцию, если необходимо принять во внимание паровую и жидкую фазы.
4.2.4 Классы устойчивости к коррозии
Необходимо указывать класс устойчивости к коррозии конструкции для удаления дымовых газов, внутренних труб, соединительных элементов. В таблице 4 приведены классы устойчивости к коррозии.
Таблица 4 — Классы устойчивости к коррозии
| Класс устойчивости к коррозии | Газообразное топливо | Жидкое топливо | Твердое топливо |
|---|---|---|---|
| 1 | - газ: содержание серы < 50 мг/м3 -СПГ - ЛПГ | ||
| 2 | - газ: содержание серы < 2 000 мг/м3 -СПГ -ЛПГ | - мазут: содержание серы < 2 000 мг/кг - керосин | - химически необработанная древесина и химически необработанная древесная биомасса a) |
| 3 | - газ -СПГ -ЛПГ | - мазут - керосин | - древесина - уголь - торф |
| Примечание — Таблица 4 не учитывает технологические газы или жидкости.
а) Химически необработанная древесина и химически необработанная древесная биомасса в соответствии с таблицей 5. | |||
Древесина и древесная биомасса считаются химически необработанными, если они соответствуют стандарту ГОСТ 33103.1—2017, таблица 1, с ограничением согласно таблице 5 и, если применимо, одному из следующих стандартов:
- ГОСТ 33103.2—2017, таблица 1, класс А1;
- ГОСТ 33103.3—2017, таблица 1, класс А1;
- ГОСТ 33103.4—2017, таблица 2, класс А1 или А2;
- ГОСТ 33103.5—2017, таблица 1, класс А1.
Таблица 5 — Выдержка из ГОСТ 33103.1—2017, таблица 1
| Основная группа | Группа второго уровня | Подгруппа третьего уровня | Подгруппа четвертого уровня |
|---|---|---|---|
| 1. Древесная биомасса | 1.1 Лесные деревья, искусственные насаждения и другая природная древесина | 1.1.3 Древесные стволы | 1.1.3.1 Лиственные с корой |
| 1.1.3.2 Хвойные с корой | |||
| 1.1.3.3 Лиственные без коры | |||
| 1.1.3.4 Хвойные без коры | |||
| 1.1.3.5 Искусственные и непроизвольные смеси | |||
| 1.2 Побочные продукты и отходы деревообрабатывающей промышленности | 1.2.1 Химически не обработанные древесные побочные продукты и отходы | 1.2.1.1 Лиственные с корой | |
| 1.2.1.2 Хвойные с корой | |||
| 1.2.1.3 Лиственные без коры | |||
| 1.2.1.4 Хвойные без коры | |||
| 1.2.1.5 Кора (от промышленной переработки) |
Устойчивость к химическому воздействию (например, устойчивость к коррозии) конструкций для удаления дымовых газов, внутренних труб, соединительных элементов, строительных компонентов и принадлежностей должна удовлетворять требованиям действующих стандартов на соответствующую продукцию и проходить по ним проверку.
4.2.5 Классы устойчивости к возгоранию сажи
Необходимо указывать класс устойчивости к возгоранию сажи конструкций для удаления дымовых газов или изделия. Классы устойчивости к возгоранию сажи:
- «О» для конструкций для удаления дымовых газов, внутренних труб, соединительных элементов, компонентов и принадлежностей без устойчивости к возгоранию сажи;
- «G» для конструкций для удаления дымовых газов, внутренних труб, соединительных элементов, компонентов и принадлежностей, устойчивых к возгоранию сажи;
- «As» для принадлежностей, устойчивых к возгоранию сажи.
Примечания
1. Конструкции для удаления газов, внутренние трубы, соединительные элементы, строительные компоненты и принадлежности, обозначенные «О», подходят только для устройств сжигания жидкого и газообразного топлива.
2. Системы для удаления дымовых газов, внутренние трубы, соединительные элементы, строительные компоненты и принадлежности, помеченные знаком «G», подходят для всех видов топлива.
3. Принадлежности, обозначенные знаком «As», предназначены для всех видов топлива.
Устойчивость к возгоранию сажи конструкций для удаления дымовых газов, внутренних труб, соединительных элементов, строительных компонентов и принадлежностей, устойчивых к возгоранию сажи «G», или принадлежностей, устойчивых к возгоранию сажи «As», должна быть проверена с помощью испытаний согласно соответствующим разделам [1], или согласно действующим стандартам на соответствующую продукцию из необходимого материала при температуре испытания 1000 °C в течение 30 мин и скорости продуктов сгорания в соответствии с таблицей 6. Температура продуктов сгорания должна постепенно повышаться до 1000 °C в течение 10 мин.
Другие требования:
- требования по газопроницаемости для указанного класса давления (см. 4.2.2) должны быть выполнены до и после испытания;
- максимальная температура примыкающего горючего материала при температуре окружающей среды 20 °C не должна превышать 100 °C на указанном расстоянии.
В соответствующих стандартах на продукцию могут быть также указаны другие критерии.
Продукты, которые не классифицируются как «G» и/или «As», классифицируются как «О».
Таблица 6 — Скорость продуктов сгорания как функция температуры испытания Т и диаметра испытательной конструкции D для удаления дымовых газов
| D, мм | Скорость продуктов сгорания в м/с при температуре испытания 1000 °C |
|---|---|
| Класс устойчивости к возгоранию сажи G, As | |
| 100 | 5,1 |
| 120 | 5,6 |
| 160 | 5,6 |
| 200 | 5,4 |
4.2.6 Расстояния до горючих материалов
Минимальное расстояние от внешней оболочки конструкции для удаления газов до стен и потолков из горючих материалов указывается и обозначается как «хх», где «хх» — числовое значение в округленных миллиметрах, за которым следует буква от «а» до «I». Буквы соответствуют испытанным конструкциям стен и перекрытий ряда различных типов зданий и их термическому сопротивлению в зависимости от структуры. Схема испытания должна быть выбрана по таблице 7 в зависимости от типа здания. Конструкции для удаления газов должны испытываться в соответствии с процедурами испытаний, изложенных в соответствующих разделах [1]; при этом необходимо учитывать тип испытательного стенда (см. таблицу 7).
Другие продукты, которые в соответствии с этим стандартом рассматриваются в качестве конструкций для удаления дымовых газов и для которых измеряется расстояние до горючего материала, необходимо испытывать по действующим стандартам на соответствующую продукцию с учетом типа испытательного стенда в таблице 7 и соответствующих разделов [1].
Таблица 7 — Типы испытательных стендов
| Тип испытательного стенда со стенами и перекрытиями | Конструкция испытательного стенда | Проход через перекрытие | Внешний защитный слой | |||
|---|---|---|---|---|---|---|
| Номинальная толщина стены, мм | Номинальная толщина первого перекрытия, мм | Номинальная толщина второго перекрытия, мм | Первое перекрытие | Второе перекрытие | ||
| а | 100 | 200 | 100 | полностью открыт | полностью открыт | нет |
| b | 100 | 200 | 100 | частично закрыт | частично закрыт | есть |
| с | 100 | 200 | 400 | частично закрыт | полностью закрыт | есть |
| d | 100 | 400 | 100 | полностью закрыт | полностью открыт | нет |
| е | 300 | 500 | 200 | полностью закрыт | полностью закрыт | нет |
| f | 100 | 200 | 100 | полностью закрыт | полностью закрыт | нет |
| g | 500 | 1000 | 200 | полностью закрыт | полностью закрыт | нет |
| h | 400 | 200 | 400 | полностью закрыт | полностью закрыт | есть |
| i | 300 | 200 | 1000 | полностью закрыт | полностью закрыт | есть |
| j | 500 | 200 | 1000 | полностью закрыт | полностью закрыт | есть |
| k | 600 | 200 | 600 | полностью закрыт | полностью закрыт | есть |
| I | 300 | 200 | 500 | полностью закрыт | полностью закрыт | есть |
«Полностью открыт» означает свободное движение воздуха, полностью проветриваемое, ничем не занятое пространство между конструкцией для удаления дымовых газов и перекрытием.
«Частично закрыт» означает частично закрытый проход через перекрытие, без тепловой изоляции, как предписано.
«Полностью закрыт» означает полностью закрытый проход через перекрытие, с тепловой изоляцией, как указано.
а) Закрытый зазор и/или зазор в виде экрана между конструкцией для удаления дымовых газов и испытательным стендом, как указано.
Примечание — В зависимости от типа испытательного стенда, используемого при проведении испытания, продукции может быть присвоено несколько обозначений. В приведенной далее таблице 8 представлена информация о взаимосвязи между типом(ами) испытательного стенда, используемым(ми) для проведения испытания, и соответствующим обозначением(ями).
Таблица 8 — Взаимосвязь между типом(ами) испытательного стенда, используемым(ми) для проведения испытания, и обозначением(ями)
| Тип испытательного стенда, используемый для испытаний | Обозначение(я) в зависимости от типа испытательного стенда, используемого для проведения испытания | |||||||||||
|---|---|---|---|---|---|---|---|---|---|---|---|---|
| а | b | с | d | е | f | g | h | i | j | k | l | |
| a | X | |||||||||||
| b | X | X | ||||||||||
| c | X | X | X | |||||||||
| d | X | X | ||||||||||
| e | X | X | X | X | ||||||||
| f | X | X | ||||||||||
| g | X | X | X | X | X | |||||||
| h | X | X | X | |||||||||
| i | X | X | ||||||||||
| j | X | Xa) | Xa) | X | Xa) | |||||||
| k | X | X | Xa) | X | ||||||||
| l | X | X | X | |||||||||
| a) Только при одинаковой конфигурации внешнего защитного слоя и прохода через перекрытие | ||||||||||||
Примечание — Информационное приложение В содержит толщину и эквивалентные значения R и U для типов испытательных стендов, состоящих из стен и потолков. Таблицу В.1 можно использовать для определения соответствия испытательных стендов характеристикам здания и наоборот.
4.3. Дополнительная информация
4.3.1 Пожарная опасность
Необходимо указывать пожарную опасность конструкций удаления дымовых газов, внутренних труб, соединительных элементов, строительных компонентов и принадлежностей. Классификация может быть проведена путем испытаний согласно действующим стандартам на соответствующую продукцию и/или в соответствии с [2].
Примечание — Для материалов, которые стандартно классифицированы как А1, дальнейших испытаний не требуется.
4.3.2 Огнестойкость снаружи наружу
Огнестойкость снаружи наружу должна быть классифицирована в соответствии с [3] и измерена в соответствии с [4].
4.3.3 Термическое сопротивление
Термическое сопротивление необходимо указывать при соответствующей температуре, используемой для испытания или расчета.
Термическое сопротивление конструкций для удаления дымовых газов [(1 /л), м2 • K/Вт] определяют следующими способами:
- путем проверки по соответствующим разделам [1] или по действующим стандартам на соответствующую продукцию; или
- расчетом по ГОСТ Р 59978.1, или по действующим стандартам на соответствующую продукцию при температуре, указанной в таблице 9.
Таблица 9 — Температура для расчета термического сопротивления
| Температура для расчета термического сопротивления | |||
|---|---|---|---|
| Класс температуры конструкции для удаления дымовых газов | Т80 до Т120 | Т140 до Т250 | Т300 до Т600 |
| Температура для расчета термического сопротивления | 40°C | 100°C | 200°C |
4.3.4 Сопротивление потоку
Для расчета потери давления в дымовом канале необходимо учитывать среднее значение шероховатости внутренней трубы (г) и величину местного сопротивления (Q, возникающего в дымовом канале в результате изменения размеров и/или поперечного сечения и/или массового потока дымовых газов. Значения могут быть получены при испытании сопротивления потоку по [1], измерены при проведении испытаний по действующим стандартам на продукцию из соответствующего материала или определены по ГОСТ Р 59978.1. Это относится также к строительным компонентам, подающим воздух для горения.
Сопротивление потока для оголовков должно измеряться в соответствии с испытанием сопротивления потока согласно соответствующим разделам [1] или в соответствии с действующими стандартами на продукцию из соответствующего материала.
4.3.5 Устойчивость к замораживанию-оттаиванию
Если применимо, устойчивость к замораживанию-оттаиванию следует проверять с помощью испытания согласно соответствующим разделам [1] или подходящих испытаний на продукцию из соответствующего материала.
4.4 Другие требования
4.4.1 Механическая прочность и устойчивость
Все конструкции для удаления дымовых газов должны выдерживать горизонтальные, вертикальные и другие нагрузки. Следовательно, изделия должны быть испытаны в соответствии с [1] или по действующим стандартам на продукцию из соответствующего материала. Необходимо учесть следующие характеристики:
- прочность на сжатие;
- прочность при растяжении;
- устойчивость к боковым нагрузкам при давлении ветрового напора 1,5 кН/м2;
- устойчивость к истиранию;
- относительное движение внутренней трубы многослойной конструкции для удаления дымовых газов.
4.4.2 Безопасность использования
4.4.2.1 Непреднамеренное прикосновение
Там, где возможен непреднамеренный контакт с кожей человека, необходимо проверить максимально возможную температуру наружной поверхности конструкций для удаления дымовых газов по соответствующим разделам [1]. Если температура поверхности в конструкциях для удаления дымовых газов превышает значения, указанные в таблице 10, и возможно случайное прикосновение, следует указать, что конструкция для удаления дымовых газов должна быть защищена от прикосновения.
Таблица 10 — Максимально допустимая температура внешней поверхности при возможности случайного соприкосновения с кожей человека
| Материал внешней поверхности | Максимально допустимая температура, °C |
|---|---|
| Металл полированный | 70 |
| Металл, покрытый лаком 50 мкм | 80 |
| Металл — сталь с покрытием стеклопластиком 160 мкм | 78 |
| Металл с покрытием пластиком 400 мкм | 98 |
| Пластик | 93 |
| Глина/керамика, стекло | 85 |
| Бетон, камень | 80 |
| Примечание — Значения относятся к порогу ожога за 1 с. | |
4.4.2.2 Устойчивость секций конструкций для удаления дымовых газов к дождевой воде
Конструкции для удаления дымовых газов необходимо испытать на устойчивость к дождевой влаге согласно соответствующим разделам [1] или в соответствии с действующими стандартами на продукцию из соответствующего материала.
4.4.2.3 Сопротивление дождевой влаге и проникновению дождевой воды через оголовки
Оголовки необходимо проверить при испытаниях на устойчивость к дождевой влаге и проникновению дождевой воды, они должны отвечать требованиям соответствующих разделов [1] или действующим стандартам на продукцию из соответствующего материала.
4.4.2.4 Аэродинамическая реакция оголовков на ветровой поток
Аэродинамическую реакцию оголовков типов I, II и III на ветровой поток необходимо измерить по методу испытаний, изложенному в соответствующих разделах [1], или по действующим стандартам на продукцию из соответствующего материала.
4.4.2.5 Опасность обледенения оголовков
Обледенение оголовков необходимо измерить в соответствии с процедурой испытания согласно соответствующим разделам [1] или по действующим стандартам на продукцию из соответствующего материала.
4.4.3 Опасные вещества
При выведении на рынок Российской Федерации строительных продуктов, предусмотренных настоящим стандартом, национальные нормы об опасных веществах могут требовать предоставления подтверждения о высвобождении опасных веществ и частично об их содержании.
4.5 Функциональные характеристики принадлежностей
Функциональные характеристики принадлежностей, а также соответствующие требования и процедуры испытания должны быть описаны в соответствующих нормах на продукцию для принадлежностей.
Для принадлежностей, интегрированных в дымоходные системы, во внутренние трубы или соединительные элементы, необходимо учитывать, если это необходимо, функциональные характеристики принадлежностей в соответствующих нормах на продукцию.
5. Испытание, оценка и отбор проб
Для всех конструкций удаления дымовых газов, внутренних труб, соединительных элементов, строительных компонентов и принадлежностей испытание на характеристики изделия, описанное в разделе 4, должно проводиться согласно соответствующим разделам [1] или по действующим стандартам на продукцию из соответствующего материала.
Для всех конструкций для удаления дымовых газов, внутренних труб, соединительных элементов, строительных компонентов и принадлежностей процедуры испытаний и отбора проб должны быть указаны в соответствующих стандартах на продукцию.
6. Оценка и проверка стабильности производства (AVCP)
Оценка и проверка стабильности производства (AVCP) должны быть указаны в действующих стандартах на соответствующую продукцию. Они должны включать информацию о первичных испытаниях производителем, а также дальнейшие типовые испытания и производственный контроль.
7. Обозначение изделия
Обозначение изделия должно соответствовать 4.1 и, если применимо, всем другим дополнительным значениям характеристик, которые определены стандартами или другими нормативными документами на продукцию.
8. Информация от производителя, этикетки и инструкции
8.1 Общие сведения
Производитель должен предоставить информацию по характеристикам конструкций удаления дымовых газов, внутренних труб, соединительных элементов, строительных компонентов и принадлежностей. Примеры необходимой информации о характеристиках конструкций для удаления дымовых газов приведены в приложении С.
8.2 Строительный компонент конструкции для удаления дымовых газов
Соответствующее количество строительных компонентов должно иметь устойчивую маркировку или этикетку с номером стандарта на продукцию и содержать следующую информацию:
а) название или товарный знак производителя;
b) обозначение по соответствующему стандарту на продукцию;
с) партию или информацию производителя об изделии / идентификатор продукта / код.
8.3 Типовая этикетка конструкции для удаления дымовых газов
Производитель должен предоставить выгравированную или устойчиво маркированную этикетку с типом конструкции для удаления дымовых газов, изготовленную из прочного материала. Она должна содержать, как минимум, следующую информацию:
а) название или товарный знак (который может содержать идентификацию продукта и/или обозначение продукта);
b) место для обозначения окончательно установленной конструкции для удаления дымовых газов в соответствии с заявленным стандартом;
с) место для номинального размера;
d) место для указания расстояния до горючего материала, в миллиметрах;
е) место для данных об установщике и для даты установки.
8.4 Сопроводительная информация
Производитель должен предоставить сопроводительную информацию, согласно соответствующим стандартам на продукцию, в следующем виде:
а) обозначение, идентификатор продукта / код дымоходной системы или строительных компонентов монтажной конструкции для удаления дымовых газов или внутренней трубы при замене в существующей конструкции для удаления дымовых газов;
b) расчетная нагрузка или максимально допустимая высота конструкции для удаления дымовых газов, которая определяется с учетом высоты фланцев, оголовка, опорных и поддерживающих устройств;
с) вес строительных компонентов;
d) инструкции по установке (эта информация определяет, как установить данный продукт в зависимости от проверенных характеристик);
е) дополнительная информация о размерах конструкции для удаления дымовых газов приведена в ГОСТ Р 59978.1.
В информацию об изделии должно быть включено следующее предупреждение:
ПРЕДУПРЕЖДЕНИЕ — при проектировании, строительстве и возможных модификациях здания или конструкции для удаления дымовых газов после завершения строительства необходимо убедиться, что обозначение конструкции для удаления дымовых газов соответствует предусмотренному использованию.
Приложение А
(справочное)
Взаимосвязь между основными требованиями и характеристиками конструкций для удаления дымовых газов, внутренних труб, соединительных элементов, строительных компонентов и принадлежностей
В таблице А.1 показана взаимосвязь между основными требованиями и характеристиками конструкций для удаления дымовых газов, внутренних труб, соединительных элементов, строительных компонентов и принадлежностей в соответствии с действующими стандартами на продукцию.
Таблица А.1 — Взаимосвязь между основными требованиями и характеристиками
| Продукт: | конструкции для удаления дымовых газов, внутренние трубы, соединительные элементы, фасонные элементы и принадлежности | ||
|---|---|---|---|
| Цель использования: | удаление продуктов сгорания от оборудования для сжигания топлива во внешнюю атмосферу | ||
| Основные характеристики | Разделы настоящего стандарта, относящиеся к основным характеристикам | Классы и/или предельные значения | Примечания |
| Устойчивость к ветровой нагрузке | 4.4.1 Механическая прочность и устойчивость | — | Для конструкции для удаления дымовых газов — указанное значение (любые нормы на продукцию должны учитывать специфические свойства продукта) |
| Прочность на сжатие (для комплектов отдельно стоящих и пристроенных конструкций для удаления дымовых газов) | 4.4.1 Механическая прочность и устойчивость | — | Указанное значение, если применимо |
| Пожарная опасность | 4.3.1 Пожарная опасность | от А1 до F | Указанный класс |
| Огнестойкость | 4.2.1 Класс температур | G, О или As | Указанный класс |
| 4.2.5 Класс устойчивости к возгоранию сажи | |||
| 4.2.6 Расстояние до горючего материала | Указанное расстояние до примыкающего горючего материала (хх) в мм и тип испытательного стенда | ||
| 4.3.2 Огнестойкость снаружи наружу | El | Распечатка результатов EI и указанное время | |
| Газопроницаемость | 4.2.2 Классы давления | — | Указанный класс давления |
| Сопротивление потоку | 4.3.4 Сопротивление потоку | — | Указанное среднее значение шероховатости материала внутренней трубы и как единое значение местного сопротивления в соответствии с ГОСТ Р 59978.1 |
| Размеры / термическое сопротивление | 4.3.3 Термическое сопротивление | — | Указанное значение |
| Устойчивость к температурному шоку | 4.2.1 Класс температур и 4.2.5 Класс устойчивости к возгоранию сажи | — | Описанная скорость роста температуры испытания |
| Выделение опасных веществ | 4.4.3 Опасные вещества | — | |
| Устойчивость к замораживанию-оттаиванию | 4.3.5 Устойчивость к замораживанию-оттаиванию | — | Декларация |
| Прочность на растяжение (только для связующих веществ пристраиваемых конструкций для удаления дымовых газов) | 4.4.1 Механическая прочность и устойчивость | — | Указанное значение |
| Прочность на изгиб | Указанное значение | ||
| Прочность на сжатие | Указанное значение | ||
| Устойчивость к химическим веществам / коррозии | 4.2.3 Классы устойчивости к конденсату | — | Указанный класс |
| 4.2.4 Классы устойчивости к коррозии | Указанный класс | ||
| 4.4.2.2 Устойчивость к дождевой воде | Декларация | ||
| 4.4.2.3 Устойчивость к дождевой воде и попаданию дождевой воды в оголовок | Декларация | ||
| Продукция: оголовки | |||
| Сопротивление потоку | 4.3.4 Сопротивление потоку | — | Указано как местное сопротивление в соответствии с ГОСТ Р 59978.1 |
Приложение В
(справочное)
Взаимосвязь между типом испытательного стенда со стенами и перекрытиями и их толщиной, значения R и U
В таблице В.1 приведены толщины и эквивалентные значения R или U для типов испытательных стендов, состоящих из стен и перекрытий (см. таблицу 7).
Таблица В.1 — Толщины и эквивалентные значения U и R для типов испытательных стендов
| Тип испытательного стенда | Толщина, мм | U, Вт/(м2К) | R, м2К/Вт | Проход через перекрытие | Внешняя защитная оболочка (как указано) | |||||||
|---|---|---|---|---|---|---|---|---|---|---|---|---|
| Стена | Первое перекрытие | Второе перекрытие | Стена | Первое перекрытие | Второе перекрытие | Стена | Первое перекрытие | Второе перекрытие | Первое перекрытие | Второе перекрытие | ||
| а | ≤113 | <232 | < 132 | ≥0,35 | >0,16 | >0,30 | <2,7 | <5,9 | <3,1 | целиком открытa) | целиком открытa) | без оболочки |
| b | ≤ 113 | ≤232 | ≤ 132 | ≥0,35 | ≥0,16 | ≥0,30 | ≤2,7 | ≤5,9 | ≤3,1 | частично закрытb) | частично закрытb) | с оболочкой |
| с | ≤ 113 | ≤232 | ≤432 | ≥0,35 | ≥0,16 | ≥0,10 | ≤2,7 | ≤5,9 | ≤ 10,1 | частично закрытb) | целиком закрытc) | с оболочкой |
| d | ≤ 113 | ≤432 | ≤ 132 | ≥0,35 | ≥0,09 | ≥0,30 | ≤2,7 | ≤ 10,6 | ≤3,1 | целиком закрытc) | целиком открытa) | без оболочки |
| е | ≤339 | ≤532 | ≤232 | ≥0,12 | ≥0,08 | ≥0,18 | ≤8,1 | ≤ 13,0 | ≤5,4 | целиком закрытc) | целиком закрытc) | без оболочки |
| f | ≤ 113 | ≤232 | ≤ 132 | ≥0,35 | ≥0,16 | ≥0,30 | ≤2,7 | ≤5,9 | ≤3,1 | целиком закрытc) | закрытc) | без оболочки |
| g | ≤565 | ≤1032 | ≤232 | ≥0,07 | ≥0,04 | ≥0,18 | ≤ 13,6 | ≤24,7 | ≤5,4 | целиком закрытc) | закрытc) | без оболочки |
| h | ≤452 | ≤232 | ≤432 | ≥0,09 | ≥0,16 | ≥0,10 | ≤ 10,9 | ≤5,9 | ≤ 10,1 | целиком закрытc) | целиком закрытc) | с оболочкойd) |
| j | ≤565 | ≤232 | ≤ 1032 | ≥0,07 | ≥0,16 | ≥0,04 | ≤ 13,6 | ≤5,9 | ≤24,2 | целиком закрытc) | целиком закрытc) | с оболочкойd) |
| k | ≤678 | ≤232 | ≤632 | ≥0,06 | ≥0,16 | ≥0,07 | ≤ 16,3 | ≤5,9 | ≤ 14,8 | целиком закрытc) | целиком закрытc) | с оболочкойd) |
| l | ≤339 | ≤232 | ≤532 | ≥0,12 | ≥0,16 | ≥0,08 | ≤8,1 | ≤5,9 | ≤ 12,5 | целиком закрытc) | целиком закрытc) | с оболочкойd) |
a) «Целиком открыт» означает свободную циркуляцию воздуха, между конструкцией для удаления дымовых газов и перекрытием ничего нет. b) «Частично закрыт» означает частично закрытый зазор, без теплоизоляции, например вентилируемые противопожарные заграждения. с) «Целиком закрыт» означает изолированный зазор между конструкцией для удаления дымовых газов и стеной из горючего материала, как указано. d) Закрытый зазор и/или защита в зазоре между конструкцией для удаления дымовых газов и испытательным стендом, как указано. | ||||||||||||
Конструкции для удаления дымовых газов, испытанные:
- с частично закрытым проходом в перекрытии, также могут использоваться с открытым проходом,
- полностью закрытым проходом в перекрытии, также могут использоваться с открытым проходом,
- внешней защитной оболочкой с закрытым зазором между конструкцией для удаления дымовых газов и стеной, также может использоваться без защитной оболочки.
Значения R или U вычисляют с помощью формул (В.1)—(В.4):
, (B.1)
, (B.2)
при
, (B.3)
Rsi = 0,13 м2К/Вт,
Rse = 0,04 м2К/Вт для стены и Rse = 0,13 м2К/Вт для перекрытия
, (B.4)
где U — общий коэффициент теплопередачи, Вт/(м2 • К);
R — общее термическое сопротивление, м2К/Вт;
Rj — термическое сопротивление слоя i, м2К/Вт;
Rsj — внутреннее сопротивление теплопередаче, м2К/Вт;
Rse — внешнее сопротивление теплопередаче, м2К/Вт;
dj — толщина стенки слоя i, м;
λi — теплопроводность слоя i, Вт/(м К);
n — количество слоев.
Приложение С
(справочное)
Рекомендации, касающиеся правил проведения подтверждения соответствия продукции в форме добровольной сертификации
С. 1 Область применения
Настоящий раздел представляет рекомендации, касающиеся правил проведения добровольной сертификации продукции в системах добровольной сертификации, созданных в соответствии с [5] и зарегистрированных Федеральным органом исполнительной власти по техническому регулированию.
Объект добровольной сертификации — конструкции для удаления дымовых газов, внутренние трубы, соединительные элементы, строительные компоненты и принадлежности, спроектированные и изготовленные по требованиям действующих стандартов на соответствующую продукцию.
Оформление и регистрация добровольного сертификата соответствия аккредитованным органом могут предусматривать возможность применения знака соответствия, т. е. на упаковку проверенного товара или сопроводительную документацию может быть нанесен специальный символ и таким образом потребитель сможет отличить данную продукцию от аналогов конкурентов.
Требование к определенным характеристикам не действует, если отсутствуют законодательные требования к данным свойствам продукта, предполагаемого к использованию. В этом случае производители, которые хотят реализовывать свою продукцию на рынке Российской Федерации, не обязаны подтверждать или указывать характеристики своих изделий в отношении таких свойств и допускается использовать опцию «Характеристика не определена» (NPD) в информации для обозначения знаком соответствия. Однако опция NPD не может быть использована, если характеристика имеет предельные значения.
С. 2 Подтверждение соответствия на территории Российской Федерации
Подтверждение соответствия для изделий в форме добровольной сертификации требуется при сертификации по схемам с2, сЗ и с4.
Если орган по сертификации выдал добровольный сертификат соответствия производителю или его уполномоченному представителю в Российской Федерации, то это дает право производителю наносить на свои изделия обозначение знака соответствия. Требования к содержанию сертификата соответствия изложены в действующих национальных стандартах на соответствующую продукцию. Сертификат соответствия должен быть на русском языке.
С.З Обозначение знаком соответствия требованиям системы добровольной сертификации и этикетка
Производитель или его уполномоченный представитель отвечают за нанесение знака соответствия добровольной сертификации требованиям настоящего стандарта на фабричную этикетку конструкции для удаления дымовых газов с регистрационным номером аттестата аккредитации органа по сертификации, наименованием или фирменным знаком производителя, номером стандарта и обозначением изделия. Этикетка наносится либо на само изделие, либо на упаковку.
Примеры необходимой информации, предоставляемой производителем, приведены в С. 4.1—С. 4.5
С.4 Примеры необходимой информации, предоставляемой производителем по эксплуатационным характеристикам
С.4.1 Пример необходимой информации, предоставляемой производителем по эксплуатационным характеристикам многослойной металлической дымоходной системы:
Информация производителя по эксплуатационным характеристикам
No. 001DOP2018-01-01
1) Идентификатор/код изделия:
Многослойная металлическая дымоходная система
ГОСТ Р 59375.1
2) Назначение устройства:
Отвод продуктов сгорания от источников тепла во внешнюю атмосферу
(может быть предоставлена дополнительная информация).
3) Производитель:
АпуСо SA,
почтовый ящик 21
1050 Брюссель, Бельгия
телефон +32987654321
факс: +32123456789
электронная почта: anyco.sa@provider.be
4) Уполномоченный представитель:
Любое ООО
Цветочная улица, 24
Вест Хэмфордшир
589645 Великобритания
телефон +44987654321
факс: +44123456789
электронная почта: anyone.ltd@provider.uk
5) Система(ы) оценки и проверки постоянства результатов деятельности:
Система 2+ и Система 4 (если оголовки включены в комплект поставки)
6) Стандарт: ГОСТ Р 59375.1
Орган по сертификации:___________________________________________________
7) Заявленные показатели:
MFC XYZ11
Обозначение 1 DN (80—300): T400—N1—D—2—L50040—G50 b
Обозначение 2 DN (350—450): T400—N1—D—2—L50040—G75 b
Обозначение 3 DN (80—300): T200—P1—W—2—L50040—020 b
Обозначение 4 -...
1 - Идентификация по данным производителя.
Таблица С.1
| Основные характеристики | Показатели |
|---|---|
| Прочность на сжатие секции конструкции для удаления дымовых газов, фасонные элементы, а также поддерживающие и удерживающие устройства | Обозначение 1 DN (80—300): до 30 м Обозначение 2 DN (350—450): до 20 м Обозначение 3 DN (80—300): до 30 м Дополнительную информацию смотрите в инструкции по установке |
| Пожарная опасность | А1 |
| Огнестойкость | Обозначение 1 DN (80—300): T400—G50 b Обозначение 2 DN (350—450): T400—G75 b Обозначение 3 DN (80—300): Т200—020 b Испытано с полным покрытием и проветриваемым зазором в перекрытии от 200 мм и 100 мм |
| Газопроницаемость/утечка | Обозначение 1: N1 Обозначение 2: N1 Обозначение 3: Р1 |
| Сопротивление потоку секций конструкций для удаления дымовых газов, фасонных элементов и оголовков | по ГОСТ Р 59978.1—2022 |
| Термическое сопротивление | Обозначение 1:0,5 м2K/Вт, испытание при 200 °C Обозначение 2:0,5 м2 K/Вт, проверено при 200 °C Обозначение 3: 0,5 м2 K/Вт, проверено при 200 °C |
| Устойчивость к температурному шоку (тепловые характеристики), устойчивость к возгоранию сажи, термические показатели при нормальных условиях эксплуатации | Обозначение 1 DN (80—300): Да Обозначение 2 DN (350—450): Да Обозначение 3 DN (80—300): Нет4) 4) - потому что обозначено буквой О Обозначение 1 DN (80—300): Т400 Обозначение 2 DN (350—450): Т400 Обозначение 3 DN (80—300): Т200 |
| Предел прочности на изгиб (только для связующих веществ секций конструкций для удаления дымовых газов и фасонных элементов) | Обозначение 1 DN (80—300): до 10 м Обозначение 2 DN (350—450): до 5 м Обозначение 3 DN (80—300): до 10 м |
| Невертикальный монтаж | Обозначение 1 DN (80—300): максимально возможное смещение между опорными и удерживающими устройствами 3 м при 45° Обозначение 2 DN (350—450): максимально возможное смещение между опорными и удерживающими устройствами 3 м при 45° Обозначение 3 DN (80—300): максимально возможное смещение между опорными и удерживающими устройствами 3 м на 45° |
| Компоненты, подверженные ветровой нагрузке | Обозначение 1 DN (80—300): Свободностоящая высота над последним опорным и поддерживающим устройством: 3 м. Максимально возможное расстояние между боковыми опорными и поддерживающими устройствами: 4 м. Обозначение 2 DN (350—450): Свободностоящая высота над последним опорным и поддерживающим устройством: 3 м. Максимально возможное расстояние между боковыми опорными и поддерживающими устройствами: 4 м. Обозначение 3 DN (80—300): Свободностоящая высота над последним опорным и поддерживающим устройством: 3 м. Максимально возможное расстояние между боковыми опорными и поддерживающими устройствами: 4 м. |
| Долговечность Сопротивление диффузии воды и пара Стойкость к проникновению конденсата Стойкость к коррозии Устойчивость к циклам замораживания-оттаивания |
Обозначение 1 DN (80—300): нет Обозначение 2 DN (350—450): нет Обозначение 3 DN (80—300): да Обозначение 1 DN (80—300): нет Обозначение 2 DN (350—450): нет Обозначение 3 DN (80—300): да Обозначение 1 DN (80—300): 2 Обозначение 2 DN (350—450): 2 Обозначение 3 DN (80—300): 2 Да |
8) Соответствующая техническая документация и/или специальная техническая документация:
Показатели вышеуказанного продукта соответствуют заявленному показателю/заявленным показателям. За подготовку информации по эксплуатационным характеристикам несет полную единоличную ответственность вышеупомянутый производитель.
Подписано для производителя и от его имени:
[имя]________________________
[местоположение][дата]
[подпись]________________________
С.4.2 Пример необходимой информации, предоставляемой производителем по эксплуатационным характеристикам конструкции для удаления дымовых газов из бетона:
Информация производителя по эксплуатационным характеристикам
No. 001DQP2018-01-01
1) Идентификатор/код изделия:
Дымоходная система из бетона для подключения оборудования для сжигания топлива, использующего воздух в помещении [6]
2) Цель(и) использования:
Отвод продуктов сгорания во внешнюю атмосферу от оборудования для сжигания топлива, использующего воздух в помещении
Примечание — Производитель может предоставить дополнительную информацию о дополнительных рабочих характеристиках, например для оголовка.
3) Производитель:
AnyCo SA,
РО Box 21
1050 Брюссель, Бельгия
Тел. +32987654321
Факс: +32123456789
Электронная почта: anyco.sa@provider.be
4) Уполномоченный представитель:
Anyone Ltd
Цветочная ул., 24
Вест Хэмфордшир
589645 Великобритания
Тел. +44987654321
Факс: +44123456789
Электронная почта: any.ltd@provider.uk
5) Система(ы) оценки и проверки постоянства результатов деятельности:
Система 2+ и Система 4 (если оголовки включены в комплект поставки)
6) Стандарт: [6]
Орган по сертификации:__________________________________________________
7) Заявленные показатели:
MFC XYZ1
Обозначение 1 (Р1): Т120—Р1—D—1—020 b
Обозначение 2 (N1): T400—N1—D—3—G50 b
1 - Идентификация по данным производителя.
Таблица С.2
| Основные характеристики | Показатели |
|---|---|
| Газопроницаемость/утечки | Обозначение 1 — Р1 Обозначение 2 — N1 |
| Сопротивление потоку:
Прямая внутренняя труба Отвод 30° Тройник |
Обозначение 1 и 2 Средняя шероховатость 0,0015 м Значение Zeta — 0,3 Значение Zeta — 0,5 |
| Термическое сопротивление | Обозначение 1 и 2 0,2 м2К/Вт |
Огнестойкость изнутри наружу Устойчивость к термическому воздействию — устойчивость к возгоранию сажи |
Испытано со сплошной внешней защитной оболочкой и с вентилируемым проходом перекрытия 100 и 200 мм Обозначение 1 О — 20 мм — Конструкция, не устойчивая к возгоранию сажи Обозначение 2 G — 50 мм — Конструкция, устойчивая к возгоранию сажи |
| Огнестойкость снаружи наружу | NPD (характеристика не определена) — за исключением необходимости оценивать и объяснять в соответствии с национальными правилами |
| Пожарная опасность | А1 |
Прочность на сжатие Строительная высота |
Обозначение 1 и 2 — 30 м 30 м прямая конструкция 30 м конструкция с тройником | Прочность на изгиб в зависимости от ветровой нагрузки Максимально возможная высота над последней опорой и поддерживающим устройством |
2 м (для наружного размера 450 мм) 1,8 м (для наружного размера 400 мм) |
Долговечность: химическая и устойчивость к конденсату | Обозначение 1 и 2 сухой режим работы |
| Долговечность: коррозия | Обозначение 1 и 2 Обозначение 3 (подходит для всех видов топлива при сухом режиме эксплуатации) |
| Долговечность: истирание | Устойчивость к истиранию |
| Долговечность: замораживание-оттаивание | NPD (характеристика не определена) |
| Опасные вещества | Нет |
8) Соответствующая техническая документация и/или специальная техническая документация:
Показатели вышеуказанного продукта соответствуют заявленному показателю / заявленным показателям. За подготовку информации по эксплуатационным характеристикам несет полную единоличную ответственность вышеупомянутый производитель.
Подписано от имени производителя:
[имя]________________________
[местоположение][дата]
[подпись]________________________
С.4.3 Пример необходимой информации, предоставляемой производителем по эксплуатационным характеристикам конструкции для удаления дымовых газов с изделиями из полимеров:
Информация производителя по эксплуатационным характеристикам
No. 001DOP2018-01-01
1) Идентификатор/код изделия:
Дымоходная система с полимерными внутренними трубами [7]
2) Цель использования:
Отвод продуктов сгорания от оборудования для сжигания топлива во внешнюю атмосферу, подвод воздуха для горения, если необходимо
3) Производитель:
АпуСо SA,
РО Box 21
1050 Брюссель, Бельгия
Тел. +321087654321
Факс: +321234567810
Электронная почта: anyco.sa@provider.be
4) Уполномоченный представитель:
Anyone Ltd
Цветочная ул., 24
Вест-Хэмфордшир
5810645 Великобритания
Тел. +441087654321
Факс: +441234567810
Электронная почта: any.ltd@provider.uk
5) Система(ы) оценки и проверки постоянства результатов деятельности:
Система 2+, Система 3, Система 4
6) Стандарт: [7]
Орган по сертификации:__________________________________________________
7) Заявленный показатель(и):
MFC XYZ1
Обозначение 1 (DN 80—DN 110): T120—H1—W1—050 a—Ll—E U
Обозначение 1 (DN 125—DN 250): T120—P1—W1—050 a—Ll—E U
Обозначение 2: T120—P1—W1—020 a—Ll—E U0
1 - Идентификация по данным производителя.
Таблица С.З
| Основные характеристики | Показатели |
|---|---|
| Прочность на сжатие (максимально возможная высота) |
Обозначение 1 (DN80—DN110) 35 м Обозначение 1 (DN125—DN250) 24 м Обозначение 2 (DN80—DN250) 26 м |
| Сопротивление ветровой нагрузке (незакрепленная высота над последним опорным и поддерживающим устройством) | Обозначение 1 (DN80—DN110) 2 м Обозначение 1 (DN125—DN250) 1,5 м Обозначение 2 (DN80—DN250) 2 м |
| Сопротивление ветровой нагрузке (максимально возможная длина между опорой и поддерживающим устройством) | Обозначение 1 (DN80—DN110) 3 м Обозначение 1 (DN125—DN250) 2 м Обозначение 2 (DN80—DN250) 2,5 м |
| Огнестойкость (класс температуры, класс устойчивости к возгоранию сажи, расстояние до горючего материала, пожарная опасность, класс внешней оболочки, метод испытаний) | Обозначение 1 (DN80—DN250) Т120 050 Е U (проверено с полной защитной внешней оболочкой и с вентилируемым зазором) Обозначение 2 (DN80—DN250) Т120 020 Е U0 (проверено с полной обшивкой и с вентилируемым зазором) |
| Газопроницаемость (класс давления) | Обозначение 1 (DN80—DN110): Н1 Обозначение 1 (DN125—DN250): Р1 Обозначение 2 (DN80—DN250): Р1 |
| Термические характеристики (класс температуры) | Т120 |
| Размеры | DN80 — DN250 |
| Термическое сопротивление в м2К/Вт | R00 |
| Сопротивление потоку секций конструкции для удаления дымовых газов (г = средняя шероховатость внутренней оболочки) |
Обозначение 1 (DN80—DN250) 0,5 мм Обозначение 2 (DN80—DN250) 1 мм |
| Сопротивление потоку фасонных элементов конструкции для удаления дымовых газов (£ = местное сопротивление) |
Согласно ГОСТ Р 59978.1—2022 |
| Сопротивление оголовка (£F= местное сопротивление для шахты дымовых газов) (£а = местное сопротивление для шахты воздуха) |
Обозначение 1 (DN80—DN110) тип III Обозначение 1 (DN125—DN250) тип III
Обозначение 2 (DN80—DN250) тип III
|
| Прочность на изгиб (фактическая длина бокового смещения) |
1000 мм |
| Прочность на изгиб (наибольший наклон) | 87° |
| Стойкость к химическим веществам (класс устойчивости к конденсату) | W |
| Стойкость к химическим веществам (класс коррозионной стойкости) | 2 |
| Стойкость к ультрафиолету (местный класс) | LI |
| Устойчивость к термическим нагрузкам | Т120 |
| Пожарная опасность | Е |
| Устойчивость к циклам замораживания-оттаивания | Да |
| Опасные вещества | Указанные вещества |
| Другие характеристики | Показатель |
| Особенности движения воздуха от оголовка | Обозначение 1 (DN80—DN110) тип III A90 Обозначение 1 (DN125—DN250) тип III A45 Обозначение 2 (DN80—DN250) тип III АЗО |
| Устойчивость оголовков против попадания дождевой воды | Обозначение 1 (DN80—DN110) проверена Обозначение 1 (DN125—DN250) проверена Обозначение 2 (DN80—DN250) проверена |
| Устойчивость оголовков против образования льда | Обозначение 1 (DN80—DN110) проверена Обозначение 1 (DN125—DN250) проверена Обозначение 2 (DN80—DN250) проверена |
8) Соответствующая техническая документация и/или специальная техническая документация:
Показатели вышеуказанного продукта соответствуют заявленному показателю / заявленным показателям. За подготовку информации по эксплуатационным характеристикам несет полную единоличную ответственность вышеупомянутый производитель.
Подписано от имени производителя:
[имя]________________________
[местоположение][дата]
[подпись]________________________
С.4.4 Пример необходимой информации, предоставляемой производителем по эксплуатационным характеристикам многослойной керамической дымоходной системы:
Информация производителя по эксплуатационным характеристикам
No. 001DOP2018-01-01
1) Идентификатор/код изделия:
Дымоходная система с внутренними трубами из керамики [8]
2) Цель(и) использования:
Отвод продуктов сгорания во внешнюю атмосферу, устойчивость к возгоранию сажи
3) Производитель:
AnyCo SA,
РО Box 21
1050 Брюссель, Бельгия
Тел. +321087654321
Факс: +321234567810
Электронная почта: anyco.sa@provider.be
4) Уполномоченный представитель:
Anyone Ltd
Цветочная ул., 24
Вест-Хэмфордшир
5810645 Великобритания
Тел. +441087654321
Факс: +441234567810
Электронная почта: any.ltd@provider.uk
5) Система(ы) оценки и проверки постоянства результатов деятельности:
Система 2+
6) Стандарт: [8]
Орган по сертификации: _______________________
7) Заявленные показатели:
MFC XYZ1
Обозначение: Т400 — N1 — D3 — G50a
1 - Идентификация по данным производителя.
Таблица С.4
| Основные характеристики | Показатели |
|---|---|
| Огнестойкость изнутри наружу | G50 |
| Огнестойкость снаружи наружу | NPD |
| Газопроницаемость/утечки | N1 |
Сопротивление потока Керамическая внутренняя труба Керамическая внутренняя труба Керамическая внутренняя труба |
г = 0,0015 м г = 0,003 м <=1,2 |
| Размеры/термическое сопротивление | 0 120 мм = R42 0 140 мм = R43 0 160 мм = R45 0 180 мм = R46 0 200 мм = R46 0 250 мм = R48 |
| Устойчивость к температурному шоку (термические характеристики) | Устойчив |
| Прочность на сжатие | >10 мН/м2 |
| Максимальная высота внутренней трубы | < 25 м / > 50 кН |
Прочность на сжатие соединительных материалов: - для внутренней трубы - для внешней оболочки |
>10 Н/мм2 > М5 (класс, см. [9]) |
| Прочность на сжатие внешней оболочки | < 25 м |
| Прочность проемов | < 25 м / > 50 кН |
Стойкость газонепроницаемости / утечки от химикатов / коррозии Прочность на сжатие, стойкость против химических веществ | D3 <5% |
| Устойчивость к циклам замораживания-оттаивания | NPD |
8) Соответствующая техническая документация и/или специальная техническая документация:
Показатели вышеуказанного продукта соответствуют заявленному показателю / заявленным показателям. За подготовку информации по эксплуатационным характеристикам несет полную единоличную ответственность вышеупомянутый производитель.
Подписано от имени производителя:
[имя]________________________
[местоположение][дата]
[подпись]________________________
Приложение ДА
(справочное)
Сведения о соответствии ссылочных национальных и межгосударственных стандартов международным и европейским стандартам, использованным в качестве ссылочных в примененном стандарте
Таблица ДА. 1
| Обозначение ссылочного национального, межгосударственного стандарта | Степень соответствия | Обозначение и наименование ссылочного международного, европейского стандарта |
|---|---|---|
| ГОСТ 33103.1—2017 (ISO 17225-1:2014) | MOD | ISO 17225-1:2014 «Биотопливо твердое. Технические характеристики и классы топлива. Часть 1. Общие требования» |
| ГОСТ 33103.2—2017 (ISO 17225-2:2014) | MOD | ISO 17225-2:2014 «Биотопливо твердое. Технические характеристики и классы топлива. Часть 2. Классификация древесных пеллет» |
| ГОСТ 33103.3—2017 (ISO 17225-3:2014) | MOD | ISO 17225-3:2014 «Биотопливо твердое. Технические характеристики и классы топлива. Часть 3. Классификация древесных брикетов» |
| ГОСТ 33103.4—2017 (ISO 17225-4:2014) | MOD | ISO 17225-4:2014 «Биотопливо твердое. Технические характеристики и классы топлива. Часть 4. Классификация древесной щепы» |
| ГОСТ 33103.5—2017 (ISO 17225-5:2014) | MOD | ISO 17225-5:2014 «Биотопливо твердое. Технические характеристики и классы топлива. Часть 5. Классификация дров» |
| ГОСТ Р 59375.1—2021 | MOD | DIN EN 1856-1:2009 «Конструкции для удаления дымовых газов. Требования к металлическим конструкциям для удаления дымовых газов. Часть 1. Строительные компоненты конструкций для удаления дымовых газов» |
| ГОСТ Р 59978.1—2022 | MOD | DIN EN 13384-1:2015+А1:2019 «Конструкции для удаления дымовых газов. Теплотехнический и аэродинамический расчет. Часть 1. Конструкции для удаления дымовых газов от одного источника тепла» |
| Примечание — В настоящей таблице использовано следующее условное обозначение степени соответствия стандартов: - MOD — модифицированные стандарты. | ||
Библиография
[1] ЕН 13216-1 Конструкции для удаления дымовых газов. Методы испытаний дымоходных систем. Часть 1. Общие методы испытаний (Chimneys — Test methods for system chimneys — Part 1: General test methods)
[2] EH 13501-1 Классификация строительных продуктов и строительных конструкций по их пожарной опасности. Часть 1. Классификация строительных продуктов по результатам испытаний на пожарную опасность (Fire classification of construction products and building elements — Part 1: Classification using data from reaction to fire tests)
[3] EH 13501-2 Классификация строительных продуктов и строительных конструкций по их пожарной опасности. Часть 2. Классификация по результатам испытаний на огнестойкость за исключением систем вентиляции (Fire classification of construction products and building elements — Part 2: Classification using data from fire resistance tests, excluding ventilation services)
[4] EH 1366-13 Испытания на огнестойкость инженерного оборудования. Часть 13. Конструкции для удаления дымовых газов (Fire resistance tests for service installations — Part 13: Chimneys)
[5] Федеральный закон от 27 декабря 2002 г. № 184-ФЗ «О техническом регулировании»
[6] ЕН 16497-1 Конструкции для удаления дымовых газов. Дымоходные системы из бетона. Часть 1. Эксплуатация с использованием воздуха помещения (Chimneys — Concrete System Chimneys — Part 1: Non-balanced flue applications)
[7] EH 14471 Конструкции для удаления дымовых газов. Дымоходные системы с внутренними полимерными трубами. Требования и испытания (Chimneys — System chimneys with plastic flue liners — Requirements and test methods)
[8] EH 13063-1 Конструкции для удаления дымовых газов. Дымоходные системы с внутренними керамическими трубами. Часть 1. Требования и испытания по устойчивости к возгоранию сажи (Chimneys — System chimneys with clay/ceramic flue liners — Part 1: Requirements and test methods for sootfire resistance)
[9] EH 998-2 Требования к смесям для кладочных работ. Часть 2. Кладочные смеси (Specification for mortar
for masonry — Part 2: Masonry mortar)