Пособие по проектированию автономных инженерных систем одноквартирных и блокированных жилых домов (водоснабжение, канализация, теплоснабжение и вентиляция, газоснабжение, электроснабжение). МДС 40-2.2000
ПОСОБИЕпо проектированию автономных инженерных систем одноквартирных и блокированных жилых домов
(водоснабжение, канализация, теплоснабжение и вентиляция, газоснабжение, электроснабжение)
РАЗРАБОТАНО творческим коллективом Торгового Дома "Инженерное оборудование" в составе: А.И. Кунаховича (руководитель), И.Ш. Свердлова, А.С. Шварцмана, А.З. Ивянского, Г.Р. Рабиновича, А.К. Сокольского, Н.В. Федоровой, В.П. Харитонова.
ОДОБРЕНО Управлением стандартизации, технического нормирования и сертификации (письмо от 15.05.97 N 13-288).
Содержание
- Предисловие
- 1. Общие положения
- 2. Водоснабжение
- 3. Канализация
- Общие положения
- Нормы водоотведения
- Количество загрязнений в сточных водах
- Выпуски из зданий и наружные трубопроводы
- Выбор сооружений по приему и очистке сточных вод
- Накопители сточных вод
- Системы автономной канализации с отведением сточных вод в грунт
- Фильтрующий колодец
- Поля подземной фильтрации
- Фильтрующие кассеты
- Системы автономной канализации с отведением очищенных сточных вод в поверхностные водоемы
- Песчано-гравийные фильтры
- Фильтрующая траншея
- Отвод очищенной воды
- Перекачка сточных вод
- Устройства для приема и обработки фекалий
- Очистка сточных вод в установках заводского изготовления
- Очистные сооружения с активным илом
- Очистные сооружения с биопленкой
- Комбинированные очистные сооружения с активным илом и биопленкой
- Физико-химическая очистка сточных вод
- 4. Теплоснабжение и вентиляция
- Общие положения
- Определение тепловой мощности системы отопления
- Определение потребной тепловой мощности генераторов теплоты (котлов) и теплового потока отопительных приборов систем отопления
- Системы отопления
- Горячее водоснабжение
- Источники автономного (децентрализованного) теплоснабжения и их размещение
- Вентиляция
- 5. Газоснабжение
- 6. Электроснабжение
- Приложение 1. Состав проектной документации на электроснабжение
- Приложение 2. Техническая документация по электроснабжению, представляемая в госэнергонадзор
- Приложение 3. Требования к монтажу внутренних электропроводок одноквартирных и блокированных жилых домов
- Приложение 4. Извлечения из нормативных документов снип 2.04.05-91
- Нормативные ссылки
ПРЕДИСЛОВИЕ
Настоящее Пособие разработано в развитие строительных норм и правил Российской Федерации и других документов, относящихся к проектированию автономных систем для одноквартирных и блокированных жилых домов.
Одной из причин неудовлетворительного развития автономных систем является практическое отсутствие рекомендаций и технических решений по проектированию и строительству этих систем.
Ужесточение требований по очистке сточных вод, значительное загрязнение водоисточников, общее ухудшение экологической обстановки, рост цен на энергоносители, появление на рынке импортного оборудования меняют требования к техническому уровню инженерных систем и степени благоустройства жилого фонда.
Настоящее Пособие разработано с целью восполнить имеющиеся пробелы и создать единый свод рекомендаций - документ по проектированию всего комплекса инженерных автономных систем для индивидуальных жилых домов.
Общими принципами настоящего Пособия являются: повышение уровня комфортности проживания населения, улучшение качества питьевой воды, повышение экологической безопасности автономных систем, энергосбережение, применение современных эффективных технических решений.
Вместе с тем каждый раздел имеет свои особенности, связанные с характером функционирования системы и ее обслуживания, требованиями к обеспечению надежности работы и безопасности.
1. ОБЩИЕ ПОЛОЖЕНИЯ
1.1. Настоящее Пособие необходимо при проектировании автономных (децентрализованных) систем водоснабжения, канализации, теплоснабжения и вентиляции, газоснабжения, электроснабжения для одноквартирных и блокированных жилых домов.
1.2. Выбор применения автономных или централизованных систем инженерного обеспечения должен в каждом конкретном случае решаться на основании технико-экономических расчетов с учетом местных условий.
1.3. Настоящее Пособие разработано в развитие строительных норм и правил Российской Федерации и других документов, относящихся к проектированию отдельных систем инженерного обеспечения, и содержит положения, направленные на выполнение обязательных требований строительных норм и правил, общетехнических и экологических стандартов, применение новых технических решений для элементов систем и сооружений, которые прошли эксплуатационную проверку.
1.4. При выборе участка для индивидуального строительства на свободной территории необходимо учитывать особенности инженерного благоустройства, связанные с применением автономных систем, в частности с размещением инженерных сооружений, возможностью подъезда к ним автотранспорта, сброса сточных вод и др.
1.5. Разработка проектов на строительство автономных систем может выполняться проектным институтом, проектно-производственным бюро при органах архитектуры, проектно-строительной организацией, имеющими соответствующие лицензии на право выполнения таких работ.
Конкретные проектные решения следует согласовывать с местными органами государственного надзора.
2. ВОДОСНАБЖЕНИЕ
ОБЩИЕ ПОЛОЖЕНИЯ
2.1. Настоящий раздел разработан в развитие СНиП 2.04.02-84* "Водоснабжение. Наружные сети и сооружения" и СНиП 2.04.01-85* "Внутренний водопровод и канализация зданий" и распространяется на проектирование автономных (децентрализованных) систем водоснабжения индивидуальных жилых домов.
2.2. Автономные системы устраиваются для водоснабжения жилых домов при отсутствии централизованной системы водоснабжения или невозможности присоединения к ней.
2.3. В настоящем разделе рассматриваются вопросы проектирования систем водоснабжения и их элементов: водозаборные сооружения, водоподъемные установки, наружные разводящие сети, регулирующие емкости, устройства для обеззараживания и (или) очистки воды.
2.4. При устройстве автономных систем водоснабжения должны использоваться изделия, оборудование, трубопроводы из материалов, разрешенных Госсанэпиднадзором РФ для применения в практике хозяйственно-питьевого водоснабжения.
ТРЕБОВАНИЯ К КАЧЕСТВУ ВОДЫ
2.5. Качество питьевой воды должно, как правило, соответствовать требованиям СанПиН 2.1.4.559-96 "Питьевая вода. Гигиенические требования к качеству воды централизованных систем питьевого водоснабжения. Контроль качества" и ГОСТ 2874 - 82* "Вода питьевая. Гигиенические требования и контроль за качеством".
Основные нормативные показатели приведены в табл. 1.
Таблица 1
| Показатели | Единица измерения | Норматив |
|---|---|---|
| 1. Водородный показатель | единица рН | 6,0-9,0 |
| 2. Мутность по стандартной шкале | мг/л | не более 1,5 |
| 3. Цветность | градус | " 20 |
| 4. Вкус и привкус при 20 °С | балл | " 2 |
| 5. Железо | мг/л | " 0,3 |
| 6. Марганец | " | " 0,1 |
| 7. Нитраты () | " | " 45 |
| 8. Жесткость общая | мг-экв/л | " 7,0 |
| 9. Сульфаты | мг/л | " 500 |
| 10. Хлориды | " | " 350 |
| 11. Общая минерализация | " | " 1000 |
| 12. Число колиформных бактерий | число бактерий в 100 мл | отсутствие |
| 13. Общее микробное число | число образующих колонии бактерий в 1 мл | не более 50 |
Примечание. Величины, указанные в таблице, могут быть увеличены только по согласованию с местными органами государственного санитарно-эпидемиологического надзора.
2.6. При невозможности использовать воду природного качества по приведенным в табл. 1 показателям необходимо предусматривать устройства для ее очистки и (или) обеззараживания.
ВОДОПОТРЕБЛЕНИЕ И СВОБОДНЫЕ НАПОРЫ
2.7. Нормы расхода воды жителями принимаются в зависимости от внутреннего санитарно-технического оборудования жилых домов по табл. 2.
2.8. Расчетные расходы воды в системе внутреннего водопровода жилого дома определяются в соответствии с табл. 3.
Расходы воды на поливку зеленых насаждений, а также на содержание скота и птицы следует принимать дополнительно, учитывая, что они не совпадают с периодом максимального водопотребления.
Расходы воды на поливку зеленых насаждений, газонов и цветников следует принимать в количестве 3 - 6 л/м2 на одну поливку. Число поливок надлежит принимать 1 - 2 в сутки, в зависимости от климатических условий.
Расходы воды на содержание скота и птицы следует принимать, л/сут на 1 животное: для лошадей - 80, коров - 60, овец и коз - 10, молодняка крупного скота - 5-25, свиней - 12-15, прочего молодняка и поросят - 5; кур-0,8, индеек - 1,2, уток и гусей - 1,6, кроликов и норок - 3.
2.9. Минимальные свободные напоры у санитарных приборов в соответствии со СНиП 2.04.01-85* должны составлять не менее 2 м.
Таблица 2
| Водопотребители | Удельное среднесуточное (за год) хозяйственно-питьевое водопотребление в населенных пунктах на одного жителя, л/сут |
|---|---|
| Индивидуальные или блокированные жилые дома: | |
| с водопроводом и канализацией без ванн | 90-120 |
| с газоснабжением | 115-150 |
| с водопроводом, канализацией и ваннами с водонагревателями, работающими на твердом топливе | 140-180 |
| с водопроводом, канализацией и ваннами с газовыми водонагревателями | 170-190 |
| с быстродействующими газовыми нагревателями и многоточечным водоразбором | 190-250 |
Примечание. Меньшие показатели принимаются для индивидуальных жилых домов (коттеджей), большие - для блокированного жилого дома с общей системой водоснабжения
Определение расхода воды и стоков санитарными приборами
Таблица 3
| Санитарные приборы | Секундный расход воды, л/с | Часовой расход воды, л/с | Сво-бод-ный напор H0,м | Рас-ход стоков от при-бора q0s, л/с | Минимальные диаметры условного прохода, мм | |||||
|---|---|---|---|---|---|---|---|---|---|---|
| об-щий q0tot | хо-лод-ной q0c | горя-чей q0h | об-щий q0,hrtot | хо-лод-ной q0,hrc | горя-чей q0,hrh | под-вод-ки | отво-да | |||
| 1 | 2 | 3 | 4 | 5 | 6 | 7 | 8 | 9 | 10 | 11 |
| 1. Умывальник, рукомойник с водоразборным краном | 0,1 | 0,1 | - | 30 | 30 | - | 2 | 0,15 | 10 | 32 |
| 2. То же, со смесителем | 0,12 | 0,09 | 0,09 | 60 | 40 | 40 | 2 | 0,15 | 10 | 32 |
| 3. Раковина, мойка инвентарная с водоразборным краном | 0,15 | 0,15 | - | 50 | 50 | - | 2 | 0,3 | 10 | 40 |
| 4. Мойка со смесителем | 0,12 | 0,09 | 0,09 | 80 | 60 | 60 | 2 | 0,6 | 10 | 40 |
| 5. Ванна со смесителем (в том числе общим для ванн и умывальника) | 0,25 | 0,18 | 0,18 | 300 | 200 | 200 | 3 | 0,8 | 10 | 40 |
| 6. Ванна с водогрейной колонкой и смесителем | 0,22 | 0,22 | - | 300 | 300 | - | 3 | 1,1 | 15 | 40 |
| 7. Ванна ножная со смесителем | 0,1 | 0,07 | 0,07 | 220 | 165 | 165 | 3 | 0,5 | 10 | 40 |
| 8. Душевая кабина с мелким душевым поддоном и смесителем | 0,12 | 0,09 | 0,09 | 100 | 60 | 60 | 3 | 0,2 | 10 | 40 |
| 9. Душевая кабина с глубоким душевым поддоном и смесителем | 0,12 | 0,09 | 0,09 | 115 | 80 | 80 | 3 | 0,6 | 10 | 40 |
| 10. Гигиенический душ (биде) со смесителем и аэратором | 0,08 | 0,05 | 0,05 | 75 | 54 | 54 | 5 | 0,15 | 10 | 32 |
| 11. Унитаз со смывным бачком | 0,1 | 0,1 | - | 83 | 83 | - | 2 | 1,6 | 8 | 85 |
| 12. Унитаз со смывным краном | 1,4 | 1,4 | - | 81 | 81 | - | 4 | 1,4 | - | 85 |
| 13. Писсуар | 0,035 | 0,035 | - | 36 | 36 | - | 2 | 0,1 | 10 | 40 |
| 14. Писсуар с полуавтоматическим смывным краном | 0,2 | 0,2 | - | 36 | 36 | - | 3 | 0,2 | 15 | 40 |
| 15. Питьевой фонтанчик | 0,04 | 0,04 | 72 | 72 | - | 2 | 0,05 | 10 | 25 | |
| 16. Поливочный кран | 0,3 | 0,3 | 0,2 | 1080 | 1080 | 720 | 2 | 0,3 | 15 | - |
| 17. Трап условным диаметром, мм: | ||||||||||
| 50 | - | - | - | - | - | - | - | 0.7 | - | 50 |
| 100 | - | - | - | - | - | - | - | 2.1 | - | 100 |
Примечания: 1. При установке аэраторов на водозаборных кранах и смесителях свободный напор в подводках следует принимать не менее 5 м.
2. Расход сточых вод, отводимых трапами, следует определять расчетом и принимать не более указанных в таблице.
ИСТОЧНИКИ ВОДОСНАБЖЕНИЯ
2.10. В качестве источников следует, как правило, использовать подземные воды. Предпочтение следует отдавать водоносным горизонтам, защищенным от загрязнения водонепроницаемыми породами.
Поверхностные источники допускаются к использованию в исключительных случаях при наличии специальных обоснований.
2.11. Выбор источника и место расположения водозаборных сооружений должны быть согласованы с местными органами государственного санитарно-эпидемиологического надзора.
ВОДОЗАБОРНЫЕ СООРУЖЕНИЯ
2.12. Конструкция водозаборных сооружений определяется потребными расходами воды, гидрогеологическими условиями, типом водоподъемного оборудования и местными особенностями.
2.13. В качестве водозаборных сооружений следует, как правило, применять мелкотрубчатые водозаборные скважины или шахтные колодцы, При соответствующих обоснованиях могут применяться каптажи родников и другие сооружения.
2.14. Водозаборные сооружения должны размещаться на незагрязненных и неподтапливаемых участках на расстоянии, как правило, не менее 20 м выше (по потоку подземных вод) от источников возможного загрязнения (уборных, канализационных сооружений и трубопроводов, складов удобрений, компоста и т.п.).
Конструкция сооружений не должна допускать возможности проникновения в эксплуатируемый водоносный горизонт поверхностных загрязнений, а также возможности соединений его с другими водоносными горизонтами.
2.15. Глубина водозаборных скважин и шахтных колодцев принимается в зависимости от глубины залегания водоносных горизонтов, их мощности, способа производства работ и других местных условий.
2.16. Шахтные колодцы могут применяться при неглубоком залегании водоносного горизонта (обычно до 20 м).
Они состоят из оголовка (надземной части), ствола, водовмещающей и водоприемной частей.
2.17. Оголовок и ствол шахтного колодца должны быть защищены от загрязнения поверхностными или грунтовыми водами. Верх оголовка должен быть выше уровня земли не менее чем на 0,8 м и перекрыт крышкой. Вокруг колодца должна устраиваться отмостка шириной 1-2 м с уклоном от колодца и водонепроницаемый глиняный замок шириной 0,5 м на глубину 1,5-2м. В колодцах следует предусматривать вентиляционную трубу, выведенную выше поверхности земли не менее чем на 2 м и защищенную колпаком с сеткой.
2.18. Шахтные колодцы в зависимости от материала для крепления стенок могут быть деревянными (срубы), из кирпичной или каменной кладки, из бетона или железобетона.
При обосновании возможно применение других строительных материалов, в том числе пластмасс.
Проходка шахтных колодцев может быть механизирована с помощью специальных бурильных агрегатов.
2.19. Водоприемная часть шахтных колодцев в зависимости от гидрогеологических условий и глубины устраивается в дне и (или) стенках колодца.
Дно колодца при приеме через него воды должно быть снабжено гравийным фильтром или оборудовано плитой из пористого бетона. В стенках при приеме воды через них должны быть устроены окна, заполненные гравийным фильтром или пористым бетоном.
При толщине водоносного пласта до 3 м следует предусматривать шахтные колодцы совершенного типа с вскрытием всей мощности пласта; при большей мощности пласта допускаются несовершенные колодцы с вскрытием части пласта.
2.20. При сосредоточенном выходе подземных вод на поверхность земли в виде родника для отбора воды устраиваются специальные каптажные камеры, конструкция которых принципиально не отличается от конструкции шахтных колодцев.
Вода может поступать в камеру через дно (для восходящих родников) либо через стенки (для нисходящих родников).
При каптаже из скальных пород устройство гравийного фильтра не требуется.
2.21. В каптажной камере следует предусматривать переливную трубу, рассчитанную на наибольший дебит (объем) родника, с установкой на ее конце клапана-захлопки.
2.22. При наличии в воде родника взвешенных веществ каптажную камеру следует разделять переливной стенкой на два отделения: одно для отстаивания воды с последующей очисткой его от осадка, второе - для забора воды.
2.23. Наиболее распространенным видом водозаборных сооружений являются водозаборные скважины, применяемые при разнообразных гидрогеологических условиях и глубинах залегания водоносного пласта.
2.24. Водозаборные скважины состоят из устья с оголовком (верхней части), ствола, водоприемной части с фильтром и отстойником. Устье скважин, как правило, размещается в подземной камере.
2.25. Состав элементов и конструкция скважин зависят от способа бурения, глубины скважины и гидрогеологических условий.
2.26. Бурение скважин осуществляется вращательным или ударно-канатным способом с помощью специальных буровых установок.
Для крепления стенок скважин при бурении и на период эксплуатации применяются обсадные трубы (стальные, асбестоцементные, пластмассовые).
2.27. Конструкция оголовка скважин должна быть герметична, исключать возможность проникновения поверхностных вод и загрязнений в скважину. Верхняя часть оголовка должна выступать над полом камеры не менее чем на 0,5 м.
2.28. Конструкцию и размеры фильтра следует принимать в зависимости от гидрогеологических условий, дебита скважины и режима эксплуатации. В скальных породах возможно применение бесфильтровых скважин.
2.29. При самоизливающихся скважинах необходимо предусмотреть возможность организованного отвода воды за пределы участка с недопущением размыва поверхности земли.
2.30. Для систем индивидуального водоснабжения не обязательно предусматривать резервное водозаборное сооружение (скважину, шахтный колодец и др.). Для повышения надежности подачи воды может предусматриваться комплект водоподъемного оборудования, находящийся на складе.
ВОДОПОДЪЕМНЫЕ УСТАНОВКИ И РЕГУЛИРУЮЩИЕ ЕМКОСТИ
2.31. Для индивидуальных систем водоснабжения следует, как правило, применять автоматизированные водоподъемные устройства, включающие в себя насос, регулирующую емкость и приборы автоматического регулирования, при которых насос периодически подает или прекращает подачу воды в регулирующую емкость в зависимости от уровня воды в безнапорном (открытом) баке или давления в напорном гидропневматическом баке.
Работа водоподъемной установки характеризуется частотой включения насоса в единицу времени, зависящей от регулирующего объема бака.
Безнапорный (открытый) бак размещается в высшей точке системы на отметке, обеспечивающей необходимый напор в системе.
В напорном гидропневмобаке необходимый напор создается давлением сжатого воздуха, передающимся на воду через эластичную мембрану.
Гидропневмобаки обычно входят в комплект автоматизированных водоподъемных установок; безнапорные баки чаще всего поставляются по отдельной заявке как нестандартизированное оборудование.
2.32. Тип водоподъемного оборудования зависит от вида водозаборного сооружения, глубины водоносного горизонта (его динамического уровня), дебита водоисточника, а также условий водопотребления (расхода воды и свободного напора).
Для автономных систем водоснабжения могут применяться насосы различных типов - консольные, консольные моноблочные, вихревые, погружные, бытовые, а также комплектные водоподъемные установки, включающие в себя насос, гидропневматический бак, арматуру и средства автоматизации.
Допускается использование импортного оборудования, прошедшего сертификацию в установленном порядке.
Примеры технических решений указаны в альбоме "Автономные системы инженерного оборудования одноквартирных и блокированных жилых домов".
2.33. Для подъема воды из шахтных колодцев и водозаборных скважин при устойчивой глубине динамического уровня воды не более 5 - 6 м рекомендуется применение горизонтальных центробежных насосов. Насосы могут размещаться в обособленном помещении первого этажа (подвала) жилого дома, в шахтном колодце или в подземной камере.
Размещение насосов в помещении жилого дома допускается при условии, что уровень шума в жилых помещениях при работе насоса не превысит 35 дБА.
Для подъема воды из глубоких шахтных колодцев и водозаборных скважин, как правило, применяются погружные насосы.
2.34. Работу насосов следует принимать в повторно-кратковременном режиме совместно с регулирующей емкостью.
Производительность насосов при этом должна составлять не менее максимального часового расхода воды, определяемого в проекте жилого дома, для которого проектируется автономная система водоснабжения.
2.35. Полный напор насосной установки Hp, м, следует определять по формуле
, (1)
где Hgeom- геометрическая высота подъема от динамического уровня воды в водозаборном сооружении до расчетной точки (наиболее высокорасположенного прибора), м;
ΣHtot,l - потери напора при движении воды до расчетной точки, м;
Hf - необходимый свободный напор в расчетной точке, м (в соответствии с табл. 3).
2.36. Регулирующий объем емкости , м, надлежит определять по формуле
, (2)
где qhrsp - производительность насоса, м3/ч;
n - допустимое число включений насоса в час, принимаемое для установок:
с безнапорными баками - до 4;
с гидропневмобаками - до 10.
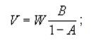
2.37. Полную вместимость емкостей V, м3, следует определять по формуле
а) для гидропневматического бака:
, (3)
б) для безнапорного бака:
, (4)
где A - отношение абсолютного минимального давления к максимальному, значение которого следует принимать:
0,8 - для установок, работающих с подпором;
0,75 - для установок с напором до 50 м;
B - коэффициент запаса вместимости бака, принимаемый 1,2-1,3.
2.38. Высота расположения безнапорного бака и минимальное давление в гидропневматическом баке должны обеспечивать необходимый напор воды перед водоразборной арматурой.
2.39. Безнапорные баки следует устанавливать в вентилируемом, освещенном и обособленном помещении жилого дома высотой не менее 2,2 м с положительной температурой воздуха.
Под баками следует предусматривать поддоны.
Расстояния между баками и строительными конструкциями должны быть не менее 0,7 м, от верха бака до перекрытия - не менее 0,6 м.
2.40. Гидропневматические баки рекомендуется устанавливать в помещениях, где расстояние от верха баков до перекрытия и до стен составляет не менее 0,6 м.
Допускается размещение гидропневматических баков в подземных камерах и колодцах при обеспечении положительной температуры в месте установки.
2.41. Для безнапорных баков следует предусматривать подающую трубу с поплавковым клапаном, отводящую, переливную и спускную трубы, дренаж поддона, воздушную трубу, запорную арматуру, датчики уровней для автоматизации включения и выключения насосов и т.п. Баки должны быть снабжены съемными крышками.
Гидропневматические баки должны быть оборудованы подающей, отводящей и спускной трубами, реле давления, манометром, предохранительным клапаном и другой необходимой арматурой.
2.42. Регулирующие емкости при их индивидуальном изготовлении рекомендуется выполнять из металла с наружной и внутренней антикоррозионной защитой.
2.43. Во всех вариантах установки насосов и емкостей должны также выполняться требования предприятий - изготовителей оборудования.
НАРУЖНЫЕ ТРУБОПРОВОДЫ
2.44. Водопроводная сеть, как правило, должна быть тупиковой.
Для устройства сети следует применять пластмассовые трубы. Допускается применение труб из других материалов (в том числе стальных, оцинкованных или с цементно-песчаным покрытием) при соблюдении требований п. 2.4.
2.45. Наружная поверхность стальных труб, укладываемых в грунте, должна защищаться противокоррозионным битумным или иным покрытием.
2.46. Глубина заложения наружных разводящих трубопроводов должна быть на 0,5 м больше глубины промерзания грунтов.
2.47. При обосновании допускается устройство летнего водопровода.
Летний водопровод эксплуатируется в теплое время года для полива зеленых насаждений и цветников, обеспечивает летнюю кухню и другие нужды и присоединяется к внутреннему водопроводу жилого дома.
Летний водопровод рекомендуется прокладывать непосредственно по земле (на опорах).
2.48. Все трубопроводы системы автономного водоснабжения должны иметь возможность опорожнения.
УСТРОЙСТВА ДЛЯ ОЧИСТКИ И ОБЕЗЗАРАЖИВАНИЯ ВОДЫ
2.49. В тех случаях, когда вода источника не удовлетворяет требованиям СанПиН 2.1.4.559-96 и ГОСТ 2874-82*, необходимы ее очистка и (или) обеззараживание.
2.50. Водоочистные установки применяются:
а) при несоответствии качества воды источника водоснабжения требованиям СанПиН 2.1.4.559-96 и ГОСТ 2874-82* - для обработки общего расхода воды, подаваемого системой водоснабжения;
б) при соответствии качества воды источника по основным характеристикам требованиям СанПиН 2.1.4.559-96 и ГОСТ 2874-82*- для улучшения ее органолептических показателей: как для обработки общего расхода воды, так и для обработки части воды, используемой на питьевые нужды, пищеприготовление и т.п. с помощью индивидуальных водоочистителей.
2.51. Обеззараживание воды, как правило, следует осуществлять в водоочистных установках или безреагентным способом - с помощью бактерицидного облучения.
Допускается использование гипохлорита натрия, хлорной извести и других сухих хлорсодержащих реагентов, разрешенных Госсанэпиднадзором РФ для применения в практике хозяйственно-питьевого водоснабжения.
2.52. При использовании хлорной извести или других сухих хлорсодержащих реагентов могут применяться хлор-патроны (капсулы из пористой керамики), заполненные реагентом и опускаемые в водоприемную емкость (колодец, камеру) на глубину 0,3-0,5 м от дна емкости.
2.53. Очистка воды в автономных системах водоснабжения чаще всего применяется для удаления железа, солей жесткости, в отдельных случаях для удаления фтора, марганца и других элементов, а также для снижения общей минерализации.
2.54. Установки, предназначенные для обработки общего расхода воды, размещаются на вводе воды в жилой дом, в отдельном помещении на первом этаже (подвале) жилого дома. При этом должны быть выполнены требования, установленные изготовителем оборудования, к размещению установки, высоте помещения, расстояниям до ограждающих конструкций, проходов и т.д.
2.55. Установки для индивидуальной очистки воды устанавливаются, как правило, непосредственно перед водоразборным устройством (например, у мойки).
Условия установки должны соответствовать требованиям завода-изготовителя.
2.56. Выбор типа установки определяется конкретными условиями - производительностью и качеством обрабатываемой воды.
Конкретные технические решения указаны в альбоме "Автономные системы инженерного оборудования одноквартирных и блокированных жилых домов".
3. КАНАЛИЗАЦИЯ
ОБЩИЕ ПОЛОЖЕНИЯ
3.1 . Системы канализации относятся к автономным, если они обеспечивают водоотведение от одноквартирного дома или усадьбы с надворными постройками и не связаны с системами водоотведения от других объектов, в отличие от местных систем, обслуживающих многоквартирный дом или группу близрасположенных домов, и централизованных систем канализации, охватывающих все или большую часть объектов населенного пункта.
3.2. Автономные системы канализации характеризуются:
- изолированностью от других систем канализации;
- малыми расходами сточных вод, неравномерностью их поступления;
- меньшими удельными нормами водоотведения, размещением непосредственно на территории канализуемого объекта;
- эксплуатацией системы непосредственно ее владельцем.
3.3. Автономные системы канализации должны обеспечивать сбор сточных вод от выпусков дома и других объектов усадьбы, их отведение к сооружению сбора или очистки, хранение или очистку в соответствии с требованиями санитарных и природоохранных норм и удаление (вывоз, сброс в грунт или в поверхностный водоем).
3.4. Выбор автономной, местной или централизованной системы канализации определяется рядом факторов:
- характером застройки;
- сроками завершения строительства отдельных объектов застройки;
- располагаемыми средствами;
- гидрогеологическими и гидрологическими условиями строительства;
- условиями водоснабжения объекта;
- рельефом площадки и т.д.
3.5. Решение по выбору системы канализации должно быть согласовано с местным органом Госсанэпиднадзора, а при сбросе сточных вод в поверхностный водоем - с местньм органом природоохраны.
3.6. При проектировании систем автономной канализации следует учитывать санитарно-гигиенические требования, предъявляемые к автономным системам водоснабжения (если они предусмотрены для этих же или для близрасположенных объектов), и уровень благоустройства канализуемого объекта. В частности, необходимо полностью исключить возможность загрязнения сточными водами (из сооружений подземной фильтрации или из-за утечек трубопроводов) водоносных горизонтов, используемых для питьевого водоснабжения.
НОРМЫ ВОДООТВЕДЕНИЯ
3.7. Объем среднесуточного водоотведения бытовых сточных вод от жилого дома следует принимать равным расчетному среднесуточному водопотреблению без учета расхода воды на полив зеленых насаждений, причем эти показатели могут быть скорректированы с учетом конкретного обустройства дома, индивидуальных, бытовых особенностей жителей. При этом, как правило, следует ориентироваться на нижние значения нормативного водопотребления, учитывая благоприятные условия для экономии воды при наличии одного владельца системы.
3.8. Следует учитывать возможность раздельного отведения хозяйственно-банных сточных вод (от кухонных моек, ванн, умывальников и т.п.) и фекальных сточных вод. Расход фекальных сточных вод следует принимать ориентировочно в количестве 30 % нормативного водоотведения.
КОЛИЧЕСТВО ЗАГРЯЗНЕНИЙ В СТОЧНЫХ ВОДАХ
3.9. Количество загрязнений в сточных водах следует определять по табл. 4.
Таблица 4
| Ингредиенты | Количество загрязнений, г/сут, на одного жителя |
|---|---|
| Взвешенные вещества | 65 |
| Неосветленная жидкость: | |
| БПК5 | 54 |
| БПКполн | 75 |
| Осветленная жидкость: | |
| БПК5 | 35 |
| БПКполн | 40 |
| Азот аммонийных солей (N) | 8 |
| Фосфаты (P2O5) | 3,8 |
| В том числе от моющих веществ | 1,6 |
| Хлориды (Сl) | 9 |
| Поверхностно-активные вещества (ПАВ) | 2,5 |
3.10. При разработке правил пользования принятой системой канализации следует предусматривать мероприятия по исключению сброса в канализацию крупноразмерных пищевых отходов, вод от мойки автомашин, веществ, вредно воздействующих на процесс биологической очистки сточных вод, залповых сбросов в систему канализации больших количеств (более 150 г/сут) поверхностно-активных веществ от стирки белья, уборки помещений и чистки санитарных приборов, мойки посуды и т.д.
ВЫПУСКИ ИЗ ЗДАНИЙ И НАРУЖНЫЕ ТРУБОПРОВОДЫ
3.11. Проектирование канализационных выпусков и наружных самотечных трубопроводов следует осуществлять в соответствии со СНиП 2.04.01-85* и СНиП 2.04.03-85.
3.12. При необходимости прокладки выпусков и трубопроводов выше глубины промерзания их следует утеплять обсыпкой из шлака, керамзита и других материалов. При этом следует обеспечить защиту теплоизоляции от накопления в ней воды за счет дренирования участка строительства. Минимальная глубина заложения трубопроводов от поверхности земли до верха трубы в местах возможного проезда автотранспорта должна быть не менее 0,7 м, в других местах - 0,5 м.
3.13. Для прокладки самотечных трубопроводов следует использовать безнапорные асбестоцементные трубы на муфтовых соединениях или пластмассовые трубы на муфтовых или раструбных соединениях, укладываемые на выровненное и утрамбованное основание из местного грунта. В скальных, илистых, торфянистых и просадочных грунтах следует предусматривать укладку труб на слой утрамбованного песчаного грунта высотой не менее 150 мм.
3.14. Для прокладки напорных трубопроводов следует использовать пластмассовые трубы на муфтовых или раструбных соединениях, асбестоцементные водопроводные трубы на муфтовых соединениях или стальные трубы с наружной и внутренней антикоррозионной защитой. Глубину заложения напорных трубопроводов следует принимать аналогично предусматриваемой для водопроводных трубопроводов. При невозможности соблюдения этого требования допускается использовать самоопорожнение труб при перерывах в перекачке сточных вод за счет уклонов трубопроводов.
3.15. Минимальный диаметр наружных трубопроводов самотечной канализации следует принимать 100 мм, уклон - 0,01.
При использовании трубопроводов диаметром 100 мм через каждые 15 м,а также в местах поворотов и присоединений на сети следует предусматривать смотровые колодцы круглые или квадратные в плане с бетонным лотком и стенками из сплошного глиняного кирпича, монолитного бетона или сборных железобетонных колец. При глубине колодцев до 0,8 м их диаметр или каждый размер в плане должен быть не менее 0,7 м, при большей глубине - 1,0 м. Колодцы должны перекрываться крышками с теплоизоляцией.
ВЫБОР СООРУЖЕНИЙ ПО ПРИЕМУ И ОЧИСТКЕ СТОЧНЫХ ВОД
3.16. В зависимости от местных условий сточные воды могут очищаться и отводиться в водоем, очищаться и поступать в поглощающий их грунт или направляться в накопитель с периодическим вывозом ассенизационными машинами на очистные сооружения.
3.17. Отведение сточных вод в поглощающий грунт может быть использовано для сезонного подпочвенного орошения сельскохозяйственных культур, выращиваемых на участке.
3.18. Система с отведением сточных вод в грунт может применяться в песчаных, супесчаных и легких суглинистых грунтах с коэффициентом фильтрации не менее 0,1 м/сут и уровнем грунтовых вод не менее 1 м от планировочной отметки земли.
3.19. Расстояние от участка, используемого для отведения сточных вод в грунт до шахтных или трубчатых колодцев, используемых для питьевого водоснабжения, определяется наличием участков фильтрующих грунтов между водоносным горизонтом и пластами грунта, поглощающими сточные воды. При гарантированном отсутствии такой связи расстояние до колодцев должно быть не менее 20 м, при ее наличии - определяться гидрогеологическими службами с учетом направления потока подземных вод и его возможных изменений при водозаборе.
3.20. При сбросе очищенных сточных вод в поверхностные водоемы следует руководствоваться "Правилами охраны водоемов от загрязнения сточными водами", а также требованиями СанПиН 4630-88. Когда фоновая концентрация загрязнений в водоеме ниже предельно допустимых концентраций (ПДК) в речной воде при согласовании с органами природоохраны можно предусматривать очистку сточных вод до концентраций загрязнений более ПДК за счет их смешения с водой водоема. Если фоновая концентрация загрязнений более ПДК, требуется доведение концентрации загрязнений в очищенной воде до ПДК.
3.21. При учете смешения сточных вод с водой водоема, как правило, требуемые уровни концентрации загрязнений в очищенных сточных водах, такие, как БПКполн и взвешенные вещества, равные 10-15 мг/л, могут быть достигнуты за счет биологической очистки.
3.22. При снижении загрязнений в очищенных сточных водах до ПДК в водоеме, как правило, требуется глубокая очистка сточных вод до следующих значений:
БПКполн - 3 мг/л;
взвешенные вещества - 3 мг/л;
аммонийный азот (по N) - 0,4 мг/л;
нитриты (по N) - 0,02 мг/л;
нитраты (по N) - 9 мг/л;
фосфаты (по ) - 1-2 мг/л;
СПАВ - 0,2-0,3 мг/л.
НАКОПИТЕЛИ СТОЧНЫХ ВОД
3.23. Накопители сточных вод целесообразно проектировать в виде колодцев с возможно более высоким подводом сточных вод для увеличения используемого объема накопителя.
3.24. Глубина заложения днища накопителя от поверхности земли не должна превышать 3 м для возможности забора стоков ассенизационной машиной.
3.25. Накопитель изготовляется из сборных железобетонных колец, монолитного бетона или сплошного глиняного кирпича. Накопитель должен быть снабжен внутренней и наружной (при наличии грунтовых вод) гидроизоляцией, обеспечивающими фильтрационный расход не более 3 л/(кв.м-сут).
3.26. Накопитель снабжается утепленной крышкой с теплоизолирующей прослойкой из минеральной ваты или пенопласта.
3.27. Рабочий объем накопителя должен быть не менее двухнедельного расхода сточных вод и не менее емкости ассенизационной цистерны. При необходимости увеличения объема накопителя предусматривается устройство нескольких емкостей, соединенных патрубками,
3.28. К накопителю должна быть предусмотрена возможность подъезда ассенизационной машины.
3.29. Целесообразно снабжать накопитель поплавковым сигнализатором уровня заполнения.
3.30. На перекрытии накопителя следует устанавливать вентиляционный стояк диаметром не менее 100 мм, выводя его на 700 мм выше планировочной отметки земли.
Внутренние поверхности накопителя следует периодически обмывать струей воды.
СИСТЕМЫ АВТОНОМНОЙ КАНАЛИЗАЦИИ С ОТВЕДЕНИЕМ СТОЧНЫХ ВОД В ГРУНТ
3.31. Отведение сточных вод в грунт осуществляется:
- в песчаных и супесчаных грунтах в сооружениях подземной фильтрации - после предварительной очистки в септиках. Допустимый уровень грунтовых вод при устройстве фильтрующих колодцев должен быть не менее 3 м от поверхности земли, при устройстве полей подземной фильтрации - не менее 1,5 м от поверхности земли;
- в суглинистых грунтах в фильтрующих кассетах - после предварительной очистки в септиках. Уровень грунтовых вод должен быть не менее 1,5 м от поверхности земли.
3.32. В септиках осуществляется механическая очистка сточных вод за счет процессов отстаивания сточных вод с образованием осадка и всплывающих веществ, а также частично биологическая очистка за счет анаэробного разложения органических загрязнений сточных вод.
Кроме того, в септиках осуществляется флотационная очистка сточных вод за счет газов, выделяющихся в процессе анаэробного разложения осадка.
Санитарно-защитную зону от септика до жилого здания следует принимать 5 м.
3.33. Объем септика следует принимать равным 2,5-кратному суточному притоку сточных вод при условии удаления осадка не реже одного раза в год. При удалении осадка два раза в год объем септика может быть уменьшен на 20 %.
3.34. При расходе сточных вод до 1 м3/сут септики надлежит предусматривать однокамерные, при большем расходе - двухкамерные, причем камеры принимаются равного объема.
3.35. Септики целесообразно проектировать в виде колодцев, высота сухого объема над уровнем сточных вод должна быть не менее 0,5 м.
3.36. Лоток подводящей трубы следует располагать на 0,05м выше расчетного уровня жидкости в септике.
На подводящем и отводящем трубопроводах сточных вод следует предусматривать вертикально расположенные патрубки с открытыми концами, погруженными в воду, для задержания плавающих веществ. В каждой из камер септика следует предусматривать вентиляционный стояк диаметром 100 мм, высота его над поверхностью земли - 700 мм.
3.37. При устройстве перекрытия септика следует предусматривать возможность доступа для разрушения корки, образующейся на поверхности жидкости из всплывших веществ.
Конструктивные решения септиков приведены в альбоме "Автономные системы инженерного оборудования одноквартирных и блокированных жилых домов".
ФИЛЬТРУЮЩИЙ КОЛОДЕЦ
3.38. Фильтрующий колодец состоит из донного фильтра, стен и перекрытия.
Донный фильтр выполняется в виде засыпки из гравия, щебня, спекшегося шлака крупностью 15-30 мм внутри колодца и у наружной поверхности стенок на ширину 300 мм. На высоту фильтра стенки колодца выполняются с равномерно распределенными отверстиями диаметром 40 - 60 мм общей площадью около 10 % поверхности стенок.
3.39. Стены фильтрующего колодца изготавливаются из сборного железобетона, монолитного бетона или сплошного глиняного кирпича (в последнем случае отверстия предусматриваются за счет промежутков в кладке).
Перекрытие колодца устраивается аналогично требованиям, изложенным в П.3.26.
Санитарно-защитную зону от фильтрующего колодца до жилого здания следует принимать равной 8 м.
3.40. Лоток подводящего сточные воды трубопровода размещается на 100 мм выше верха донного фильтра, причем открытый конец трубопровода должен располагаться в центре колодца.
3.41. Расчетная фильтрующая поверхность колодца рассчитывается исходя из нагрузки на площадь донного фильтра внутри колодца и площади отверстий в стенках колодца на высоту фильтра, которая составляет 100 л/сут на 1 м2 в песчаных грунтах и 50 л/сут на 1 м2 в супесчаных грунтах.
3.42. Основание фильтра должно располагаться не менее чем на 1 м выше уровня грунтовых вод. При расстоянии между основанием фильтра и уровнем грунтовых вод 2 м и более нагрузка может быть увеличена на 20 %.
3.43. Площадь колодца в плане должна быть не более 4 м2, полная глубина - не более 2,5 м.
При устройстве колодца следует учитывать требования пп.3.26 и 3,30.
Конструктивные решения фильтрующего колодца приведены в альбоме "Автономные системы инженерного оборудования одноквартирных и блокированных жилых домов".
ПОЛЯ ПОДЗЕМНОЙ ФИЛЬТРАЦИИ
3.44. Поля подземной фильтрации состоят из сети оросительных труб, укладываемых на глубину 0,5 -1,2 м от поверхности земли до верха труб (в зависимости от глубины промерзания грунта), причем расстояние от лотка труб до уровня грунтовых вод должно быть не менее 1 м.
Санитарно-защитную зону от полей подземной фильтрации до жилого здания следует принимать равной 15 м.
3.45. Оросительные трубы прокладываются в виде ответвлений длиной до 20 м от распределительного трубопровода.
Распределительный трубопровод диаметром 100 мм прокладывается с уклоном 0,005. Оросительные и распределительные трубопроводы монтируются из асбестоцементных безнапорных или пластмассовых труб.
В местах ответвлений оросительных труб на распределительном трубопроводе устраиваются смотровые колодцы размером в плане, указанным в п.3.15.
На ответвлениях к оросительным трубам в бетонном лотке колодцев следует предусматривать пазы шириной 30 мм для регулирующих заслонок.
3.46. Оросительные трубы диаметром 100 мм должны иметь отверстия диаметром 5 мм, направленные вниз под углом 60° к вертикали и располагаемые в шахматном порядке через 50 мм. Под трубами предусматривается подсыпка слоем около 200 мм и шириной 250 мм из щебня, гравия или спекшегося шлака, при этом труба погружается в подсыпку на половину диаметра.
Нагрузка в песчаных грунтах на 1 м оросительных труб составляет 30 л/сут, в супесчаных грунтах -15 л/сут.
3.47. Для притока воздуха на концах оросительных труб следует предусматривать стояки диаметром 100 мм, высота которых на 2000 мм выше планировочных отметок.
Конструктивные решения полей подземной фильтрации приведены в альбоме "Автономные системы инженерного оборудования одноквартирных и блокированных жилых домов".
ФИЛЬТРУЮЩИЕ КАССЕТЫ
3.48. Фильтрующая кассета-подземное сооружение с пространством высотой 250 мм под перекрытием.
Перекрытие выполняется из железобетонных плит и других материалов, опорные стенки - из бетонных блоков или сплошного кирпича.
3.49. По всей площади кассеты устраивается щебеночное основание высотой 100 мм, которое засыпается крупнозернистым песком крупностью 1 - 2 мм на высоту 150 мм.
3.50. Площадь фильтрующей загрузки в легких и средних суглинистых грунтах определяется исходя из расчетной нагрузки 60 л/(м2· сут). В месте подачи сточных вод устраиваются наброска из щебня крупностью 20 - 40 мм и струеотбойная стенка.
При тяжелых суглинистых грунтах следует дополнительно предусматривать по площади фильтрации устройство заполняемых щебнем шурфов диаметром 150 - 200 мм на глубину 0,5 м с промежутками 0,5 м между ними. Верх песчаной засыпки фильтрующей кассеты должен располагаться не менее чем на 1 м от уровня грунтовых вод. На перекрытии следует предусматривать вентиляционный стояк в соответствии с требованиями п.З.ЗО.
Конструктивные решения фильтрующей кассеты приведены в альбоме "Автономные системы инженерного оборудования одноквартирных и блокированных жилых домов".
СИСТЕМЫ АВТОНОМНОЙ КАНАЛИЗАЦИИ С ОТВЕДЕНИЕМ ОЧИЩЕННЫХ СТОЧНЫХ ВОД В ПОВЕРХНОСТНЫЕ ВОДОЕМЫ
3.51. Очистные сооружения с отведением очищенных сточных вод в поверхностные водоемы, как правило, применяются при водонепроницаемых или слабофильтрующих грунтах.
При этом очистка сточных вод осуществляется в песчано-гравийных фильтрах и фильтрующих траншеях.
ПЕСЧАНО-ГРАВИЙНЫЕ ФИЛЬТРЫ
3.52. Перед сооружениями подземной фильтрации надлежит устраивать септик.
3.53. Сточные воды, прошедшие сооружения подземной фильтрации, имеют БПКполн и концентрацию взвешенных веществ 10 - 15 мг/л.
3.54. Песчано-гравийные фильтры включают следующие основные элементы: оросительную сеть, фильтрующую загрузку и дренажную сеть.
3.55. При устройстве песчано-гравийного фильтра на дно котлована, спланированное с уклоном 0,03 к центральной части, укладывается слой гравия, щебня или спекшегося шлака крупностью 15 - 30 мм, высотой 100 мм, по которому прокладывают дренажную сеть, состоящую из центральной трубы - коллектора и отходящих от него водосборных труб, прокладываемых из асбестоцементных или пластмассовых труб диаметром 100 мм.
Асбестоцементные водосборные трубы снабжают боковыми пропилами на глубину 20 мм шириной 5 мм через каждые 100 мм. Пластмассовые трубы - боковыми отверстиями диаметром 10 мм через 100 мм. Пропилы и отверстия располагают в шахматном порядке.
Дренажная сеть засыпается щебнем, гравием или шлаком крупностью фракций 15-30 мм на высоту 100 мм над верхом труб, затем слоем из этих же материалов крупностью 5 - 15 или 2 - 5 мм, высотой 100 мм и слоем материалов крупностью 2 - 5 мм, высотой 100 мм.
3.56. Фильтрующий слой отсыпается из крупнозернистого песка крупностью 1 - 2 мм, высотой 1 м при требуемой концентрации загрязнений по БПКполн и взвешенным веществам в очищенной воде до 15 мг/л и высотой 1,5 м при требуемой концентрации указанных загрязнений до 10 мг/л.
На фильтрующий слой укладывают слой гравия, щебня и спекшийся шлак крупностью 15 - 30 мм. Оросительная сеть устраивается аналогично дренажной, обсыпается щебнем, гравием или шлаком крупностью фракций 15 - 30 мм на высоту 100 мм, затем ее накрывают слоем рубероида или гидроизола и засыпают грунтом.
3.57. Площадь фильтра определяется из расчета размещения оросительных труб расчетной длины при расстоянии между ними 0,5 м. Требуемая длина оросительных труб определяется при расчетной нагрузке на 1 м трубы 100 л/сут. Длину дренажных труб определяют аналогично оросительным трубам.
3.58. В конце коллектора оросительной сети и в начале коллектора дренажной сети устраиваются вентиляционные стояки диаметром 100 мм и высотой 700 мм над поверхностью земли.
3.59. Расстояние от лотка дренажных труб до уровня грунтовых вод должно быть не менее 1 м. При высоком уровне грунтовых вод фильтр допускается располагать в подсыпке, причем фильтр, перекрытый слоем рулонного гидроизоляционного материала, засыпается слоем шлака, равным 0,5 м, и растительного грунта - 0,2 м.
3.60. Санитарно-защитную зону от necчaнo-гравийного фильтра до обслуживаемого жилого здания следует принимать 8 м.
ФИЛЬТРУЮЩАЯ ТРАНШЕЯ
3.61. Фильтрующая траншея устраивается аналогично песчано-гравийному фильтру, но имеет линейное размещение оросительной трубы, длина которой может достигать 30 м.
3.62. Высота загрузки фильтрующей траншеи принимается 0,8 м, ширина траншеи - 0,5 м, нагрузка на 1,0 м оросительной трубы - 70 л/сут.
3.63. Санитарно-защитную зону от фильтрующей траншеи до обслуживаемого жилого здания следует принимать 8 м.
ОТВОД ОЧИЩЕННОЙ ВОДЫ
3.64. Вода, очищенная на песчано-гравийных фильтрах или в фильтрующих траншеях, отводится в водоем самотечным трубопроводом или собирается в накопителе и перекачивается в водоем насосом.
Следует предусматривать возможность обеззараживания очищенных сточных вод с помощью помещаемых в поток хлор-патронов.
3.65. В месте сброса очищенных сточных вод в водоем следует предусматривать мероприятия, предупреждающие размыв берегов и дна за счет гашения скорости потока и укрепления грунта каменной наброской или бетонными плитами.
ПЕРЕКАЧКА СТОЧНЫХ ВОД
3.66. Перекачка сточных вод предусматривается в следующих случаях:
- необходимость размещения сооружений очистных сточных вод в насыпи при высоком уровне грунтовых вод;
- невозможность отведения сточных вод на очистку при неблагоприятном рельефе местности;
- необходимость перекачки в водоем очищенных сточных вод при неблагоприятном рельефе местности и удаленности водоема.
3.67. Перекачку сточных вод на очистку или фильтрацию в грунт следует производить после септика.
Для перекачки сточных вод следует использовать погружные канализационные насосы, устанавливаемые на дне колодца, используемого в качестве приемного резервуара. Работу насоса следует автоматизировать по уровню сточных вод в колодце.
3.68. На подводящем трубопроводе сточных вод в колодец следует разместить решетчатый контейнер из оцинкованной проволоки с прозорами 20 мм.
Напорный патрубок насоса с напорным трубопроводом следует соединить резиновым или пластмассовым гибким шлангом. Работа насосов должна быть автоматизирована по уровню сточных вод в колодце.
3.69. Перекачку очищенных сточных вод можно осуществлять насосами, предназначенными для подачи питьевой воды, с устройством защитной сетки перед всасывающим отверстием.
3.70. Изготовление колодца для насосной установки следует предусматривать с учетом указаний пп.3.25 и 3.26.
УСТРОЙСТВА ДЛЯ ПРИЕМА И ОБРАБОТКИ ФЕКАЛИЙ
Люфт-клозет
3.71 . Люфт-клозет - отапливаемый внутридомовой туалет с выгребом, снабженным вытяжной вентиляцией с естественным побуждением.
Люфт-клозет должен примыкать к наружной стене дома и иметь окно с форточкой.
3.72. Люфт-клозет имеет приемную воронку под сиденьем, расположенную над выгребом и оканчивающуюся фановой трубой диаметром 150 мм.
Из выгреба следует предусматривать люфт-канал сечением 130 х 130 мм, нижний конец которого расположен на 200 мм выше конца фановой трубы, а верхний завершается флюгаркой, расположенной на 0,5 м выше кровли.
Вентиляционный канал прокладывают предпочтительно рядом с дымовой трубой.
3.73. Выгреб для сбора фекальных масс изготавливается в виде подземной емкости из бетона, железобетона или кирпича. Перекрытие выгреба, находящееся за пределами наружного ограждения здания, утепляется. На перекрытии располагается люк, перекрываемый утепленной крышкой.
3.74. При устройстве выгреба следует учитывать требования пп. 3.25, 3.26, 3.28. Внутреннюю поверхность выгреба, изготовленного из кирпича, необходимо защитить цементной штукатуркой.
Поверхность штукатурки так же, как и бетона в случае изготовления из него выгреба, необходимо зажелезнить затиркой цементом.
С целью водонепроницаемости снаружи устраивают замок из мятой глины слоем 300 мм или другую изоляцию.
Фекальные массы из выгреба забираются ассенизационной машиной и вывозятся на сливные станции.
Биотуалет
3.75. Биотуалет служит для приема и обработки фекальных масс в жилом доме на 4-5 чел. и состоит из сиденья с крышкой, камеры биоразложения, оборудованной устройством для перемешивания и электрическим нагревательным элементом, емкости для приема обработанных отходов и вентиляционного стояка с вентилятором.
3.76. В камере биоразложения под воздействием повышенной температуры происходит разложение и сушка фекальных масс с превращением их в порошкообразный компост, безопасный в санитарном отношении и пригодный для использования в качестве удобрений.
ОЧИСТКА СТОЧНЫХ ВОД В УСТАНОВКАХ ЗАВОДСКОГО ИЗГОТОВЛЕНИЯ
3.77. Компактные установки заводского изготовления по технологическому процессу подразделяются на следующие виды:
- очистные сооружения с активным илом;
- очистные сооружения с биопленкой;
- комбинированные сооружения с использованием активного ила и биопленки;
- сооружения физико-химической очистки.
ОЧИСТНЫЕ СООРУЖЕНИЯ С АКТИВНЫМ ИЛОМ
3.78. Сооружения имеют следующий состав: септик, аэротенк, вторичный отстойник. Как правило, указанные сооружения размещаются в едином блоке с самотечным подводом и отводом сточных вод.
Необходимо также учитывать, что емкости, составляющие блок, должны быть утеплены, а днище блока должно располагаться не ниже уровня грунтовых вод.
3.79. Септик предусматривается в соответствии с требованиями пп. 3.32 - 3.39, причем объем септика увеличивается на 50 % ввиду направления в него избыточного активного ила.
3.80. Объем аэротенка, работающего в режиме полного окисления, предусматривается из расчета 150 л на 1 жителя. Аэрация сточных вод может предусматриваться пневматическая или струйная.
3.81. Пневматическая аэрация осуществляется из расчета подачи на 1м3 аэротенка 2м3 воздуха в 1 ч. Аэрация производится через дырчатый пластмассовый трубопровод диаметром 15 мм с отверстиями 2 мм, обращенными ко дну и находящимися на расстоянии 100 мм друг от друга.
На 1м3 объема аэротенка прокладывается 2 м аэрационного трубопровода.
3.82. В качестве источника воздуха при пневматической аэрации может использоваться компрессор с любым принципом действия, к которому предъявляются следующие требования:
- режим работы - непрерывный;
- моторесурс - не менее 15-20 тыс. ч.
При установке компрессора в жилом здании уровень шума в жилых помещениях не должен превышать 35 дБА.
Установка может укомплектовываться двумя компрессорами, один из которых устанавливается, а второй хранится в качестве резервного.
3.83. При струйной аэрации следует использовать водовоздушные эжекторы, в которых в качестве рабочей жидкости используется иловая смесь, подаваемая погружным насосом.
3.84. Вторичный отстойник принимается с рабочим объемом 50 л на 1 жителя. Возврат циркуляционного ила в аэротенк с пневматической аэрацией осуществляется с помощью эрлифта, к которому подводится воздух.
3.85. Оперативный контроль за работой аэротенка осуществляется за счет отбора проб иловой смеси с последующим получасовым отстаиванием и определением отношения объема, занятого илом, к объему пробы.
Соотношение, при котором требуется отбор избыточного ила, направляемого в септик, а также периодичность отбора проб и количество удаляемого ила устанавливаются в ходе пусконаладочных работ.
3.86. На перекрытии над аэротенком с пневматической аэрацией следует предусматривать вентиляционный патрубок диаметром 100 мм, верхний конец которого расположен на 700 мм выше поверхности земли.
При струйной аэрации следует предусматривать два вентиляционных патрубка, один из которых расположен над аэратором.
3.87. Компрессор может располагаться непосредственно около аэротенка в утепленном боксе с крышкой и воздухозабором либо в подвале дома с защитой от шума до нормативного уровня. В последнем случае к аэротенку от компрессора воздух подводится по трубе.
3.88. Отвод очищенной воды следует осуществлять в соответствии с указаниями пп. 3.64 и 3.65.
3.89. Санитарно-защитную зону от установки очистки сточных вод с активным илом до обслуживаемого жилого здания следует принимать 8 м.
ОЧИСТНЫЕ СООРУЖЕНИЯ С БИОПЛЕНКОЙ
3.90. Сооружения имеют следующий состав: септик, биофильтр, вторичный отстойник. Как правило, указанные сооружения размещаются в едином блоке с самотечным подводом и отводом сточных вод. Емкости, образующие блок, должны быть утеплены, днище блока должно располагаться выше уровня грунтовых вод.
3.91. Септик предусматривается в соответствии с требованиями пп. 3.33 - 3.37 с увеличением объема на 30 % ввиду направления в септик избыточной биопленки.
3.92. Биофильтры следует применять капельного типа с загрузкой из щебня или гравия горных пород (гранит, диабаз и т.п.) крупностью 20-30 мм.
На сите с отверстиями 30 мм должно оставаться не более 5 % материала (по весу), 20 мм - 100 %.
3.93. Высота загрузки должна приниматься не менее 1,2 м, площадь загрузки - 0,2м2 на 1 жителя.
Орошение загрузки следует осуществлять через дырчатый лоток с подструйными разбрызгивающими головками.
Диаметр отверстий в лотке должен быть 10 мм, перепад между дном лотка и разбрызгивающей головкой - не менее 300 мм, высота головки над загрузкой - 100 мм. Количество разбрызгивающих головок принимается 4 шт. на 1м2 поверхности загрузки.
3.94. Загрузку следует размещать на промежуточном дырчатом днище с круглыми отверстиями диаметром 10 мм или щелевыми отверстиями шириной 10 мм суммарной площадью не менее 15 % площади днища и равномерно распределенными по нему. Нижнее днище располагается на уровне 150 мм ниже промежуточного и должно иметь уклон 0,01 к отводящей трубе.
3.95. Площадь вторичных отстойников после биофильтров следует принимать 0,05м2 на 1 жителя, рабочую глубину - 0,5 м, объем осадка из избыточной биопленки - 0,2 л/(чел · сут).
Осадок периодически перекачивается в септик с помощью погружного электронасоса.
3.96. На перекрытии над биофильтром предусматривается вентиляционный патрубок диаметром 100 мм, верхний конец которого располагается на 700 мм выше поверхности земли. Второй аналогичный вентиляционный патрубок выводится из междонного пространства биофильтра,
3.97. Отвод очищенной воды следует осуществлять в соответствии с указаниями пп. 3.34, 3.35.
Санитарно-защитную зону от очистной установки с активной биопленкой до обслуживаемого жилого здания следует принимать 8 м.
3.98. При очистке хозяйственно-банных сточных вод объем септика принимается равным 1,5-кратному суточному расходу сточных вод, а удельный объем очистных сооружений с использованием активного ила и биопленки снижается на 30 %.
КОМБИНИРОВАННЫЕ ОЧИСТНЫЕ СООРУЖЕНИЯ С АКТИВНЫМ ИЛОМ И БИОПЛЕНКОЙ
3.99. Комбинированные сооружения применяются для очистки сточных вод с удалением азота и фосфора.
3.100. Комбинированные сооружения имеют следующий состав: септик, денитрификатор, аэротенк, вторичный отстойник, нитрификатор, третичный отстойник.
3.101. Септик предусматривается в соответствии с требованиями пп.З.З6 и 3.37 с увеличением объема на 40 % в связи с направлением в септик избыточного ила и биопленки.
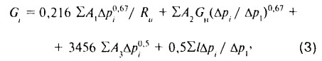
3.102. Денитрификатор принимается из расчета 50 л на 1 жителя. В денитрификаторе навешивается жесткая ершовая загрузка (например, из капроновой лески); с плотностью 7 м на 100 л.
3.103. В денитрификатор направляется часть (до 50 %) расхода активного ила из вторичных отстойников. Для перемешивания иловой смеси в денитрификаторе по дну емкости прокладывается аэрационный трубопровод диаметром 15 мм с отверстиями диаметром 2 мм, обращенными ко дну и находящимися на расстоянии 100 мм друг от друга.
В аэрационный трубопровод подается воздух от компрессора.
3.104. Объем аэротенка, работающего в режиме полного окисления, предусматривается 120 л на 1 жителя.
Аэрация сточных вод предусматривается в соответствии с п. 3.69, причем на 1 м3 объема аэротенка прокладывается 3 м аэрационного трубопровода.
Аэрационный трубопровод обсыпается слоем щебня крупностью 10-20 мм, высотой 100 мм, на который насыпается слой керамзита крупностью 10-20 мм и объемным весом 600 - 800 кг/м3, высотой 100 мм.
3.105. Вторичный отстойник принимается в соответствии с п. 3.86 (вариант для аэротенка с пневматической аэрацией).
3.106. Объем нитрификатора принимается равным 100 л на 1 жителя. В нитрификаторе навешивается вертикально полужесткая ершовая загрузка (смесь капроновой лески с лавсаном), длина которой составляет 70 м на 1 м3 объема аэротенка.
В нитрификаторе предусматривается пневматическая аэрация в соответствии с п. 3.81, причем на 1 м объема нитрификатора прокладывается 0,5 м аэрационного трубопровода.
3.107. Третичный отстойник предусматривается аналогичным вторичному. При необходимости обеззараживания сточных вод в отстойнике размещается хлор-патрон.
3.108. Оперативный контроль за работой аэротенка предусматривается в соответствии с п. 3.85.
3.109. При необходимости удаления фосфора на дне нитрификатора предусматриваются желоба глубиной 100 мм, засыпаемые известковым или доломитовым щебнем крупностью 10 - 20 мм, который после 10-дневного пребывания в воде должен терять не более 1 % своей массы.
3.110. Применение схемы очистки сточных вод, изложенной в пп. 3.99, 3.109, обеспечивает следующие показатели загрязнений очищенной воды:
БПК5 — 3 — 5 мг/л;
взвешенные вещества — 3 — 5 мг/л;
аммонийный азот (по N) — 3 — 5 мг/л;
нитриты (по N) — 0,02 мг/л;
нитраты (по N) — 10 — 12 мг/л;
фосфаты (P2Os) — 2 — 2,5 мг/л;
поверхностно-активные вещества — 0,2 —
0,3 мг/л.
3.111. Величину санитарно-защитной зоны от
очистной установки принимать аналогично п. 3.89.
ФИЗИКО-ХИМИЧЕСКАЯ очистка сточных вод
3.112. Сооружения имеют следующий состав: септик, фильтр типа «Оксипор», реагентная и насосная установки.
3.113. Септик предусматривается в соответствии с требованиями пп. 3.33 — 3.39 с увеличением его объема на 30 % в связи с направлением в септик промывных вод от фильтра.
3.114. Фильтр «Оксипор» принимается с двухслойной загрузкой: верхний слой высотой 0,4 м — из дробленого керамзита крупностью 5 — 10 мм, нижний — высотой 0,5 м — из керамзитового песка крупностью 1 — 2 мм, который размещается на поддерживающем слое гравия высотой 150 мм, крупностью 2 — 5 мм и высотой 100 мм, крупностью 5 — 10 мм. Объемный вес керамзита должен быть 600 — 800 кг/м3.
3.115. В нижней части слоя дробленого керамзита размещаются аэрационные трубопроводы диаметром 15 мм на расстоянии 200 мм друг от друга со щелевыми отверстиями толщиной 0,5 мм.
В нижнем поддерживающем слое гравия размещаются сборные дренажные трубопроводы диаметром 15 мм с обращенными вниз отверстиями диаметром 3 мм на расстоянии 30 мм друг от друга.
Ниже сборных дренажных трубопроводов (в плане между ними) размещаются аэрационные трубы, аналогичные трубам, размещаемым в керамзите.
3.116. Над загрузкой поддерживается слой фильтруемой сточной воды высотой 400 — 800 мм. В точке поступления сточной воды в фильтр путем капельного дозирования подается 5 %-ный раствор реагента (соль железа или алюминия) с дозой 10 — 20 мг/л no Fe203 или Al2О3.
Площадь фильтра выбирается исходя из скорости фильтрации 2 м/ч.
3.117. Через аэрационную систему, расположенную в загрузке из дробленого керамзита,
подается воздух с расходом 0,5 м3/(м2*ч).
Отфильтрованная сточная вода поступает на обеззараживание в емкость, в которой имеется хлор-патрон, и сбрасывается в водоем.
3.118. Периодически (1 раз в неделю) фильтр промывается за счет подачи фильтрованной воды с интенсивностью 15 л/(с*м2).
3.119. Применение физико-химической очистки допускается при возможности гарантированной поставки реагента и систематического обслуживания сооружений.
3.120. Применение схемы очистки сточных вод, изложенной в пп. 3.112 — 3.118, обеспечивает следующие показатели очищенной воды:
БПК5 — 8 — 10 мг/л;
взвешенные вещества — 3 — 5 мг/л;
фосфаты (Р206) — 1—2 мг/л.
4 . ТЕПЛОСНАБЖЕНИЕ И ВЕНТИЛЯЦИЯ
ОБЩИЕ ПОЛОЖЕНИЯ
4.1. Настоящий раздел Пособия разработан в развитие СНиП 2.04.05-91* «Отопление, вентиляция и кондиционирование», СНиП 2.04.01-85* «Внутренний водопровод и канализация зданий», СНиП 2.08.01-89* «Жилые здания» и распространяется на проектирование квартирных систем отопления и горячего водоснабжения индивидуальных, в том числе блокированных жилых домов, а также вентиляции этих домов.
4.2. Автономными (индивидуальными) системами теплоснабжения являются системы, при которых отсутствуют тепловые наружные сети, а выработка теплоты предназначена только для одного здания.
ОПРЕДЕЛЕНИЕ ТЕПЛОВОЙ МОЩНОСТИ СИСТЕМЫ ОТОПЛЕНИЯ
4.3. Расчетные потери теплоты, возмещаемые системой отопления Qот, Вт, определяются суммой потерь теплоты через ограждающие конструкции здания (трансмиссионные теплопотери) Qтр и расхода теплоты на подогрев вентиляционного воздуха Qв, уменьшенного на величину суммарных «бытовых» тепловыделений Qбыт.
К «бытовым» относятся тепловыделения от электробытовых и осветительных приборов, пищеприготовления, горячего водоснабжения и >людей, находящихся в квартире
, (5)
4.4. Трансмиссионные теплопотери, расход теплоты на нагрев вентиляционного воздуха, «бытовые» тепловыделения определяются по прил. 4 и п.3.2 СНиП 2.04.05-91* «Отопление, вентиляция и кондиционирование».
4.5. Расход теплоты на отопление за отопительный период ΣQ, Гдж, следует определять по расчетной формуле
, (6)
где Q — расчетный расход теплоты домом (сумма Qтр + Qв, Вт;
ti ср.от — средняя за отопительный период температура наружного воздуха, °С (принимается по СНиП 2.01.01-82 «Строительная климатология и геофизика»);
m — количество дней отопительного периода (продолжительность периода со среднесуточной температурой меньше 8 °С),
принимаемое по СНиП 2.01.01-82 «Строительная климатология и геофизика».
4.6. Среднечасовой расход теплоты на горячее водоснабжение Qтв.ср, Вт, с коэффициентом запаса 1,2 на остывание воды определяется по формуле
, (7)
где с — удельная массовая теплоемкость воды, равная 4187 Дж/(кг • °С);
а — расход воды на горячее водоснабжение при температуре 55 °С на 1 чел. в сут, л, принимается в зависимости от степени комфортности дома в соответствии с табл. 2;
n — число проживающих в доме.
Примечания: 1. Формула (7) справедлива при наличии единого на дом бака-аккумулятора на суточный расход горячей воды. При меньшем объеме бакааккумулятора значение бп>ц> увеличивается на отношение суточного расхода горячей воды к фактическому объему бака-аккумулятора.
2. При расчете годового расхода теплоты на горячее водоснабжение полученное по формуле (7) значение следует умножить на расчетное число суток в году
работы системы горячего водоснабжения.
ОПРЕДЕЛЕНИЕ ПОТРЕБНОЙ ТЕПЛОВОЙ МОЩНОСТИ ГЕНЕРАТОРОВ ТЕПЛОТЫ (КОТЛОВ) И ТЕПЛОВОГО ПОТОКА ОТОПИТЕЛЬНЫХ ПРИБОРОВ СИСТЕМ ОТОПЛЕНИЯ
4.7. В случаях, когда котел обеспечивает только отопительную нагрузку Qкот.отВт, его следует подбирать на тепловую мощность, определяемую по формуле (5) с коэффициентом 1,1.
, (8)
где Qв — определяется по прил. 10 СНиП 2.04. 05-91*.
4.8. При подборе двухфункционального котла, обеспечивающего нагрузку отопления и горячего водоснабжения, тепловая мощность котла определяется, если нагрузка горячего водоснабжения:
- не превышает 20 % отопительной нагрузки, потребная теплопроизводительность котла принимается по формуле (8);
- превышает 20 % отопительной нагрузки, потребная теплопроизводительность котла Qкот от+гв определяется по формуле
, (9)
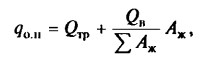
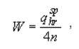
4.9. Расчетный тепловой поток устанавливаемого в отапливаемом помещении отопительного прибора доп, Вт, для жилых комнат определяется из формулы
, (10)
где Qтр — трансмиссионные теплопотери через ограждения данного отапливаемого помещения, Вт;
Аж — площадь данного жилого помещения, м2;
ΣAж — суммарная площадь всех жилых помещений дома, м2.
Для остальных отапливаемых помещений дома
, (11)
СИСТЕМЫ ОТОПЛЕНИЯ
Водяное отопление
4.10. Квартирные системы водяного отопления следует рассматривать в качестве приоритетных без ограничений по архитектурно-конструктивным особенностям дома и климатическим условиям района застройки.
4.11. При наличии надежного источника электроснабжения или индивидуального (дублирующего) электрогенератора системы квартирного водяного отопления следует предусматривать с насосным побуждением циркуляции. В этом случае систему отопления рекомендуется принимать двухтрубную вертикальную с однотрубной горизонтальной разводкой в пределах каждого этажа отапливаемого дома.
4.12. При отсутствии надежного электроснабжения квартирные системы водяного отопления следует проектировать с естественным побуждением. В этом случае следует предусматривать однотрубные вертикальные системы отопления с верхней разводкой подающей магистрали.
4.13. Расчетная температура теплоносителя в подающем трубопроводе системы отопления принимается не выше 95 °С, на выходе из системы отопления, как правило, не ниже 60 °С — для систем с естественной циркуляцией и не выше 80 °С — с механическим побуждением.
4.14. В качестве отопительных приборов рекомендуется использовать радиаторы или конвекторы различных конструкций, имеющих сертификат соответствия. При этом:
- полная высота отопительного прибора должна быть меньше расстояния от чистого пола до низа подоконной доски (или низа оконного проема при ее отсутствии) на величину не менее 110 мм;
- длина отопительного прибора должна быть 0,9 — 0,5 ширины оконных проемов отапливаемых помещений;
- отопительный прибор должен быть удобен в эксплуатации и, в первую очередь, доступен для очистки от пыли.
4.15. При разнообразии архитектурно-конструктивных решений отдельных отапливаемых помещений дома (например, наличие зимнего сада, бассейна и др.) допускается использование в одной системе отопления отопительных приборов различных типов.
4.16. На подводке к отопительному прибору следует предусматривать установку термостата или ручного регулировочного крана. В тех случаях, когда имеется опасность замораживания отопительного
прибора (например, прибор, устанавливаемый у входной двери), на обеих подводках к нему рекомендуется устанавливать запорные краны.
Установка у отопительных приборов систем отопления с механическим побуждением в качестве регулирующей арматуры автоматических терморегуляторов (термостатов) является предпочтительной и решается в техническом задании заказчика.
4.17. При использовании конвекторов с кожухом, конструкция которых позволяет уменьшать до 50 % тепловой поток конвектора воздушными клапанами, допускается не устанавливать регулирующие краны у конвекторов
4.18. При горизонтальной поэтажной разводке системы отопления один кран (автоматический терморегулятор) может устанавливаться на горизонтальном трубопроводе, обслуживающем одно помещение.
4.19. Размещение запорной и спускной арматуры должно обеспечивать возможность отключения и опорожнения системы и ее отдельных частей.
4.20. К насосам квартирных систем водяного отопления с механическим побуждением предъявляются следующие основные требования:
- надежность в эксплуатации;
- акустические характеристики, обеспечивающие в помещениях уровень звукового давления в соответствии с требованиями СНиП 11-12-77 «Защита от шума»;
- простота в монтаже и эксплуатации.
Как правило, следует применять малошумные бесфундаментные насосы (монтируемые непосредственно на трубопроводе) с числом оборотов не более 1450 об/мин.
4.21. В системах отопления с механическим побуждением следует предусматривать установку двух насосов (рабочего и резервного).
Допускается установка одного насоса при хранении резервного на складе с возможностью замены вышедшего из строя насоса в течение не более 3 ч.
4.22. Воздух из системы отопления с верхним розливом следует удалять с помощью проточных воздухосборников или в системах с естественным побуждением — расширительных сосудов, размещаемых в верхней ее части.
В системах отопления с нижней разводкой магистралей для удаления воздуха предусматривается установка воздуховыпускных кранов на нагревательных приборах верхних этажей (в горизонтальных системах — на каждом нагревательном приборе).
4.23. В системах отопления с механическим побуждением вместо открытого расширительного сосуда рекомендуется использовать пневмобак, размещаемый, как правило, в том же помещении, что и генератор теплоты (котел).
4.24. Опорожнение систем водяного отопления или их частей допускается только для производства ремонтных работ. Время от опорожнения до наполнения системы должно быть минимально необходимым.
Воздушное отопление
4.25. Квартирные системы воздушного отопления рекомендуется применять преимущественно в домах с повышенными требованиями к воздушно-тепловому комфорту. Системы воздушного отопления могут обеспечивать охлаждение воздуха в летний период.
4.26. Системы воздушного отопления могут использоваться в режиме рециркуляции воздуха из жилых помещений и совмещаться с вентиляцией.
4.27. Квартирные системы воздушного отопления, совмещенные с вентиляцией, должны позволять работать в режиме полной рециркуляции, если люди в квартире отсутствуют.
Дополнительный энергосберегающий эффект в воздушных системах отопления, совмещенных с вентиляцией, может быть достигнут при дополнении их оборудованием утилизации теплоты вытяжного воздуха.
4.28. Системы воздушного отопления следует проектировать с механическим побуждением движения воздуха.
4.29. Установка для подготовки воздуха в системе воздушного отопления должна включать воздухонагреватель, воздушный фильтр и систему клапанов для распределения воздушных потоков по отапливаемым помещениям.
При совмещении воздушного отопления с приточной вентиляцией дополнительная система клапанов должна обеспечивать перераспределение объемов наружного и рециркуляционного воздуха.
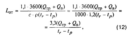
4.30. Количество воздуха, подаваемого воздушно-отопительным агрегатом L m , м3/ч, определяется следующей формулой:
, (12)
где tr — температура нагретого воздуха, поступающего в отапливаемые помещения, °С.
4.31. Нагретый воздух следует, как правило, подавать в верхнюю зону помещения плоской, настильной на потолок струей от внутренней перегородки по направлению к наружной стене.
4.32. Температура подаваемого воздуха в расчетном зимнем режиме при схеме подачи, предусмотренной п. 4.31, не должна превышать 45 °С.
В режиме охлаждения воздуха в летний период температура подаваемого воздуха должна быть ниже расчетной температуры внутреннего воздуха для теплого периода года не более чем на 6 С.
4.33. Воздушно-отопительный агрегат следует размещать в подвале дома. При отсутствии подвала или возможности его использования для размещения воздушно-отопительного агрегата последний следует размещать в одном из подсобных помещений первого этажа, по возможности на равном удалении в плане от отапливаемых помещений.
4.34. В системах воздушного отопления, совмещенных с приточной вентиляцией, забор наружного воздуха следует предусматривать через воздухозаборное приточное отверстие, размещенное на одном из дворовых фасадов дома на высоте не менее 2 м от планировочной отметки земли. Воздухозаборное отверстие должно быть защищено решеткой и снабжено закрывающимся утепленным клапаном.
4.35. В качестве источников теплоты для системы воздушного отопления следует использовать водогрейные котлы, электро- или газовые воздухонагреватели.
4.36. В тех случаях, когда система воздушного отопления совмещена с системой охлаждения воздуха, следует использовать тепловые насосы для охлаждения воздуха в теплое время года, либо для круглогодичного кондиционирования.
Электроотопление
4.37. Для применения систем электроотопления необходимо предварительное согласие энергоснабжающих организаций в установленном порядке на отпуск электроэнергии.
4.38. Относительно высокая стоимость электроэнергии предопределяет целесообразность повышения теплозащитных показателей наружных ограждений дома, значения которых определяются технико-экономическим расчетом.
4.39. По степени обеспечения надежности электроснабжения системы электроотопления следует относить к электроприемникам не ниже второй категории.
4.40. По режимам потребления электроэнергии и конструктивному исполнению системы электрического отопления подразделяются на системы:
- свободного (круглосуточного) потребления электроэнергии;
- периодические или теплоаккумуляционные с основным потреблением энергии в часы «провалов» графика нагрузки энергосистем;
- комбинированные, представляющие собой различные варианты сочетаний перечисленных систем;
- комплексные, представляющие собой различные варианты сочетаний систем электроотопления с системами отопления других типов.
4.41. Теплоаккумуляционные системы электрического отопления целесообразно использовать при наличии двух-, многоставочных тарифов на электроэнергию. При этом различие в тарифах на «пиковую» и «провальную» электроэнергию должно компенсировать удорожание отопительной системы, включая все связанные с увеличением мощности ввода затраты, определяемые технико-экономическим расчетом.
4.42. При отсутствии двухставочного тарифа следует применять систему электрического отопления со свободным графиком потребления электроэнергии. В этом случае во всех отапливаемых помещениях устанавливаются электроотопительные приборы:
электрорадиаторы прямого обогрева, встроенные в строительные конструкции нагревательные кабели, подключаемые к самостоятельной электросети с защитными устройствами и отдельным электросчетчиком.
4.43. При наличии двухставочного тарифа рекомендуется предусматривать комбинированную систему электроотопления с аккумуляцией теплоты в ограждающих конструкциях (преимущественно пола) путем закладки в них базовой группы нагревательных кабелей или в элекгроаккумуляционнных печах. При этом аккумуляционная система должна рассматриваться в качестве «фоновой», обеспечивающей 70 — 75 % суточной отопительной нагрузки дома.
В качестве доводчиков, устраняющих колебания температуры воздуха в течение суток, следует предусматривать установку в отапливаемых помещениях электрических радиаторов, конвекторов или доводочной группы нагревательных кабелей, рассчитанных на 25 — 30 % теплопотерь соответствующих помещений.
4.44. Температура поверхности электрорадиаторов прямого обогрева не должна превышать 95 °С.
Средняя температура на поверхности ограждающих конструкций отапливаемых помещений с размещенным в них нагревательным кабелем не должна превышать величин, регламентируемых п.3.16 СНиП 2.04.05-91*.
4.45. Кабельные системы обогрева должны включать:
- кабельные нагревательные секции, состоящие из собственно нагревательного экранированного кабеля, соединенного с двух сторон с монтажными концами для подвода напряжения и заземления (зануления), причем место соединения должно быть заключено в герметичную муфту;
- терморегулятор с термодатчиком и аппаратуру защиты от перегрузок и коротких замыканий.
Допускается применение неэкранированного кабеля только в случае его укладки на заземленную (зануленную) металлическую сетку и при условии, что схема питания содержит устройство защитного отключения.
4.46. В помещениях, где возможно сильное увлажнение или повреждение полов, должен применяться нагревательный кабель с экраном, подключенным к заземлению или нейтральному проводу, с целью предотвращения выноса потенциала на поверхность пола.
4.47. Одной кабельной нагревательной секцией обогревать полы нескольких помещений не рекомендуется.
4.48. Нагревательный кабель целесообразно замоноличивать в теплопроводные цементнопесчаные растворы или укладывать в воздушной прослойке строительной конструкции.
Толщину замоноличивающего слоя и воздушной прослойки не рекомендуется принимать менее 40 мм.
4.49. Используемые в системах электроотопления радиаторы и конвекторы, а также кабельные системы отопления должны иметь терморегуляторы с чувствительностью (точностью регулирования) не менее ± 1 °С.
4.50. Применение электрокотлов для нагрева теплоносителя водяных систем отопления требует обоснования и, как правило, может предусматриваться при условии установки бака-аккумулятора и наличии двухставочных тарифов на электроэнергию.
4.51. Электрокотлы должны устанавливаться на бетонную подставку.
В случае установки на деревянное основание под ножки котла укладываются прокладки из теплоизолирующего негорючего материала.
4.52. При применении систем электроотопления следует соблюдать требования действующих нормативных документов по устройству электроустановок: «Правила технической эксплуатации» и «Правила техники безопасности электроустановок потребителей» (ПТЭ ПТБ).
Печное отопление
4.53. При устройстве печного отопления следует руководствоваться СНиП 2.04.05-91* и «Правилами производства работ и ремонта печей, дымоходов и газоходов» (см. прил. 4)
4.54. Печное отопление допускается предус матривать при обосновании в жилых домах высотой до двух этажей. В обосновании должны быть сформулированы экономические, технические и эксплуатационные факторы, препятствующие применению других систем отопления.
Примечание. Одним из факторов, обосновывающих применение печного отопления, является наличие дешевого низкосортного твердого топлива.
4.55. Для уменьшения колебаний температуры воздуха в отапливаемых помещениях целесообразно предусматривать установку в них электрических приборов-доводчиков в соответствии с положениями раздела «Электроотопление».
Электрические нагревательные приборы могут быть использованы и для обогрева отдельных помещений дома с печным отоплением (например, ванных комнат).
4.56. В жилых домах с печным отоплением следует проектировать теплоемкие печи умеренного и повышенного прогрева.
При проектировании должна быть рассмотрена целесообразность использования комбинированных печей, предназначенных одновременно для отопления помещений, приготовления
пищи и (или) подогрева воды для нужд горячего водоснабжения путем включения в конструкцию печи «водогрейной коробки».
ГОРЯЧЕЕ ВОДОСНАБЖЕНИЕ
4.57. Подогрев воды для горячего водоснабжения следует предусматривать в двухфункциональных (отопление и горячее водоснабжение) котлах, емкостных водонагревателях, работающих
от отопительных котлов, или в газовых и электрических водонагревателях.
Отбор воды для нужд горячего водоснабжения из квартирно
4.58. Циркуляционный трубопровод в квартирных системах горячего водоснабжения можно не предусматривать.
4.59. В квартирных системах горячего водоснабжения с нагревом воды в двухфункциональном котле рекомендуется предусматривать установку теплоизолированного бака-аккумулятора
горячей воды.
Емкость бака-аккумулятора принимается не менее 50 % суточной потребности в горячей воде.
4.60. Температура воды в баке-аккумуляторе должна быть по возможности максимальной, но не превышать 75 °С.
4.61. В зависимости от схемно-конструктивного решения систем водоснабжения дома бакиаккумуляторы следует предусматривать напорными, работающими по принципу вытеснения горячей
воды холодной, или безнапорными (открытыми).
4.62. Электроводонагреватели следует использовать преимущественно емкостные, устанавливаемые, как правило, в местах водоразбора. Возможно использование одного водонагревателя для двух и более точек водоразбора.
При аккумуляционном варианте электроотопления дома возможно применение одного на дом водонагревателя, емкость которого принимается равной суточной потребности дома в горячей воде (с
учетом температуры аккумулируемой горячей воды).
4.63. В южных районах России, расположенных южнее 50 °С северной широты, подогрев воды для нужд горячего водоснабжения может быть осуществлен за счет использования солнечной энергии.
В этом случае следует использовать активную систему нагрева с солнечными коллекторами, преобразующими солнечную энергию в тепловую, и бак-аккумулятор горячей воды.
Примечание. Активная система солнечного теплоснабжения может быть использована и для частичного покрытия отопительной нагрузки.
4.64. В зависимости от уровня обеспечиваемого в доме комфорта система солнечного горячего водоснабжения может быть единственной или дублироваться другими источниками нагрева воды, рекомендуется рассматривать вариант размещения в баке-аккумуляторе электроподогрева, включаемого при падении температуры воды в баке ниже 50 °С.
4.65. Трубопроводы квартирных систем горячего водоснабжения следует проектировать из стальных оцинкованных труб, труб из полимерных материалов, разрешенных к применению в системах питьевого водопровода органами санитарного надзора.
ИСТОЧНИКИ АВТОНОМНОГО (ДЕЦЕНТРАЛИЗОВАННОГО) ТЕПЛОСНАБЖЕНИЯ И ИХ РАЗМЕЩЕНИЕ
4.66. В качестве источников тепловой энергии должны применяться автоматизированные теплогенераторы полной заводской готовности с температурой теплоносителя — воды до 115 °С и давлением теплоносителя до 1,0 МПа отечественного или зарубежного производства, имеющие разрешение на их применение в установленном порядке.
4.67. В качестве топлива для котлов следует принимать природный газ по ГОСТ 5542— 87, печное бытовое топливо (ТУ 38-101656-76), осветительный керосин (ГОСТ 4753—68 с изм.) или каменные угли в соответствии с технической документацией на котлы.
4.68. Котлы, работающие на газообразном или жидком топливе, должны в обязательном порядке быть оборудованы автоматикой безопасности и регулирования.
Поддержание температурного режима в этих котлах должно обеспечивать изменение температуры воды, поступающей в систему отопления, в зависимости от текущей температуры наружного воздуха или температуры внутреннего воздуха представительного отапливаемого помещения дома.
Кроме того, должна обеспечиваться заданная температура воды, поступающей в систему горячего водоснабжения (в бак-аккумулятор или непосредственно на водоразбор).
При отсутствии автоматизации температурного режима в конструкции котлов на твердом топливе эта автоматизация должна, как правило, предусматриваться непосредственно в системах
отопления при их проектировании.
4.69. Размещение тепловых агрегатов предусматривается:
- на кухне — при мощности котла до 60 кВт независимо от наличия газовой плиты и газового водонагревателя;
- в отдельном помещении на любом этаже (в том числе в подвальном или цокольном) — при их суммарной мощности для систем отопления и горячего водоснабжения до 150 кВт;
- в отдельном помещении первого или цокольного этажа, а также в помещении, пристроенном к жилому дому, — при их суммарной мощности для системы отопления и горячего водоснабжения до 500 кВт.
4.70. Решение о строительстве одноквартирного, в том числе блокированного, жилого здания с размещением в нем тепловых агрегатов на газе принимается при наличии у заказчика документа от специализированной организации о принятии теплогенераторов на сервисное обслуживание.
4.71. Тепловые агрегаты должны предназначаться для теплоснабжения только одноквартирного дома или квартиры блокированного дома.
4.72. Проект одноквартирного или блокированного жилого дома должен быть выполнен в соответствии с требованиями НПБ 106-95.
4.73. При размещении в кухне газовой плиты, проточного водонагревателя для горячего водоснабжения и теплового агрегата для отопления мощностью до 60 кВт помещение кухни должно отвечать следующим требованиям:
- высота не менее — 2,5 м;
- объем помещения — не менее 15 м3 плюс 0,2м3 на 1 кВт мощности теплового агрегата для отопления;
- в кухне должна предусматриваться вентиляция из расчета: вытяжка в объеме 3-кратного воздухообмена помещения в час, приток в объеме вытяжки плюс количество воздуха на горение газа (при заборе воздуха на горение из помещения);
- кухня должна иметь окно с форточкой. Для притока воздуха следует предусматривать в нижней части двери решетку или зазор с живым сечением не менее 0,025 м2.
4.74. При размещении тепловых агрегатов суммарной мощностью до 150 кВт в отдельном помещении, расположенном на любом этаже жилого здания, помещение должно отвечать следующим требованиям:
- высота — не менее 2,5 м;
- объем и площадь помещения — из условий удобного обслуживания тепловых агрегатов и вспомогательного оборудования, но не менее 15 м3;
- помещение должно быть отделено от смежных помещений ограждающими стенами с пределом огнестойкости 0,75 ч, а предел распространения огня по конструкции равен нулю;
- естественное освещение — из расчета остекления 0,03 м2 на 1 м3 помещения;
- в помещении должна предусматриваться вентиляция из расчета: вытяжка в объеме 3-кратного воздухообмена помещения в час, приток в объеме вытяжки плюс количество воздуха на горение газа (при заборе воздуха на горение из помещения).
4.75. При размещении теплогенераторов в отдельном помещении на первом, в цокольном или подвальном этаже оно должно иметь выход непосредственно наружу. Допускается предусматривать второй выход в помещение подсобного назначения, дверь при этом должна быть противопожарной 3-го типа.
4.76. Дымоходы от котлов должны выполняться в соответствии с требованиями СНиП 2.04.05-91*.
Дымоходы могут выполняться в пределах дома или быть пристроенными вне его. Присоединение котлов к дымоходам осуществляется трубами, изготавливаемыми из кровельной стали толщиной не менее 1 мм, или унифицированными элементами, поставляемыми в комплекте с котлом. Конструкции дымоходов также могут быть промышленного изготовления и поставляться в комплекте с котлом.
Дымоходы вне дома должны быть теплоизолированы по всей длине.
4.77. Проектирование газоснабжения тепловых агрегатов, использующих в качестве топлива природный газ, следует осуществлять в соответствии с требованиями СНиП 2.04.08-87* и
«Правил безопасности в газовом хозяйстве».
4.78. Подача природного газа должна осуществляться от газопровода с давлением до 3 кПа.
4.79. Ввод газопровода следует предусматривать непосредственно в помещение, где установлены тепловые агрегаты.
4.80. На вводном газопроводе в пристраиваемое помещение следует предусматривать отключающее устройство, срабатывающее при прекращении подачи электроэнергии.
ВЕНТИЛЯЦИЯ
4.81. В индивидуальных жилых домах должна предусматриваться система вентиляции:
- удаление воздуха осуществляется непосредственно из зоны вспомогательных помещений, т.е. из кухни и санитарных помещений (ванная комната, душевая, туалет), а также из котельной, как правило, с естественным побуждением канальной вытяжной вентиляции;
- приток наружного воздуха осуществляется через открывающиеся форточки (периодическое или постоянное проветривание), через неплотности наружных ограждений, главным образом оконного заполнения (инфильтрация) или через специальные приточные устройства (приточный шкаф с естественным побуждением, автономный кондиционер и др.).
Неподогретый наружный приточный воздух должен подаваться в верхнюю зону помещения.
4.82. Внутренние двери жилых комнат, двери кухни и санитарных помещений должны иметь зазор снизу дверного полотна не менее чем 0,02 м для перетекания воздуха.
4.83. Естественная вытяжная вентиляция санитарных помещений и кухни может быть дополнена механической вытяжкой, вентиляцией периодического действия с помощью бытовых вентиляторов, устанавливаемых в вытяжные каналы и включаемых при необходимости.
4.84. Нормируемое количество удаляемого вытяжной вентиляцией воздуха принимается по СНиП 2.08.01-89*.
Дисбаланс между расчетными объемами приточного и удаляемого воздуха компенсируется при:
- превышении вытяжки над притоком — путем периодического открывания форточки, приточных устройств на наветренном фасаде дома и нагревом наружного воздуха за счет теплоты от систем отопления;
- превышении притока над вытяжкой— то же, что и в первом варианте, но на заветренном фасаде.
4.85. Расчетными для проектирования естественной вытяжной вентиляции являются условия:
температура наружного воздуха +5 °С, безветрие, температура внутреннего воздуха равна расчетной, фрамуги окон открыты (т.е. аэродинамическое сопротивление в расчете не учитывается). При указанных условиях рассчитывается сечение вытяжных каналов.
4.86. Производительность вытяжной вентиляции в теплый период года не нормируется.
4.87. Вытяжные каналы следует выполнять в соответствии с требованиями СНиП 2.04.05-91*.
4.88. Для осуществления организованного притока наружного воздуха в помещениях жилых домов рекомендуется применять регулируемые приточные устройства, которые должны обеспечивать:
- отсутствие дискомфорта из-за температуры и подвижности воздуха в зоне обитания;
- герметичность клапана устройства в закрытом положении;
- термическое сопротивление клапана приточного устройства — не менее термического сопротивления оконного заполнения;
- возможность плавного регулирования во всем диапазоне: от полностью открытого до полностью закрытого положения.
4.89. В качестве одного из возможных вариантов приточные устройства по п.4.90 рекомендуется выполнять в виде горизонтальной щели шириной 15 мм в верхней уширенной обвязке оконной коробки с клапаном на нижнем подвесе.
Длина такого приточного устройства на 200 мм меньше длины оконного блока.
Клапан должен иметь уплотняющую прокладку, например, из пенополиуретана или пенорезины и перекрывать щель на 15 мм с каждой стороны.
5. ГАЗОСНАБЖЕНИЕ
ОБЩИЕ ПОЛОЖЕНИЯ
5.1. Настоящий раздел распространяется на проектирование автономных систем газоснабжения индивидуальных жилых домов как отдельно стоящих, так и блокированных.
Системы газоснабжения называются автономными, если они проектируются на базе индивидуальных баллонных или резервуарных установок сжиженного газа.
5.2. При проектировании автономных систем газоснабжения индивидуальных жилых домов, как отдельно стоящих, так и блокированных, рекомендуется использовать альбом «Автономные системы инженерного оборудования одноквартирных и блокированных жилых домов. Технические решения», разработанный Торговым Домом «Инженерное оборудование».
5.3. Применяемый и поставляемый потребителям сжиженный углеводородный газ (СУГ) должен соответствовать ГОСТ 20448— 90 «Газы углеводородные сжиженные топливные для коммунально-бытового потребления. Технические условия».
5.4. Разрешение на газификацию индивидуальных жилых домов выдают эксплуатационные организации газового хозяйства по заявлению владельца дома.
5.5. При газификации сжиженным газом от индивидуальных газобаллонных установок изготавливаются эскизы, представляющие собой поэтажные планы домов в масштабе 1 : 100 или 1 : 200 с указанием на них расположения баллонов (шкафа), плиты и газопровода.
Эскизы составляются в двух экземплярах и представляются домовладельцем в предприятие газового хозяйства перед обследованием для определения возможности газификации при выдаче разрешений.
Один экземпляр эскиза остается в эксплуатационной организации, а второй передается владельцу дома для представления монтажникам вместо проекта.
Строительство резервуарной установки сжиженного газа выполняется специализированной организацией на основании проектной документации.
НОРМЫ И РАСЧЕТНЫЕ РАСХОДЫ ГАЗА
5.6. Годовые расходы сжиженного газа населением следует определять по нормам расхода газа в соответствии со СНиП 2.04.08-87* «Газоснабжение» (извлечения из СНиП приведены в табл. 5).
5.7. Годовые расходы теплоты на приготовление кормов и подогрев воды для животных следует принимать по табл. 6.
5.8. Для индивидуальных жилых домов расчетный часовой расход газа Qhd, кг/ч, следует определять по сумме номинальных расходов газа газовыми приборами с учетом коэффициента одновременности их действия по формуле
, (13)
где Σ — сумма произведений величин Кsim, qnom и n от i до m
Ksim — коэффициент одновременности, значение которого можно принимать для жилых домов по справочному прил. 3 СНиП 2.04.08-87* (в табл. 7 приведены извлечения из прил. 3);
qnom — номинальный расход газа прибором или группой приборов, кг/ч, принимаемый по паспортным данным;
ni — число однотипных приборов или групп приборов;
m — число типов приборов или групп приборов.
Таблица 5
| Потребители газа | Показатель потребления газа | Нормы расхода теплоты, МДж (тыс. ккал) |
|---|---|---|
| 1. При наличии в квартире газовой плиты и централизованного горячего водоснабжения | На 1 чел. в год | 2540 (610) |
| 2. При наличии в квартире газовой плиты и газового водонагревателя (при отсутствии централизованного горячего водоснабжения) | То же | 7300 (1750) |
| 3. При наличии в квартире газовой плиты и отсутствии централизованного горячего водоснабжения и газового водонагревателя | » | 4240 (1050) |
Таблица 6
| Назначение расходуемого газа | Расход газа на любое животное | Нормы расхода теплоты на нужды животных, МДж (тыс. ккал) |
|---|---|---|
| 1. Приготовление кормов для животных с учетом запаривания грубых кормов и корне-, клубнеплодов | лошадь | 1700 (400)|
| корова | 8400 (2000) | |
| свинья | 4200 (1000)||
| 2. Подогрев воды для питья и санитарных целей | на 1 животное | 420 (100) |
Значения коэффициента одновременности для отдельно стоящих и блокированных жилых домов
Таблица 7
| Число домов (квартир) | Коэффициент одновременности в зависимости от типа установленного газового оборудования* | |||
|---|---|---|---|---|
| Плита 4-конфорочная | Плита 2-конфорочная | Плита 4-конфорочная и газовый проточный водонагреватель | Плита 2-конфорочная и газовый проточный водонагреватель | |
| 1 | 1 | 1 | 0,70 | 0,75 |
| 2 | 0,65 | 0,84 | 0,56 | 0,64 |
| 3 | 0,45 | 0,73 | 0,48 | 0,52 |
| 4 | 0,35 | 0,59 | 0,43 | 0,39 |
* Для 2-, 3- и 4-квартирных домов коэффициент одновременности приводится для случая, когда газоснабжение осуществляется от общей резервуарной установки.
5.9. Расчетный часовой расход теплоты на горячее водоснабжение жилого дома следует определять исходя из расхода воды приборами, приведенными в СНиП 2.04.01-85* (см. разд. 4 настоящего Пособия).
СИСТЕМЫ ГАЗОСНАБЖЕНИЯ
5.10. Выбор системы газоснабжения для индивидуального жилого дома на базе сжиженного газа определяется объемом газопотребления, конкретными условиями доставки газа и материальными возможностями владельца дома.
ИНДИВИДУАЛЬНЫЕ БАЛЛОННЫЕ УСТАНОВКИ
5.11. При использовании газа только на приготовление пищи для большинства 1-, 2-этажных жилых домов целесообразно применение индивидуальных газобаллонных установок, состоящих не более чем из двух баллонов.
Наружные газобаллонные установки характеризуются более низкими показателями надежности газоснабжения по сравнению с внутриквартирными, кроме южных районов страны, которые
в зимний период не обеспечивают требуемый уровень гарантийного снабжения газом.
5.12. Экономическая эффективность баллонного газоснабжения в значительной степени зависит от плотности газопотребления, расстояния от газонаполнительной станции (ГНС) до потребителя, мощности ГНС, типа автодорог. При этом, чем меньше расстояние до ГНС и больше ее мощность, лучше качество дорог, тем эффективнее баллонное газоснабжение.
5.13. Индивидуальные баллонные установки СУГ должны размещаться в жилом доме в соответствии с требованиями СНиП 2.04.08-87* «Газоснабжение».
5.14. Баллоны сжиженного газа, размещаемые внутри дома, устанавливаются только в помещениях, где находятся газовые приборы.
5.15. Установка баллонов с газом в жилом доме не допускается в:
- жилых комнатах;
- цокольном и подвальном этажах;
- помещениях без естественного освещения;
- помещениях, под которыми имеются подвалы.
5.16. Снаружи здания баллонные установки размещают в металлических шкафах, которые крепятся снаружи у стен здания. Шкафы для баллонов устанавливают на прочное несгораемое основание.
Шкаф крепится к стене здания металлическими скобами или специальными костылями.
Высота основания под шкаф должна быть не менее 0,1 м от уровня земли.
5.17. Расстояние от баллона до газовой плиты следует принимать не менее 0,5 м, до приборов отопления или печи — 1 м, до топочных дверок печи — 2 м. Расстояние от баллонов до отопительных приборов допускается уменьшать до 0,5 м при установке экрана, предохраняющего баллон от нагревания.
5.18. Баллоны газобаллонных установок должны заменять работники газовых хозяйств.
Допускается замена баллонов абонентами, прошедшими практическое обучение и получившими разрешение предприятия газового хозяйства на проведение этих работ.
ИНДИВИДУАЛЬНЫЕ РЕЗЕРВУАРНЫЕ УСТАНОВКИ
5.19. Индивидуальные резервуарные установки сжиженного газа, состоящие из одного резервуара, рекомендуются при использовании газа, кроме пищеприготовления, на горячее водоснабжение, отопление жилого дома, теплиц.
Независимо от направления использования газа резервуарное газоснабжение целесообразно также при больших расстояниях от ГНС до потребителей (более 100 км) и плохом состоянии дорог.
5.20. В качестве резервуарных установок, используемых для снабжения индивидуальных жилых домов сжиженным газом, рекомендуется применять подземные резервуары вместимостью не более 5,0 м3 с естественным или искусственным испарением. Резервуарные установки с естественным испарением имеют ограниченное распространение. Применение их целесообразно в климатических подрайонах ШБ и IVB.
5.21. При определении расчетной производительности подземного резервуара рекомендуется принимать наихудшие условия времени года,
когда температура окружающего грунта будет минимальной (температуру грунта см. в Справочнике по климату СССР, ч. II /Гидрометеоиздат,—Л., 1966).
5.22. Снабжение одноквартирного или блокированного жилого дома от резервуарной установки с одним резервуаром может быть осуществлено по типовому проекту 905-1-39.88. Установка состоит из одного подземного резервуара объемом 5 м3 с модернизируемой арматурной головкой ГР-10 и электрическим испарителемприставкой.
Испаритель оснащен автоматикой безопасности, расположенной в электрошкафу для пусковой и регулирующей аппаратуры.
5.23. Подземные резервуары следует устанавливать на глубине не менее, м:
- 0,6 от поверхности земли до верхней образующей резервуара — в районах с сезонным промерзанием грунта;
- 0,2 — в районах без промерзания грунта.
Резервуары должны устанавливаться с уклоном 2 — 3 % в сторону сливного патрубка.
5.24. Индивидуальная резервуарная установка может размещаться на участке дома.
При этом расстояние от резервуара до жилого дома без проемов в стенах, обращенных к установке, должно быть не менее 8 м, а с проемами в стенах, обращенных к установке, — не менее 10 м.
Резервуарная установка должна иметь ограждение высотой не менее 1,6 м из негорючих материалов.
Расстояние от резервуара до ограждения следует предусматривать не менее 1 м.
5.25. Резервуары должны устанавливаться, как правило, непосредственно на грунт.
Устройство фундаментов для резервуаров следует предусматривать при неблагоприятных условиях, например, при наличии грунтовых вод.
Засыпку резервуаров следует предусматривать песчаным или глинистым грунтом, не имеющим в своем составе органических примесей.
Площадка резервуарной установки должна иметь ящик с песком объемом 0,5 м3, лопаты и асбестовое полотно размером 2 х 2 м.
5.26. При размещении подземных резервуаров в пучинистом грунте последний должен быть заменен песчаным на глубину промерзания, а в местах с высоким стоянием грунтовых вод следует предусматривать решения по предотвращению всплытия резервуаров.
5.27. Подземные резервуары и газопроводы следует защищать от коррозии в соответствии с требованиями ГОСТ 9.602—89.
НАРУЖНЫЕ ГАЗОПРОВОДЫ
5.28. Прокладку подземных газопроводов низкого давления от резервуарных установок сжиженного газа следует предусматривать в соответствии с требованиями СНиП 2.04.08-87*.
5.29. Для прокладки газопроводов следует применять стальные трубы, руководствуясь разд. 11 и прил. 1* СНиП 2.04.08-87* «Газоснабжение».
Для газопроводов жидкой фазы СУГ следует применять, как правило, бесшовные трубы. Допускается применение электросварных труб. При этом трубы диаметром до 50 мм должны пройти 100%-ный контроль сварного шва неразрушающими методами, а трубы диаметром 50 мм и более также и испытание сварного шва на растяжение.
5.30. Вводы газопроводов в здания следует выполнять цокольными непосредственно в помещения, где установлены газовые приборы, и утепленными. В местах прохода через наружные стены зданий газопроводы заключаются в футляры.
Пространство между стеной и футляром следует заделывать на всю толщину пересекаемой конструкции. Концы футляра уплотняют эластичным материалом.
ГАЗООБОРУДОВАНИЕ ЖИЛЫХ ДОМОВ
5.31. Внутренним газопроводом считается газопровод, прокладываемый на участке от вводного газопровода, т.е. от отключающего устройства, которое располагается снаружи здания, до места подключения его к газовым приборам, аппаратам, котлам.
5.32. Прокладку газопроводов в жилых домах следует предусматривать открытой по нежилым помещениям. Прокладка стояков газопроводов в жилых комнатах и санитарных узлах не допускается.
5.33. Соединение труб следует предусматривать, как правило, на сварке. Разъемные (резьбовые и фланцевые) соединения допускается предусматривать только в местах установки запорной арматуры, газовых приборов, КИП, регуляторов давления и другого оборудования.
Установку разъемных соединений газопроводов следует предусматривать в местах, доступных для осмотра и ремонта.
УСТАНОВКА ГАЗОВЫХ ПРИБОРОВ
5.34. Газовые приборы должны устанавливаться в соответствии с требованиями СНиП по проектированию газоснабжения и «Инструкции по размещению тепловых агрегатов, предназначенных для отопления и горячего водоснабжения одноквартирных или блокированных жилых домов», принятой Минстроем России.
5.35. При использовании индивидуальных газобаллонных установок сжиженного газа целесообразна установка комбинированных электрогазовых плит.
Внутренний объем помещений кухонь, м3, и количество воздуха, удаляемого из помещения кухни, м3/ч, в зависимости от типа установленной газовой плиты должны приниматься в соответствии с данными табл. 8.
5.36. Установку газовых отопительных теплогенераторов следует предусматривать, как правило, в отдельном помещении (топочной) на любом этаже при их суммарной мощности для систем отопления и горячего водоснабжения до 150 кВт включительно.
Не допускается размещение газовых приборов в подвалах и цокольных этажах дома при использовании сжиженного газа.
В отдельном помещении первого этажа, а также в помещении, пристроенном к жилому дому, разрешается установка тепловых генераторов при их суммарной мощности до 350 кВт включительно.
Размещение отопительного теплогенератора на кухне разрешается при его мощности не более 60 кВт включительно независимо от наличия газовой плиты и газового водонагревателя.
5.37. При размещении теплогенераторов суммарной мощностью до 150 кВт в отдельном помещении, расположенном на любом этаже жилого дома, помещение должно отвечать следующим требованиям:
- высота — не менее 2,5 м;
- объем и площадь помещения — из условий удобного обслуживания теплогенераторов и вспомогательного оборудования, но не менее 15 м3;
- помещение должно быть отделено от смежных помещений ограждающими стенами с пределом огнестойкости 0,75 ч, а предел распространения огня по конструкции равен нулю;
- естественное освещение-из расчета остекления 0,03 мг на 1 м3 помещения.
В помещении должна предусматриваться вентиляция из расчета: вытяжка в объеме 3-кратного воздухообмена помещения в час, приток — в объеме вытяжки плюс количество воздуха на горение газа.
5.38. При размещении теплогенераторов в отдельном помещении на первом этаже оно должно иметь выход непосредственно наружу. Д опускается предусматривать второй выход в помещение подсобного назначения, дверь при этом должна быть противопожарной 3-го типа.
5.39. При размещении в кухне газовой плиты, проточного водонагревателя для горячего водоснабжения и отопительного теплогенератора
мощностью до 60 кВт ее объем должен быть не менее 15 м3 плюс 0,2 м3 на 1 кВт мощности теплогенератора, а высота — не менее 2,5 м.
Кухня должна иметь окно. Для притока воздуха следует предусматривать в нижней части двери решетку или зазор с живым сечением не менее 0,025 м2.
Вентиляция помещения должна отвечать требованиям п. 5.37.
Примечание. При установке в кухне газовой плиты и проточного водонагревателя дополнительного увеличения объема помещения не требуется.
5.40. Газовые проточные водонагреватели для горячего водоснабжения устанавливают на стенах из негорючих материалов на расстоянии не менее 2 см от стены.
Отопительные теплогенераторы следует устанавливать у стен из негорючих материалов на расстоянии не менее 10 см от стены.
Требования к помещениям, где устанавливаются газовые приборы (плиты, водонагреватели, отопительные котлы, камины, калориферы и др.), изложены в Извлечениях к СНиП 2.04.08-87* .
5.41. В случае использования сжиженного газа от резервуарных емкостей на несколько индивидуальных домов вопрос об установке газовых счетчиков решается по взаимной договоренности между владельцами этих домов.
При установке газовых счетчиков рекомендуется пользоваться нормалью на установку мембранных и диафрагменных газовых бытовых счетчиков, разработанной АО «Росгазификация».
ОТВОД ПРОДУКТОВ СГОРАНИЯ
5.42. Продукты сгорания от бытовых газовых приборов (водонагреватели, котлы, печи) отводятся по обособленному дымоходу в атмосферу.
Таблица 8
| Тип газовой плиты | Объем помещений кухонь, не менее, м3 | Кратность воздухообмена или количество удаляемого воздуха из помещения, не менее, м3/ч |
|---|---|---|
| 1. Газовая 2-конфорочная | 8 | 60 |
| 2. Газовая 3-конфорочная | 12 | 75 |
| 3. Газовая 4-конфорочная | 15 | 90 |
Дымоходы выполняются из обожженного красного кирпича, а также из блоков, изготовленных из несгораемых материалов.
5.43. Присоединение газопотребляющих приборов к дымоходам следует предусматривать трубами из кровельной стали.
Требования к отводу продуктов сгорания изложены в прил. 4.
6. ЭЛЕКТРОСНАБЖЕНИЕ
ОБЩИЕ ПОЛОЖЕНИЯ
6.1. Автономной системой электроснабжения называется совокупность электроустановок на базе автономных источников электрической энергии и предназначенных для обеспечения ею местных потребителей.
6.2. Автономным источником электроэнергии называется энергетическая установка, предназначенная для выработки электрической энергии и не входящая в состав энергетической системы.
В настоящем Пособии рассматриваются автономные источники электроэнергии мощностью, кВт:
2 — 16 — дизельные электрические агрегаты (ДЭС);
0,5 — 16 — ветроэлектрические установки (ВЭУ);
до 5 — солнечные установки с фотоэлектрическими элементами (СФУ).
6.3. Автономные системы электроснабжения для индивидуальных жилых домов рекомендуется применять в следующих случаях:
- при отсутствии централизованного электроснабжения;
- при отсутствии возможности присоединения к централизованной системе электроснабжения;
- в качестве резервной системы электроснабжения.
6.4. Проектирование автономных систем электроснабжения и электрооборудования жилых домов должно выполняться в соответствии с настоящим Пособием, ГОСТ Р505 71.1 «Электроустановки зданий. Основные положения», ГОСТ 23274 «Здания мобильные (инвентарные). Электроустановки. Общие технические условия», Правилами устройства электроустановок (ПУЭ), руководящими материалами и Инструкцией по электроснабжению индивидуальных жилых домов, коттеджей, дачных (садовых) домов и других частных сооружений, разработанными Госэнергонадзором.
6.5. При проектировании автономных систем электроснабжения жилых домов рекомендуется использовать альбом «Автономные системы инженерного оборудования одноквартирных и блокированных жилых домов. Технические решения».
6.6. Для применения в электрических установках допускаются оборудование и материалы, выпускаемые как отечественной промышленностью, так и инофирмами.
При этом оборудование и материалы, выпускаемые отечественной промышленностью, должны соответствовать требованиям государственных и отраслевых стандартов и техническим условиям на изготовление, утвержденным в установленном порядке, и быть включенными в соответствующие реестры, разрешающие их применение.
Документами, подтверждающими пригодность импортных материалов и оборудования, применяемых в строительстве, являются Техническое свидетельство или Сертификат соответствия, выданные в установленном порядке.
6.7. Конструкция, исполнение, установка, класс изоляции и степень защиты электрооборудования должны соответствовать номинальному напряжению сети и условиям окружающей среды (температура, влажность, агрессивность и т.д.).
6.8. Электроснабжение жилого дома должно осуществляться при напряжении 220 В однофазном или 380 В трехфазном переменном токе частотой 50 Гц.
6.9. В автономных системах электроснабжения следует предусматривать технические мероприятия по обеспечению качества электрической энергии согласно требованиям ГОСТ 13109— 87* «Электрическая энергия. Нормы качества электрической энергии у ее приемников, присоединенных к электрическим сетям общего назначения».
6.10. Для получения разрешения на использование автономного источника электроэнергии потребитель должен обратиться с заявкой в органы местной администрации.
В заявке следует указать:
наименование объекта и его месторасположение;
расчетную нагрузку, кВт; тип, мощность и место размещения автономного источника электроэнергии; уровень шума, производимого автономным источником электроэнергии; месторасположение, объем и способ организации хранения топлива.
6.11. При использовании автономной системы электроснабжения в качестве резервной потребитель должен получить технические условия для подключения к внешним сетям в энергоснабжающей организации в установленном порядке и разрешение на установку автономного источника в органах местной администрации.
6.12. Для жилых домов при суммарной установленной мощности электроприемников 10 кВт и более обязательным является выполнение проекта электроснабжения; при мощности элекгроприемников до 10 кВт может быть выполнен чертеж-проект.
Состав проектной документации на электроснабжение приведен в прил. 1.
Для разработки проекта или чертежа-проекта электроснабжения следует привлекать специализированные организации.
6.13. Проект электроснабжения или чертежпроект подлежит согласованию с местными органами Госэнергонадзора, Пожарной инспекции (службы), Госсанэпиднадзора.
Техническая документация, представляемая в Госэнергонадзор для получения разрешения на включение дизельной электростанции, приведена в прил. 2.
6.14. При использовании автономной системы электроснабжения в качестве резервной проект электроснабжения подлежит также согласованию с энергоснабжающей организацией, выдавшей технические условия на подключение к сетям централизованного электроснабжения.
РАСЧЕТНЫЕ ЭЛЕКТРИЧЕСКИЕ НАГРУЗКИ
6.15. При определении расчетных электрических нагрузок жилого дома следует учитывать все электроприемники, находящиеся на территории участка жилого дома.
6.16. Расчетная электрическая нагрузка квартир Рт, приведенная к вводу сблокированного жилого дома, определяется по формуле
, (14)
где Pкв.уд. — удельная расчетная электрическая нагрузка элекгроприемников квартир (домов), кВт/квартира, принимается по табл. 9;
n — количество квартир.
6.17. Расчетная мощность электродвигателей насосов водоснабжения, котельных установок и других санитарно-технических устройств общедомового использования Рсту, кВт, определяется по формуле
, (15)
где Кс — коэффициент спроса, определяемый по табл. 10.
Мощность резервных двигателей, а также электроприемников противопожарных устройств при расчете электрических нагрузок не учитывается.
Удельная расчетная электрическая нагрузка электроприемников квартир жилых домов
Таблица 9
| Потребители электроэнергии | Количество квартир 1— 3 |
|---|---|
| 1. Квартиры с плитами: | |
| на природном газе | 3 |
| на сжиженном газе (в том числе, при групповых установках) и на твердом топливе | 4 |
| электрическими мощностью до 8 кВт | 7 |
| 2. Квартиры с плитами на природном газе и бытовыми кондиционерами воздуха | 4.1 |
| 3. Квартиры с плитами на ежиженном газе (в том числе при групповых установках) и на твердом топливе с бытовыми кондиционерами воздуха | 5.1 |
Примечания: 1. Удельные расчетные нагрузки приведены для квартир общей площадью до 55 м2.
При общей площади квартир более 55 м2 удельную нагрузку следует увеличивать на 1% на каждый квадратный метр дополнительной площади в домах с плитами на природном газе и с плитами на твердом
топливе и сжиженном газе. При этом увеличение удельной нагрузки не должно превышать 25% значений, приведенных в таблице.
2. В домах усадебного типа удельные расчетные нагрузки не учитывают одновременное присоединение электрифицированных механизмов единичной мощностью более 1 кВт.
3. Удельные электрические нагрузки действительны для всех климатических районов страны.
4. Возможность установки бытовых кондиционеров воздуха в квартирах следует предусматривать при проектировании жилых домов в соответствии со СНиП 2.04.05-91*. Удельные расчетные электрические нагрузки учитывают использование в квартире только одного бытового кондиционера мощностью до 1,3 кВт.
5. Нагрузка коттеджной квартиры общей площадью 55 — 200 м2 с газовой плитой должна определяться по п. 1 настоящей таблицы (для квартир с плитами на природном газе) с учетом примеч. 1.
6. Применять электрические плиты и кондиционеры следует при наличии централизованного электроснабжения (автономные системы используются в
качестве резерва).
Коэффициенты спроса электродвигателей санитарно-технических устройств
Таблица 10
| Число электродвигателей | Kc |
|---|---|
| 2 | 1 |
| 3 | 0,9 |
| 5 | 0,8 |
6.18. Расчетная электрическая нагрузка жилого дома Рр ж.д., кВт, (квартир и силовых электроприемников) определяется по формуле
, (16)
где Ркв — расчетная электрическая нагрузка квартир, приведенная к вводу жилого дома, кВт;
Ку — коэффициент участия в максимуме нагрузки силовых элекгроприемников (равен 0,9);
Рсту — расчетная нагрузка силовых электроприемников жилого дома, кВт.
6.19. Расчетная электрическая нагрузка от электрифицированных механизмов единичной мощностью более 1 кВт (бассейнов, гаражей и подсобного хозяйства, теплиц и парников, мастерских) должна учитываться дополнительно по формуле (16).
6.20. Расчетную мощность автономного источника электрической энергии Рp, кВт, следует определять по формуле
, (17)
где Рр ж.д. — расчетная нагрузка жилого дома, кВт;
Kj — коэффициент спроса;
Рj — мощность электроприемников (гаражей, бассейнов, подсобного хозяйства и т.д.) по паспорту или каталогу, кВт.
ИСТОЧНИКИ ЭЛЕКТРОСНАБЖЕНИЯ
6.21. В качестве автономных источников электрической энергии рекомендуется использовать дизельные электрические агрегаты, ветроэнергетические установки (ВЭУ), солнечные фотоэлектрические установки (СФУ) и их комбинации.
ДИЗЕЛЬНЫЕ ЭЛЕКТРИЧЕСКИЕ СТАНЦИИ (ДЭС)
6.22. Для жилых домов рекомендуется применять дизельные электроагрегаты с местным управлением, устанавливаемые стационарно.
6.23. Мощность ДЭС рекомендуется выбирать по расчетной электрической нагрузке жилого дома с учетом потерь на собственные нужды ДЭС и потерь во внутриобъектной сети.
6.24. Размещать ДЭС рекомендуется в отдельном здании первой или второй степени огнестойкости. Здание ДЭС следует относить по устройству молниезащиты к третьей категории.
Помещения ДЭС относятся к категории Г в отношении пожароопасности.
6.25. Помещение ДЭС в соответствии с определением ПУЭ, гл.5, следует относить к электромашинному помещению.
6.26. Для помещения ДЭС следует предусматривать:
- выход из помещений непосредственно наружу;
- принудительную вентиляцию, обеспечивающую 8-кратный воздухообмен для удаления окиси углерода и необходимого охлаждения электроагрегата в летний период;
- поддержание температуры воздуха не ниже +8°С;
- вывод газовыхлопной трубы на 1,5 — 2 м над коньком кровли здания;
- пожарную сигнализацию;
- мероприятия по защите от шума в соответствии со СНиП 11-12-77;
- освещение в соответствии со СНиП 23-05-95 «Естественное и искусственное освещение».
УСТРОЙСТВО ДЭС
6.27. В состав ДЭС входят электроагрегат с системами маслоснабжения и топливоснабжения, системой управления, контрольно-измерительными приборами, газовыхлогжой системой, система вентиляции, кабели и провода.
6.28. Для ДЭС следует предусматривать забор воздуха для образования горючей смеси в двигателе, отвод отработанных газов за пределы здания, охлаждение двигателя и поддержание температурного режима его работы в соответствии с требованиями технической документации завода — изготовителя электроагрегата.
6.29. Фундаменты электроагрегатов не должны иметь жесткой связи со стенами и фундаментами здания, а также с конструкцией пола.
6.30. Отметку верхней поверхности фундаментной плиты следует принимать выше отметки чистого пола не менее чем на 50 мм.
6.31. Поверхности фундамента, не являющиеся опорными, должны быть покрыты маслостойкой изоляцией.
6.32. Для электроагрегата следует предусматривать защиту от непосредственного попадания в него воды.
6.33. Следует применять стационарные источники однофазного переменного тока с одним глухозаземленным выводом и стационарные источники трехфазного переменного тока с глухозаземленной нейтралью.
При использовании автономных передвижных источников электрической энергии для электроснабжения индивидуальных жилых домов режим нейтрали источника и защитные меры должны соответствовать режиму нейтрали и защитным мерам, принятым в сетях стационарных электроприемников.
6.34. При наличии централизованного электроснабжения и использовании автономной системы электроснабжения в качестве резервной следует предусматривать подключение резервной системы электроснабжения к сетям электроприемников потребителя только при наличии блокировок между коммутационными аппаратами, исключающими возможность одновременной подачи напряжения в сеть потребителя и в сеть электроснабжающей организации.
6.35. Для генератора с заземленной нейтралью не следует использовать в качестве заземляющего проводника нулевой рабочий проводник.
Для присоединения нейтрали генератора к заземлителю следует предусматривать специальный заземляющий проводник.
Общее сопротивление заземляющего устройства не должно превышать 4 Ом в любое время года.
При удельном сопротивлении грунта ю более чем 100 Ом-м допускается увеличивать сопротивление заземляющего устройства в 0,01а> раз, но не более чем в 10 раз.
6.36. Защиту генератора с незаземленной нейтралью от всех видов повреждений и ненормальных режимов работы следует осуществлять установкой на выводах автоматического выключателя с максимальными расцепителями или выключателя с максимальной токовой защитой в двухфазном исполнении.
При наличии выводов со стороны нейтрали указанную защиту, по возможности, следует присоединять к трансформаторам тока, установленным на этих выводах.
Для генераторов с глухозаземленной нейтралью защиту следует предусматривать в трехфазном исполнении.
6.37. Следует предусматривать автоматическое отключение ДЭС при понижении уровня охлаждающей жидкости в радиаторе.
6.38. Вывод трубы газовыхлопных газов через перекрытие следует выполнять с термоизоляцией.
6.39. Размещение оборудования ДЭС должно выполняться в соответствии с требованиями «Правил устройства электроустановок» (ПУЭ), «Правил эксплуатации электроустановок потребителей» (ПЭЭП) и «Правил техники безопасности при эксплуатации электроустановок потребителей» (ПТБ).
6.40. В одном помещении с электроагрегатом допускается установка аппаратуры управления, защиты, измерения и сигнализации, оборудования для утилизации вторичной теплоты.
6.41. Аккумуляторные батареи закрытого типа (стартерные) и зарядное устройство допускается размещать в одном помещении с электроагрегатом.
Для обслуживания аккумуляторных батарей следует предусматривать в помещении ДЭС установку шкафа, оборудованного вытяжкой.
6.42. Топливные и масляные баки, фильтры, запорную арматуру, фланцевые и муфтовые соединения топливных и масляных трубопроводов следует размещать с учетом следующих требований:
- не менее 0,5 м от вертикальной стены, касательной к поверхности газовыпускной трубы, если упомянутые элементы расположены выше газоотводящего тракта;
- не ближе 0,1 м от поверхности газовыпускной трубы для частей трубопроводов и не ближе 0,5 м — для баков и фильтров, при условии, что они располагаются сбоку или ниже газоотводящего тракта.
6.43. При параллельной прокладке трубопроводов и кабелей, прокладываемых открыто на конструкциях или в трубах, расстояние между ними следует принимать не менее 0,1 м, а для трубопроводов с горючей жидкостью — не менее 0,25 м.
6.44. При пересечении трубопроводов и кабелей, прокладываемых открыто на конструкциях и в трубах, расстояние между ними следует
принимать не менее 0,05 м, а для трубопроводов с горючей жидкостью — не менее 0,1 м.
Перед включением ДЭС потребителю следует ознакомиться с требованиями ПЭЭП и ПТБ.
6.45. Вращающиеся элементы электроагрегата следует защищать колпаком, сеткой, жалюзи или фланцем.
6.46. Следует предусматривать заземление корпуса электрических машин, аппаратов, светильников, шкафов управления.
6.47. Для трубопроводов с температурой поверхности более 50 °С, для их фланцевых соединений и арматуры следует предусматривать тепловую изоляцию.
6.48. Устройство ДЭС должно соответствовать требованиям ГОСТ 12.1.004—91 «Пожарная безопасность. Общие требования».
6.49. Для ДЭС следует предусматривать средства пожаротушения, указанные в стандартах и технических условиях для электроагрегатов и электростанций конкретных типов.
6.50. Топливные баки и топливопроводы не допускается размещать рядом с источниками тепла, выхлопной трубой, подогревательными и электротехническими устройствами.
6.51. Для топливных баков и топливопроводов следует предусматривать защиту от нагрева до температуры выше допустимой для конкретного вида дизельного топлива. За допустимую температуру нагрева принята температура на 10 °С ниже температуры вспышки tвсп.
6.52. Уплотнения разъемных соединений не должны допускать выбросов и подтекания топлива, масла, охлаждающей жидкости, пропуска отработанных газов.
6.53. Для генератора, аппаратуры управления и сигнализации следует предусматривать защиту от токов короткого замыкания и перегрузки.
6.54. Для ДЭС следует предусматривать аварийную защиту и аварийно-предупредительную сигнализацию, срабатывающие при достижении предельных значений контролируемых параметров в соответствии с паспортными данными.
СИСТЕМЫ ЭЛЕКТРОСНАБЖЕНИЯ С ИСПОЛЬЗОВАНИЕМ ВОЗОБНОВЛЯЕМЫХ ИСТОЧНИКОВ ЭНЕРГИИ
6.55. Целесообразность создания автономной системы электроснабжения, выполненной на базе возобновляемого источника электрической энергии, следует определять на основании предварительного технико-экономического обоснования.
6.56. В состав энергетических установок для систем автономного электроснабжения на базе ВЭУ и СФУ помимо соответственно ветроэлектрического агрегата и солнечных фотобатарей должны входить также блок регулирования и управления, аккумуляторная батарея, зарядное устройство и инвертор. Система должна иметь также резервный источник электроснабжения.
6.57. Определение требуемой мощности возобновляемого источника электрической энергии следует производить по результатам анализа графиков ожидаемого электропотребления жилого дома в течение года и ожидаемой выработки электрической энергии источником.
Выбор оборудования системы электроснабжения производится из условия примерного равенства потребности и производства энергии с учетом потерь энергии на преобразование.
Выбор установленной мощности резервного источника следует производить исходя из условия обеспечения ожидаемого получасового максимума нагрузки жилого дома.
6.58. Применять ВЭУ для целей электроснабжения рекомендуется в местности, имеющей среднегодовую скорость ветра V ≥ 5 м/с.
В России наиболее перспективны для ветроиспользования районы побережья Черного, Каспийского, Балтийского морей, побережье Северного Ледовитого океана, Охотского и Японского морей.
Благоприятные ветровые условия имеют также районы Поволжья, Западной Сибири, Алтая, Красноярского и Ставропольского края и отдельные районы Нечерноземной зоны России. Информация о режимах скоростей ветра содержится в Справочнике по климату СССР, часть III «Ветер».
6.59. Выбор площадки для установки ВЭУ должен производиться в соответствии с методическими указаниями РД 52.04.275-89 «Проведение изыскательских работ по оценке ветроэнергетических ресурсов для обоснования схем размещения и проектирования ветроэнергетических установок», при этом расстояние ВЭУ от жилого дома должно быть не менее 30 — 40 м. Размещение ВЭУ следует производить с учетом СНиП 11-12-77 «Защита от шума».
6.60. Для обеспечения электроснабжением жилого дома в периоды установившегося безветрия следует предусматривать резервный источник электрической энергии, в качестве которого
рекомендуется использовать дизельный электрический агрегат.
6.61. Для возможности перевода электроснабжения с рабочего источника электрической энергии на резервный следует предусматривать переключающее устройство с блокировками между коммутационными аппаратами, исключающими возможность одновременной подачи напряжения в сеть потребителя от рабочего и резервного источников.
6.62. Резервный источник электроснабжения, инвертор, аккумуляторную батарею, зарядное устройство, аппаратуру управления и сигнализации следует размещать в отдельном здании, оборудованном приточно-вытяжной вентиляцией.
6.63. В России наиболее перспективными регионами с точки зрения применения солнечных установок для целей электроснабжения являются регионы, расположенные южнее 50 ° северной широты, в частности: Астраханская, Волгоградская, Ростовская и Читинская области, Краснодарский, Ставропольский и Приморский края, а также Республики Дагестан, Калмыкия — Хальмг Тангч, Тыва и Бурятия.
В указанных районах возможна выработка электроэнергии более 200 кВ*ч/год на 1 м2 площади фотоэлектрических элементов.
6.64. Возможные объемы выработки электроэнергии СФУ в каждой конкретной местности следует определять по картам гелиоэнергетических ресурсов по методике, изложенной в работе Пивоварова З .И ., Стадник В.В. Климатические характеристики солнечной радиации как источника энергии на территории СССР.— Л.: Гидрометеоиздат, 1988.
6.65. СФУ могут агрегатироваться с ВЭУ и ДЭС для создания систем электроснабжения повышенной надежности.
С целью эффективного использования и сокращения стоимости монтажа СФУ рекомендуется размещать на южном незаветренном скате крыши.
6.66. Проектирование систем электроснабжения на базе возобновляемых источников энергии должно осуществляться специализированными организациями, обладающими лицензиями на право строительной деятельности для данного вида установок.
ВНУТРИОБЪЕКТНАЯ ЭЛЕКТРОПРОВОДКА
6.67. Схему электрической сети следует выполнять с учетом требований, предъявляемых к обеспечению надежности электроснабжения электроприемников жилого дома, величины расчетной электрической нагрузки, месторасположения электроприемников.
6.68. Электроприемники жилых домов в отношении обеспечения надежности электроснабжения следует относить к третьей категории в
соответствии с классификацией потребителей, приведенной в ПУЭ.
6.69. Внугриобъектную электропроводку следует предусматривать четырехпроводной при напряжении 380/220 В и трехпроводной при напряжении 220 В переменного тока.
6.70. Внутриобъектную электропроводку, вводы, внутренние электрооборудование и электропроводку жилого дома, хозяйственных построек и прочее следует предусматривать в соответствии с требованиями ПУЭ, строительных норм, инструкцией и руководящими материалами по электроснабжению индивидуальных жилых домов, коттеджей, дачных (садовых) домов и других частных помещений.
6.71. Внутреннюю электропроводку в помещениях с оборудованием ДЭС, ВЭУ, СФУ следует выполнять в соответствии с требованиями ПУЭ, предъявляемыми к электропроводкам в электромашинных помещениях.
6.72. Требования к монтажу внутренних электропроводок одноквартирных и блокированных жилых домов приведены в прил. 3.
ПРИЛОЖЕНИЕ 1
СОСТАВ ПРОЕКТНОЙ ДОКУМЕНТАЦИИ НА ЭЛЕКТРОСНАБЖЕНИЕ
1. Для объектов частной собственности при суммарной установленной мощности 10 кВт и более в проекте электроснабжения должны быть представлены:
- схема внешнего и внутреннего электроснабжения;
- схема внутренних проводок с указанием типов проводок и способа их прокладки;
- схемы вводных устройств;
- расчет электрических нагрузок;
- выбор уставок автоматов и плавких вставок предохранителей;
- переключающие устройства с рабочего источника питания на резервный;
- заземление и зануление (при необходимости);
- установка устройств защитного отключения (УЗО);
- решение по учету электрической энергии (является обязательным при наличии централизованного электроснабжения; при отсутствии централизованного электроснабжения учет электроэнергии выполняется по желанию потребителя).
2. Для объектов частной собственности при суммарной установленной мощности до 10 кВт в чертеже-проекте должны быть представлены следующие решения:
- схема внешнего и внутреннего электроснабжения с указанием типов и уставок защитных аппаратов, переключающих аппаратов с рабочего на резервное питание (при необходимости), сечений жил и марок проводов, расчетных токов, приборов учета электроэнергии (при необходимости), присоединения к питающей сети;
- ситуационный план расположения электрооборудования, прокладки кабелей, проводов, заземляющих или зануляющих проводников;
- спецификация электрооборудования, изделий и материалов;
- пояснения, указания, примечания (по необходимости).
ПРИЛОЖЕНИЕ 2
ТЕХНИЧЕСКАЯ ДОКУМЕНТАЦИЯ ПО ЭЛЕКТРОСНАБЖЕНИЮ, ПРЕДСТАВЛЯЕМАЯ В ГОСЭНЕРГОНАДЗОР
1. Технические условия на проектирование.
2. Отступления от технических условий (если имеются согласования с организациями, выдавшими технические условия).
3. Проект электроснабжения или чертеж-проект.
4. Отступления от проекта (если имеются согласования с проектной организацией).
5. Акт на скрытые работы по устройству фундамента.
6. Акт на устройство гидроизоляции.
7. Акт на устройство перекрытия.
8. Акт на устройство кровли.
9. Гарантийное письмо на кровлю.
10. Форма ОС-1.
11. Авизовка.
12. Строительные данные: фундамент, стены, покрытие, объем, высота.
13. Протокол испытания повышенным напряжением электрооборудования установки.
14. Электрическая схема (паспорт).
15. Опись установленного электрооборудования.
16. Протокол наладки электрооборудования.
17. Протокол проверки контактных соединений.
18. Протокол проверки защиты.
19. Испытательная схема заземляющего устройства с актом на скрытые работы.
20. Протокол проверки сопротивления контура заземления и всего электрооборудования станции.
21. Протокол испытания защитных средств.
22. Заводская инструкция на электроагрегат.
23. Расписка о назначении ответственного за эксплуатацию станции.
ПРИЛОЖЕНИЕ 3
ТРЕБОВАНИЯ К МОНТАЖУ ВНУТРЕННИХ ЭЛЕКТРОПРОВОДОК ОДНОКВАРТИРНЫХ И БЛОКИРОВАННЫХ ЖИЛЫХ ДОМОВ
1. Внутренние электропроводки должны выполняться в соответствии с требованиями ПУЭ.
2. При выполнении электрических проводок марки проводов и кабелей и способы их прокладки должны соответствовать проекту и выбираться в зависимости от характера помещений или условий окружающей среды в них.
3. Сечение токопроводящих жил проводов и кабелей должно определяться расчетом исходя из характера и величины нагрузки в соответствии с действующими техническими правилами и нормами и должно быть не менее, мм2:
| медных | алюминиевых | |
|---|---|---|
| для групповых и распределительных линий | 1,0 | 2,5 |
| для линий к расчетному счетчику и междуэтажных стояков | 2,5 | 4,0 |
4. Открытая прокладка незащищенных изолированных проводов в комнатах индивидуальных жилых домов и подсобных помещениях непосредственно по строительным поверхностям и конструкциям, на роликах и изоляторах во всех случаях допускается на высоте не менее 2,0 м от пола.
Высота прокладки проводов (кабелей) в трубах, а также кабелей от уровня пола не нормируется.
Высота установки выключателей на стене должна приниматься 1,5 м от пола, штепсельных розеток — 0,8 — 1,0 м от пола. Выключатели и розетки, применяемые для открытой электропроводки, должны устанавливаться на подкладках из непроводящего материала толщиной не менее 10 мм.
5. В чердачных помещениях могут применяться следующие виды электропроводок:
- открытые электропроводки, выполненные незащищенными проводами в стальных трубах или кабелями в оболочках из несгораемых или трудносгораемых материалов, прокладываемых на любой высоте;
- электропроводки на роликах с одножильными незащищенными проводами, прокладываемые на высоте 2,5 м.
Скрытые электропроводки выполняются в стенах и перекрытиях из несгораемых материалов на любой высоте.
Открытые электропроводки чердачных помещений выполняются проводами и кабелями с медными жилами.
Провода и кабели с алюминиевыми жилами допускаются в чердачных помещениях зданий с несгораемыми перекрытиями при условии открытой прокладки их в стальных трубах или при скрытой прокладке в несгораемых стенах и перекрытиях.
6. В жилых домах и хозпостройках питание стационарных однофазных электроприемников следует выполнять трехпроводными линиями от вводных (групповых, этажных) щитков до штепсельных розеток и светильников. Нулевой рабочий и нулевой защитный проводники должны иметь сечения, равные фазному сечению. При этом нулевой рабочий и нулевой защитный проводники не следует подключать на щитке под один
контактный зажим.
В цепях нулевых рабочих и нулевых защитных проводников не должно быть разъединяющих приспособлений и предохранителей.
7. Для каждой линии групповой сети, отходящей от вводного (группового, этажного) щитка, следует прокладывать отдельный нулевой защитный проводник.
При питании нескольких штепсельных розеток от одной групповой линии ответвления нулевого защитного проводника к каждой штепсельной розетке должны выполняться в ответвительных коробках или (при питании розеток шлейфом) в коробках для установки штепсельных розеток одним из принятых способов (пайка, сварка, опрессовка, специальные сжимы, клеммы и др.).
Последовательное включение в нулевой защитный проводник заземляющих контактов штепсельных розеток не допускается.
8. В жилых помещениях без повышенной опасности поражения людей электрическим током заземление металлических корпусов подвесной осветительной арматуры допускается не производить.
Прокладка нулевого защитного проводника от ответвительной коробки до светильников в этом случае может не производиться. При этом металлический крюк для подвески светильников должен быть изолирован.
9. Для электроприемников с классом защиты 0 по электробезопасности с двухпроводными соединительными шнурами и двухштырьковыми вилками допускается установка двухполюсных розеток без заземляющих контактов с подключением их к фазному и нулевому рабочему проводнику трехпроводной розеточной линии.
10. Применение имеющихся переносных электроприемников с металлическими корпусами, с двухпроводными соединительными шнурами и двухштырьковыми вилками (утюги, чайники, плитки, холодильники, пылесосы, стиральные и швейные машины и др.) допускается (обеспечивает электробезопасность) только при условии установки на вводном (групповом, этажном) щитке УЗО.
11. В детских комнатах и других помещениях в случае установки розеток на доступной для детей высоте розетки должны иметь защитные устройства, закрывающие штепсельные гнезда.
12. Места соединений и ответвлений проводов и кабелей не должны испытывать механических усилий.
В местах соединений и ответвлений жилы проводов и кабелей должны иметь изоляцию, равноценную изоляции жил целых мест этих проводов и кабелей.
Изоляция жил кабелей, выведенных из концевой заделки, должна быть защищена от старения (покрыта изоляционным лаком или заключена в резиновые или поливинилхлоридные трубки).
13. Соединения и ответвления проводов, проложенных в трубах, при открытой и скрытой проводке должны выполняться в соединительных и ответвительных коробках.
Конструкции соединительных и ответвительных коробок должны соответствовать способам прокладки и условиям среды.
Соединение и ответвления жил проводов и кабелей в чердачных помещениях должны осуществляться в металлических коробках сваркой, опрессовкой или с помощью сжимов.
В местах выхода из стальных труб провода должны быть защищены от механических повреждений оконцеванием труб втулками.
14. Открытые проводки должны прокладываться с учетом архитектурных линий помещений (карнизов, плинтусов, углов и др.).
15. Длина проводов во влажных, сырых и особо сырых помещениях (в туалетах, ванных комнатах, саунах и др.) должна быть минимальной.
Проводники рекомендуется размещать вне этих помещений, а светильники — на ближайшей к проводке стене. В ванных комнатах, душевых, саунах и санузлах корпуса светильников с лампами накаливания и патроны должны быть выполнены из изолирующего материала.
Установка розеток и выключателей в ванных комнатах, душевых, саунах и санузлах не допускается.
16. Допускается, при необходимости, установка в ванной комнате розеток, дополнительных настенных светильников, устройств гидромассажа и других электробытовых устройств при условии, что на питающей ванну розеточной группе будет установлено электромеханическое УЗО с уставкой по току утечки на землю не более 30 мА.
17. Скрытая проводка по нагреваемым поверхностям (дымоходам, боровам и др.) не допускается. При открытой проводке в зоне горячих трубопроводов, дымоходов и т.п. температура окружающего воздуха не должна превышать 35 °С.
18. Проводки, прокладываемые за непроходными подвесными потолками и облицовочными стенами, рассматриваются как скрытые. Они выполняются за потолками и стенами из сгораемых материалов в металлических трубах. При этом должна быть обеспечена возможность замены проводов и кабелей.
19. Крепление проводов металлическими скобками необходимо выполнять с изоляционными прокладками.
Металлические скобки для крепления защищенных проводов, кабелей и стальных труб должны быть окрашены либо иметь иное коррозионно-стойкое покрытие.
20. Провода, прокладываемые скрыто, должны иметь у мест соединения в ответвительных коробках и у мест присоединения к светильникам, выключателям и штепсельным розеткам запас длиной не менее 50 мм. Аппараты, устанавливаемые скрыто, должны быть заключены в коробки. Ответвительные коробки и коробки для выключателей и штепсельных розеток при скрытой прокладке проводов должны быть утоплены
в строительных элементах зданий заподлицо с окончательно отделанной внешней поверхностью.
21. Крюки и кронштейны с изоляторами закрепляются только в основном материале стен, а ролики для проводов сечением до 4 мм2 включительно могут закрепляться на штукатурке или в обшивке деревянных зданий.
22. Ролики и изоляторы в углах помещений устанавливаются на расстоянии от потолков или смежных стен, равном 1,5...2-кратной высоте ролика или изолятора. На таком же расстоянии от проходов через стены устанавливаются концевые ролики или изоляторы.
23. Одножильные изолированные незащищенные провода должны быть привязаны мягкой проволокой ко всем роликам или изоляторам. Вязальная проволока в сырых помещениях и наружных проводках должна иметь противокоррозионное покрытие. Изоляция проводов в местах их привязки должна быть предохранена от повреждений вязальной проволокой (например, при помощи намотки на провод изоляционной ленты)
Крепление незащищенных проводов к роликам или изоляторам (за исключением угловых и конечных) может выполняться также при помощи колец и шнура из светостойкого пластика (поливинилхлорида). Ответвление проводов выполняются на роликах или изоляторах.
24. При пересечении между собой незащищенных изолированных проводов, проложенных на расстояниях один от другого менее допустимых для наибольшего сечения пересекающихся линий, на каждый из проводов одной из пересекающихся линий должна быть надета и закреплена во избежание перемещения неразрезанная изоляционная трубка.
Пересечения плоских и однопроволочных проводов, прокладываемых непосредственно между собой, следует избегать. При необходимости такого пересечения изоляция провода в месте пересечения должна быть усилена тремя-четырьмя слоями прорезиненной или поливинилхлоридной липкой ленты.
25. Проход через стены незащищенных изолированных проводов выполняется в неразрезанных изоляционных полутвердых трубках, которые должны быть оконцованы в сухих помещениях — изолирующими втулками, а в сырых и при выходе наружу — воронками.
При проходе проводов из одного сухого помещения в другое все провода одной линии допускается прокладывать в одной изоляционной трубе.
При проходе проводов из сухого помещения в сырое, из сырого помещения в другое сырое и при выходе из помещения наружу каждый провод должен прокладываться в отдельной изоляционной трубке. При проходе проводов в сырое помещение с иной температурой, влажностью и т.п. воронки должны быть залиты с обеих сторон изолирующим компаундом.
При выходе проводов из сухого помещения в сырое или наружу здания соединения проводов должны выполняться в сухом помещении.
26. Проход защищенных и незащищенных проводов и кабелей через междуэтажные перекрытия должен выполняться в трубах или проемах.
Проход через междуэтажные перекрытия скрученными проводами запрещается.
Проход проводов через междуэтажные перекрытия допускается выполнять в изоляционных трубах в стене под штукатуркой. Изоляционные трубы должны быть заделаны заподлицо с наружными краями втулок и воронок.
27. Радиусы изгиба незащищенных изолированных одножильных проводов должны быть не менее 3-кратного наружного диаметра провода.
28. Для управления освещением применяются однополюсные выключатели, которые следует устанавливать в цепи фазного провода.
Выключатели рекомендуется устанавливать на стене у дверей со стороны дверной ручки. Допускается установка их под потолком при управлении при помощи шнура.
ПРИЛОЖЕНИЕ 4
ИЗВЛЕЧЕНИЯ ИЗ НОРМАТИВНЫХ ДОКУМЕНТОВ СНиП 2.04.05-91
ОТОПЛЕНИЕ, ВЕНТИЛЯЦИЯ И КОНДИЦИОНИРОВАНИЕ
ПРИЛОЖЕНИЕ 9
Обязательное
ПОТЕРИ ТЕПЛОТЫ ЧЕРЕЗ ОГРАЖДАЮЩИЕ КОНСТРУКЦИИ ПОМЕЩЕНИЙ
1. Основные и добавочные потери теплоты следует определять, суммируя потери теплоты через отдельные ограждающие конструкции Q, Вт, с округлением до 10 Вт, для помещений по формуле
, (1)
где А — расчетная площадь ограждающей конструкции, м2;
R — сопротивление теплопередаче ограждающей конструкции, м2•°С/Вт. Сопротивление теплопередаче конструкции следует определять по СНиП II-3-79* (кроме полов на грунте); для полов на грунте — в соответствии с п.3 настоящего приложения, принимая R = Rc для неутепленных полов и R = Rh для утепленных;
tp — расчетная температура воздуха, °С, в помещении с учетом повышения ее в зависимости от высоты для помещений высотой более 4 м;
text — расчетная температура наружного воздуха для холодного периода года при расчете потерь теплоты через наружные ограждения или температура воздуха более холодного помещения — при расчете потерь теплоты через внутренние ограждения;
β — добавочные потери теплоты в долях от основных потерь, определяемые в соответствии с п.2 настоящего приложения;
n — коэффициент, принимаемый в зависимости от положения наружной поверхности ограждающих конструкций по отношению к наружному воздуху по СНиП Н-3-79*.
2*. Добавочные потери теплоты р через ограждающие конструкции следуг принимать в долях от основных потерь:
а) в помещениях любого назначения через наружные вертикальные и наклонные (вертикальные проекции) стены, двери и окна, обращенные на север, восток, северо-восток и северо-запад в размере 0,1; на юго-восток и запад — в размере 0,05; в угловых помещениях дополнительно — по 0,05 на каждую стену, дверь и окно, если одно из ограждений обращено на север, восток, северовосток и северо-запад и 0,1 — в других случаях;
б) в помещениях, разрабатываемых для типового проектирования, через стены, двери и окна, обращенные на любую из сторон света, в размере 0,08 при одной наружной стене и 0,13 для угловых помещений (кроме жилых), а во всех жилых помещениях — 0,13;
в) через необогреваемые полы первого этажа над холодными подпольями зданий в местностях с расчетной температурой наружного воздуха минус 40 °С и ниже (параметры Б) — в размере 0,05;
г) через наружные двери, не оборудованные воздушными или воздушно-тепловыми завесами, при высоте зданий Н, м, от средней планировочной отметки земли до верха карниза, центра вытяжных отверстий фонаря или устья шахты в размере:
0,2 H — для тройных дверей с двумя тамбурами между ними;
0,27 H — для двойных дверей с тамбурами между ними;
0,34 H — для двойных дверей без тамбура;
0,22 H — для одинарных дверей;
д) через наружные ворота, не оборудованные воздушными и воздушно-тепловыми завесами, — в размере 3 при отсутствии тамбура и в размере 1 — при наличии тамбура у ворот.
Примечание. Для летних и запасных наружных дверей и ворот добавочные потери теплоты по подпунктам «г» и «д» не следует учитывать.
3. Сопротивление теплопередаче следует определять:
а) для неутепленных полов на грунте и стен, расположенных ниже уровня земли, с коэффициентом теплопроводности λ ≥ 1,2 Вт/(м2 • °С) по зонам шириной 2 м, параллельным наружным стенам, принимая Rc, м2•°С/Вт, равным:
2,1 - для 1 зоны
4 , 3 - » II »
8 , 6 - » 111 »
1 4 ,2 - » IV » (для оставшейся площади пола);
б) для утепленных полов на грунте и стен, расположенных ниже уровня земли, с коэффициентом теплопроводности λh< 1,2 Вт/(м2•°С) утепляющего слоя толщиной 8, м, принимая Rk, м2•°С/Вт, по формуле

в) для полов на лагах, принимая Rh, м2 - °С/Вт, по формуле
Rh = 1,18(Rc + δ/λ).
4. Потери теплоты через ограждающие конструкции производственных помещений со значительными избытками теплоты следует рассчитывать с учетом лучистого теплообмена между источниками теплоты и ограждениями.
П Р И Л О Ж Е Н И Е 10
Обязательное
РАСХОД ТЕПЛОТЫ НА НАГРЕВАНИЕ ИНФИЛЬТРУЮЩЕГОСЯ НАРУЖНОГО ВОЗДУХА ЧЕРЕЗ ОГРАЖДАЮЩИЕ КОНСТРУКЦИИ ПОМЕЩЕНИЙ
1. Расход теплоты Q , Вт, на нагревание инфильтрующегося воздуха следует определять по
формуле
, (1)
где Gi — расход инфильтрующегося воздуха, кг/ч, через ограждающие конструкции помещения, определяемый в соответствии с п. 3 настоящего приложения;
с — удельная теплоемкость воздуха, равная 1 кДж /кг°С);
tp, ti — расчетные температуры воздуха, °С, соответственно в помещении (средняя с учетом повышения для помещений высотой более 4 м) и наружного воздуха в холодный период года (параметры Б);
к — коэффициент учета влияния встречного теплового потока в конструкциях, равный 0,7 для стыков панелей стен и окон с тройными переплетами, 0,8 — для окон и балконных дверей с раздельными переплетами и 1,0 — для одинарных окон, окон и балконных дверей со спаренными переплетами и открытых проемов.
2. Расход теплоты Qi, Вт, на нагревание инфильтрующегося воздуха в помещениях жилых и общественных зданий при естественной вытяжной вентиляции, не компенсируемого подогретым приточным воздухом, следует принимать равным большей из величин, полученных по расчету по формулам (1) и (2):
, (2)
где Ln, — расход удаляемого воздуха, м3/ч, не компенсируемый подогретым приточным воздухом, для жилых зданий — удельный нормативный расход 3 м3/ч на 1 м2 жилых помещений;
р — плотность воздуха в помещении, кг/м3.
3. Расход инфильтрующего воздуха в помещении Gi, кг/ч, через неплотности наружных ограждений следует определять по формуле
, (3)
где А1, A2 — площади наружных ограждающих конструкций, м2, соответственно световых проемов (окон, балконных дверей, фонарей) и других ограждений;
А3 — площадь щелей, неплотностей и проемов в наружных ограждающих конструкциях;
Δpi, Δp1, — расчетная разность между давлениями на наружной и внутренней поверхностях ограждающих конструкций соответственно на расчетном этаже при Δpi = 10 Па;
Ru — сопротивление воздухопроницанию, м2•ч•Па/кг, принимаемое по СНиП N-3-79*;
Gн — нормативная воздухопроницаемость наружных ограждающих конструкций, кг/(м2*ч), принимаемая по СНиП II-3-79*;
l — длина стыков стеновых панелей, м.
Расчетная разность между давлениями на наружной и внутренней поверхностях каждой ограждающей конструкции Δp, Па, принимается после определения условно-постоянного давления воздуха в здании рint, Па (отождествляется с давлением на внутренних поверхностях наружных ограждающих конструкций), на основе равенства расхода воздуха, поступающего в здание ΣGext, кг/ч, и удаляемого из него ΣGext, кг/ч, за счет теплового и ветрового давлений и дисбаланса расходов между подаваемым и удаляемым воздухом системами вентиляции с искусственным побуждением и расходуемого на технологические нужды.
Расчетная разность давлений Δpi определяется по формуле
, (4)
где Н — высота здания, м, от уровня средней планировочной отметки земли до верха карниза, центра вытяжных отверстий фонаря или устья шахты;
hi — расчетная высота, м, от уровня земли до верха окон, балконных дверей, дверей, ворот, проемов или до оси горизонтальных и середины вертикальных стыков стеновых панелей;
&gama;i, &gama;p — удельный вес, Н/м3, соответственно наружного воздуха и воздуха в помещении, определяемый по формуле
, (5)
рi — плотность наружного воздуха, кг/м3;
v — скорость ветра, м/с, принимаемая по обязательному приложению 8 и в соответствии с п. 3.2;
сe.n , сe.p — аэродинамические коэффициенты соответственно для наветренной и подветренной поверхностей ограждений зданий, принимаемые по СНиП 2.01.07-85;
кi — коэффициент учета изменения скоростного давления ветра в зависимости от высоты здания, принимаемый по СНиП 2.01.07-85;
рint — условно-постоянное давление воздуха в здании, Па.
Примечание. Максимальный расход теплоты на нагревание наружного воздуха следует учитывать для каждого помещения при наиболее неблагоприятном для него направлении ветра. При расчете тепловой нагрузки здания с автоматическим регулированием расход теплоты на инфильтрацию следует принимать при наиболее неблагоприятном направлении ветра для всего здания.
СНиП 2.04.08-87*
ГАЗОСНАБЖЕНИЕ
ТРЕБОВАНИЯ К ПОМЕЩЕНИЯМ, ГДЕ УСТАНОВЛЕНЫ ГАЗОВЫЕ ПРИБОРЫ ГАЗОСНАБЖЕНИЕ ЖИЛЫХ ДОМОВ
6.29. Установку газовых плит в жилых домах следует предусматривать в помещениях кухонь высотой не менее 2,2 м, имеющих окно с форточкой (фрамугой), вытяжной вентиляционный канал и естественное освещение.
При этом внутренний объем помещений кухонь должен быть, м3, не менее:
для газовой плиты с 2 горелками 8
для газовой плиты с 3 горелками 1 2
для газовой плиты с 4 горелками 1 5
6.30. В существующих жилых домах допускается установка газовых плит:
- в помещениях кухонь высотой не менее 2,2 м и объемом не менее указанного в п. 6.29 при отсутствии вентиляционного канала и невозможности использования в качестве такого канала дымоходов, но при наличии в помещении окна с форточкой или фрамугой в верхней части окна;
- в коридорах индивидуального пользования при наличии в коридоре окна с форточкой или фрамугой в верхней части окна, при этом проход между плитой и противоположной стеной должен быть шириной не менее 1 м, стены и потолки коридоров из горючих материалов должны быть оштукатурены, а жилые помещения отделены от коридора плотными перегородками и дверью;
- в кухнях с наклонными потолками, имеющих высоту в средней части не менее 2 м, установку газового оборудования следует предусматривать в той части кухни, где высота не менее 2,2 м.
6.31*. В существующих жилых домах, принадлежащих гражданам на правах личной собственности, допускается установка газовых плит в помещениях, соответствующих требованиям пп. 6.29 или 6.30, но имеющих высоту менее 2,2 м до 2 м включительно, если эти помещения имеют объем не менее чем в 1,25 раза больше нормативного. При этом в домах, не имеющих выделенной кухни, объем помещения, где устанавливается газовая плита, должен быть в два раза больше указанного в п. 6.29.
При невозможности выполнения указанных требований установка газовых плит в таких помещениях может быть допущена в каждом конкретном случае по согласованию с местным органом санитарного надзора.
6.32*. Возможность установки газовых плит, отопительных и других аппаратов в строениях, расположенных вне жилого дома, решается проектной организацией и эксплуатационной организацией газового хозяйства с учетом конкретных местных условий, в том числе наличия газа для этих целей. При этом помещения, в которых предусматривается установка газовых приборов, должны соответствовать требованиям, предъявляемым к помещениям жилых домов, где допускается размещение таких приборов.
6.33. Деревянные неоштукатуренные стены и стены из других горючих материалов в местах установки плит следует изолировать негорючими материалами: ш тукатуркой, кровельной сталью по листу асбеста толщиной не менее 3 мм и др. Изоляция должна выступать за габариты плиты на 10 см с каждой стороны и не менее 80 см сверху.
Расстояние от плиты до изолированных негорючими материалами стен помещения должно быть не менее 7 см; расстояние между плитой и противоположной стеной должно быть не менее 1 м.
6.34. Для горячего водоснабжения следует предусматривать проточные или емкостные газовые водонагреватели, а для отопления — емкостные газовые водонагреватели, малометражные отопительные котлы или другие отопительные аппараты, предназначенные для работы на газовом топливе.
Этажность жилых домов, в которых разрешается установка указанных газовых приборов и аппаратов, следует принимать согласно СНиП 2.08.01-89*.
6.35. Допускается перевод на газовое топливо малометражных (малогабаритных) отопительных котлов заводского изготовления, предназначенных для твердого или жидкого топлива.
Переводимые на газовое топливо отопительные установки должны быть оборудованы газогорелочными устройствами с автоматикой безопасности в соответствии с требованиями, предусмотренными разд. 11.
В одном помещении не допускается предусматривать установку более двух емкостных водонагревателей или двух малометражных отопительных котлов или двух других отопительных аппаратов.
6.36. Устройство дымоходов должно соответствовать требованиям СНиП 2.04.05-91* как для отопительных печей. При решении вопроса о возможности присоединения газовых приборов к дымоходам допускается руководствоваться данными, приведенными в справочном приложении 6.
6.37*. Установку водонагревателей, отопительных котлов и отопительных аппаратов следует предусматривать в кухнях и нежилых помещениях, предназначенных для их размещения и
отвечающих требованиям пп. 6.42* и 6.43. Установка указанных приборов в ванных комнатах не допускается. Вопрос о необходимости перестановки газовых водонагревателей из ванных комнат, в которых они были размещены в соответствии с ранее действующими нормами, в кухни или другие нежилые помещения жилого дома при реконструкции дома или системы газоснабжения должен решаться в каждом конкретном случае проектной организацией по согласованию с местными эксплуатационными организациями газового хозяйства.
В существующих жилых домах допускается предусматривать установку отопительных газовых приборов и отопительных аппаратов в коридорах индивидуального пользования, отвечающих
требованиям пп. 6.42* и 6.43.
Расстояние от выступающих частей газовых горелок или арматуры до противоположной стены должно быть не менее 1 м.
6.38. Установку газовых проточных водонагревателей следует предусматривать на стенах из негорючих материалов на расстоянии не менее 2 см от стены (в т. ч. от боковой стены).
При отсутствии в помещении стен из негорючих материалов допускается предусматривать установку проточного водонагревателя на оштукатуренных, а также на облицованных негорючими или трудногорючими материалами стенах на расстоянии не менее 3 см от стены.
Поверхность трудногорючих стен следует изолировать кровельной сталью по листу асбеста толщиной не менее 3 мм. Изоляция должна выступать
за габариты корпуса водонагревателя на 10 см.
6.39. Установку газовых отопительных котлов, отопительных аппаратов и емкостных газовых водонагревателей следует предусматривать у стен из негорючих материалов на расстоянии не менее 10 см от стены.
При отсутствии в помещении стен из негорючих материалов допускается установка вышеперечисленных отопительных приборов у стен, защищенных в соответствии с указаниями п. 6.38, на расстоянии не менее 10 см от стены.
6.40. Расстояние по горизонтали в свету между выступающими частями проточного водонагревателя и газовой плиты следует принимать не менее 10 см.
6.41*. При установке в кухне газовой плиты и проточного водонагревателя объем кухни следует принимать согласно п. 6.29.
При установке в кухне газовой плиты и емкостного водонагревателя, газовой плиты и отопительного котла или отопительного аппарата, а также газовой плиты с встроенными устройствами для нагрева воды (отопления, горячего водоснабжения) объем кухни должен быть на 6 м3 больше объема, предусмотренного п. 6.29.
6.42*. Помещение, предназначенное для размещения газового водонагревателя, а также отопительного котла или отопительного аппарата, отвод продуктов сгорания от которых предусмотрен
в дымоход, должно иметь высоту не менее 2 м.
Объем помещения должен быть не менее 7,5 м3 при установке одного прибора и не менее 13,5 м3 при установке двух отопительных приборов.
6.43. Кухня или помещение, где устанавливаются котлы, аппараты и газовые водонагреватели, должны иметь вентиляционный канал. Для притока воздуха следует предусматривать в нижней части двери или стены, выходящей в смежное помещение, решетку или зазор между дверью и полом с живым сечением не менее 0,02 м2.
6.44*. Не допускается размещение всех газовых приборов в подвальных этажах (подвалах), а при газоснабжении СУГ — в подвальных и цокольных этажах зданий любого назначения.
Примечание. Требования данного пункта не распространяются на жилые дома, принадлежащие гражданам на правах личной собственности, если подвалы этих домов имеют естественное освещение, а газоснабжение их осуществляется от природного газа.
6.47. Для отопления помещений допускается предусматривать газовые камины, калориферы и другие приборы заводского изготовления с отводом продуктов сгорания в дымоход. Газогорелочные устройства этих приборов должны быть оснащены автоматикой безопасности в соответствии с требованиями, предусмотренными разд. 11.
11. МАТЕРИАЛЫ И ТЕХНИЧЕСКИЕ ИЗДЕЛИЯ
ОБЩИЕ УКАЗАНИЯ
11.1. Материалы и технические изделия, предусматриваемые в проектах систем газоснабжения, должны быть экономичными, надежными и соответствовать требованиям государственных стандартов или технических условий, утвержденных в установленном порядке и прошедших государственную регистрацию в соответствии с ГОСТ 2.114-70.
11.3. Допускается применять не предусмотренные настоящим разделом отечественные и импортные материалы и технические изделия, в том числе трубы, если они соответствуют требованиям настоящих норм.
Возможность замены труб и других технических изделий, принятых в проекте, должна определяться организацией — автором проекта.
СТАЛЬНЫЕ ТРУБЫ
11.5*. Для строительства систем газоснабжения следует применять стальные прямошовные и спиральношовные сварные и бесшовные трубы, изготовленные из хорошо сваривающейся стали, содержащей не более 0,25% углерода, 0,056% серы и 0,046% фосфора.
Толщину стенок труб следует определять расчетом в соответствии с требованиями СНиП 2.04.12-86 и принимать ее номинальную величину ближайшей большей по стандартам или техническим условиям на трубы, допускаемые настоящими нормами к применению. При этом для подземных и наземных (в насыпях) газопроводов номинальную толщину стенки труб следует принимать не менее 3 мм, а для наружных надземных и наземных газопроводов — не менее 2 мм.
Выбор стальных труб для конкретных условий строительства систем газоснабжения следует производить в соответствии с обязательным прил. 7 СНиП 2.04.08-87*.
11.6. Стальные трубы для строительства наружных и внутренних газопроводов следует предусматривать групп В и Г, изготовленных из спокойной малоуглеродистой стали группы В по ГОСТ 380—88 не ниже второй категории (для газопроводов диаметром более 530 мм при толщине стенки труб более 5 мм, как правило, не ниже третьей категории) марок Ст2, СтЗ, а также Ст4 при содержании в ней углерода не более 0,25%; стали марок 08, 10, 15, 20 по ГОСТ 1050— 88; низколегированной стали марок 09Г2С, 17ГС, 17Г1С ГОСТ 19281—89 не ниже шестой категории; стали 10Г2 ГОСТ 4543—71.
11.7*. Допускается применять стальные трубы, указанные в п.11.6, но изготовленные из полуспокойной и кипящей стали, в следующих случаях:
- для подземных газопроводов, сооружаемых в районах с расчетной температурой наружного воздуха до минус 30 °С включ.;
- для надземных газопроводов, сооружаемых в районах с расчетной температурой наружного воздуха до минус 10 °С включ., — трубы из полуспокойной и кипящей стали и с расчетной температурой до минус 20 °С включ. — трубы из полуспокойной стали;
- для внутренних газопроводов с толщиной стенки не более 8 мм, если температура стенок труб в процессе эксплуатации не будет понижаться ниже 0 °С для труб из кипящей стали и ниже минус 10 °С для труб из полуспокойной стали.
11.8. Для наружных и внутренних газопроводов низкого давления, в том числе для их гнутых отводов и соединительных частей, допускается применять трубы групп А, Б, В, изготовленные из спокойной, полуспокойной и кипящей стали марок Ст1, Ст2, СтЗ, Ст4 — категорий 1,2,3 групп А, Б и В по ГОСТ 380-88 и 08,10,15, 20 по ГОСТ 1050 — 88. Сталь марки 08 допускается применять при технико-экономическом обосновании, марки Ст4 — при содержании в ней углерода не более 0,25 %.
11.10. Сварное соединение сварных труб должно быть равнопрочно основному металлу труб или иметь гарантированный заводом-изготовителем согласно стандарту или техническим условиям на трубы коэффициент прочности сварного соединения. Указанное требование следует вносить в заказные спецификации на трубы.
Допускается применять трубы по ГОСТ 3262— 75, сварные швы которых не имеют характеристики прочности сварного соединения, на давление газа, указанное в обязательном прил 7.
11.13. Трубы, предусматриваемые для систем газоснабжения, должны быть испытаны гидравлическим давлением на заводе-изготовителе или иметь запись в сертификате о гарантии того, что трубы выдержат гидравлическое давление, величина которого соответствует требованиям стандартов или технических условий на трубы.
СОЕДИНИТЕЛЬНЫЕ ЧАСТИ И ДЕТАЛИ
11.15. Соединительные части и детали для систем газоснабжения следует предусматривать из спокойной стали (литые, кованые, штампованные, гнутые или сварные) или из ковкого чугуна, изгототовленными в соответствии с государственными и отраслевыми стандартами, приведенными в табл. 28.
Таблица 28
| Соединительные части и детали | Стандарт |
|---|---|
| 1. Из ковкого чугуна с цилиндрической резьбой | |
| Угольники | ГОСТ 8946—75 |
| ГОСТ 8947—75 | |
| Тройники | ГОСТ 8948-75 |
| ГОСТ 8949-75 | |
| ГОСТ 8950— 75 | |
| Кресты | ГОСТ 8951—75 |
| ГОСТ 8952— 75 | |
| ГОСТ 8953-75 | |
| Муфты | ГОСТ 8954— 75 |
| ГОСТ 8955-75 | |
| ГОСТ 8956-75 | |
| ГОСТ 8957— 75 | |
| Гайки соединительные | ГОСТ 8959-75 |
| Пробки | ГОСТ 8963— 75 |
| 2. Стальные с цилиндрической резьбой | |
| Муфты | ГОСТ 8966—75 |
| Контргайки | ГОСТ 8968-75 |
| Сгоны | ГОСТ 8969— 75 |
| 3. Стальные приварные | |
| Отводы | ГОСТ 17375— 83 |
| ОСТ 36-42-81 | |
| ОСТ 36-43-81 | |
| ОСТ 36-21-77 | |
| ОСТ 36-20-77 | |
| ОСТ 34-42-750-85 | |
| ОСТ 34-42-752-85 | |
| ОСТ 180-030-129-79 | |
| Переходы | ГОСТ 17378-83 |
| ОСТ 36-44-81 | |
| ОСТ 36-22-77 | |
| ОСТ 34-42-753-85 | |
| ОСТ 34-42-754-85 | |
| Тройники | ГОСТ 17376—83, ОСТ 36-23-77, ОСТ 36-24-77, ОСТ 36-45-81, ОСТ 36-46-81, ОСТ 34-42-762-85, ОСТ 34-42-754-85 |
| Заглушки | ГОСТ 17379-83, ОСТ 36-25-77, ОСТ 36-47-81, ОСТ 36-48-81, ОСТ 34-42-758-85, ОСТ 34-42-759-85 |
Примечание. Для строительства газопроводов допускается применение соединительных частей и деталей по ОСТ 102-54-81 — ОСТ 102-62-81 и по ОСТ 102-39-85- О С Т 102-45-85.
Допускается применять соединительные части и детали, изготовленные по чертежам, выполненным проектными организациями с учетом технических требований одного из стандартов на соответствующую соединительную часть или деталь.
Соединительные части и детали систем газоснабжения допускается изготавливать из стальных бесшовных и прямошовных сварных труб или листового проката, металл которых отвечает техническим требованиям, предусмотренным пп. 11.5* — 11.12 для соответствующего газопровода.
11.16. Соединительные части и детали должны быть заводского изготовления. Допускается применение соединительных частей и деталей, изготовленных на базах строительных организаций, при условии контроля всех сварных соединений (для сварных деталей) неразрушающими методами.
11.17. Фланцы, применяемые для присоединения к газопроводам арматуры, оборудования и приборов, должны соответствовать ГОСТ 12820— 80 и ГОСТ 128221-80.
11.18. Для уплотнения фланцевых соединений следует применять прокладки, изготовленные из материалов, указанных в табл. 29 СНиП 2.04.08-87*.
Допускается предусматривать прокладки из другого уплотнительного материала, обеспечивающего не меньшую герметичность по сравнению с материалами, приведенными в табл. 29 (с учетом среды, давления и температуры).
ПРИЛОЖЕНИЕ 6
Справочное
ОТВОД ПРОДУКТОВ СГОРАНИЯ
1. Отвод продуктов сгорания от бытовых газовых приборов, печей и другого бытового газового оборудования, в конструкции которых предусмотрен отвод продуктов сгорания в дымоход, следует предусматривать от каждого прибора, агрегата или печи по обособленному дымоходу.
В существующих зданиях допускается предусматривать присоединение к одному дымоходу не более двух водонагревателей или отопительных печей, расположенных на одном или разных этажах здания, при условии ввода продуктов сгорания в дымоход на разных уровнях, не ближе 0,75 м один от другого, или на одном уровне с устройством в дымоходе рассечки на высоту не менее 0,75 м.
2. В существующих зданиях при отсутствии дымоходов допускается предусматривать устройство приставных дымоходов.
3. Допускается присоединение к дымоходу отопительной печи периодического действия газового водонагревателя, используемого для горячего водоснабжения, или другого газового прибора, не работающего непрерывно, при условии разновременной работы и достаточного сечения дымохода для удаления продуктов сгорания от присоединяемого прибора.
Присоединение дымоотводящей трубы газового прибора к оборотам дымохода отопительной печи не допускается.
4. Площадь сечения дымохода не должна быть меньше площади патрубка газового прибора, присоединяемого к дымоходу. При присоединении к дымоходу двух приборов, печей и т. п. сечение дымохода следует определять с учетом одновременной их работы. Конструктивные размеры дымоходов должны определяться расчетом.
5. Небытовые газовые приборы (ресторанные плиты, пищеварочные котлы и т. п.) допускается присоединять как к обособленным, так и общему дымоходу.
Допускается предусматривать соединительные дымоотводящие трубы, общие для нескольких агрегатов.
Ввод продуктов сгорания в общий дымоход для нескольких приборов следует предусматривать на разных уровнях или на одном уровне с устройством рассечек согласно п. 1.
Сечения дымоходов и соединительных труб должны определяться расчетом исходя из условия одновременной работы всех приборов, присоединенных к дымоходу.
6*. Дымоходы должны быть вертикальными, без уступов. Допускается уклон дымохода от вертикали до 30° с отклонением в сторону до 1 м при обеспечении площади сечения наклонных участков дымохода не менее сечения вертикальных участков.
7. Для отвода продуктов сгорания от ресторанных плит и других небытовых газовых приборов допускается предусматривать горизонтальные участки дымоходов общей длиной не более 10 м.
Допускается предусматривать дымоходы в перекрытии с устройством противопожарной разделки для горючих конструкций перекрытия.
8. Присоединение газовых водонагревателей и других газовых приборов к дымоходам следует предусматривать трубами, изготовленными из кровельной стали.
Суммарную длину участков соединительной трубы в новых зданиях следует принимать не более 3 м, в существующих зданиях — не более 6 м.
Уклон трубы следует назначить не менее 0,01 в сторону газового прибора.
На дымоотводящих трубах допускается предусматривать не более трех поворотов с радиусом закругления не менее диаметра трубы.
Ниже места присоединений дымоотводящей трубы от прибора к дымоходам должно быть предусмотрено устройство «кармана» с люком для чистки.
Дымоотводящие трубы, прокладываемые через неотапливаемые помещения, при необходимости должны быть покрыты теплоизоляцией.
9. Расстояние от соединительной дымоотводящей трубы до потолка или стены из негорючих материалов следует принимать не менее 5 см, до деревянных оштукатуренных потолков и стен — не менее 25 см. Допускается уменьшение указанного расстояния с 25 до 10 см при условии обивки деревянных оштукатуренных стен или потолка кровельной сталью по листу асбеста толщиной 3 мм. Обивка должна выступать за габариты дымоотводящей трубы на 15 см с каждой стороны.
10. При присоединении к дымоходу одного прибора, а также приборов со стабилизаторами тяги шиберы на дымоотводящих трубах не предусматриваются.
При присоединении к общему дымоходу нескольких приборов: ресторанных плит, кипятильников и других газовых приборов, не имеющих стабилизаторов тяги, на дымоотводящих трубах от приборов должны предусматриваться шиберы (заслонки), имеющие отверстие диаметром не менее 15 мм.
11. В шиберах, установленных на дымоходах от котлов, должны предусматриваться отверстия диаметром не менее 50 мм.
12. Дымовые трубы от газовых приборов в зданиях должны быть выведены:
- выше границы зоны ветрового подпора, но не менее 0,5 м выше конька крыши при расположении их (считая по горизонтали) не далее 1,5 м от конька крыши;
- в уровень с коньком крыши, если они отстоят на расстоянии до 3 м от конька крыши;
- не ниже прямой, проведенной от конька вниз под углом 10 ° к горизонту, при расположении труб на расстоянии более 3 м от конька крыши.
Во всех случаях высота трубы над прилегающей частью крыши должна быть не менее 0,5 м, а для домов с совмещенной кровлей (плоской крышей) — не менее 2,0 м.
Установка на дымоходах зонтов и дефлекторов не допускается.
ПРИЛОЖЕНИЕ 7*
Обязательное
ВЫБОР СТАЛЬНЫХ ТРУБ ДЛЯ СИСТЕМ ГАЗОСНАБЖЕНИЯ
1. Стальные трубы для систем газоснабжения давлением до 1,6 МПа (16 кгс/см2) в зависимости от расчетной температуры наружного воздуха района строительства и местоположения газопровода относительно поверхности земли следует принимать:
по табл. 1* — для наружных надземных газопроводов, прокладываемых в районах с расчетной температурой наружного воздуха не ниже минус 40 °С, а также подземных и внутренних газопроводов, которые не охлаждаются до температуры ниже минус 40 °С; по табл. 2* — для надземных газопроводов, прокладываемых в районах с расчетной температурой наружного воздуха ниже минус 40 °С и подземных газопроводов, которые могут охлаждаться до температуры ниже минус 40 °С.
2. Для систем газоснабжения следует принимать трубы, изготовленные, как правило, из углеродистой стали обыкновенного качества по ГОСТ 380—88 и качественной стали по ГОСТ 1050—88.
3. Для газопроводов жидкой фазы СУГ следует применять, как правило, бесшовные трубы.
Допускается применять для этих газопроводов электросварные трубы. При этом трубы диаметром до 50 мм должны пройти 100 %-ный контроль сварного шва неразрушающими методами, а трубы диаметром 50 мм и более также и испытание сварного шва на растяжение.
4*. Трубы по ГОСТ 3262— 75 допускается применять для строительства наружных и внутренних газопроводов низкого давления.
Трубы по ГОСТ 3262— 75 с условным диаметром до 32 мм включ. допускается применять для строительства импульсных газопроводов давлением до 1,2 МПа (12 кгс/см2) включ. При этом гнутые участки импульсных газопроводов должны иметь радиус гиба не менее 2De, а температура стенки трубы в период эксплуатации не должна быть ниже 0°С.
5*. Трубы со спиральным швом по ТУ 102-39-84 с противокоррозионным покрытием по ТУ 102-176-85 допускается применять только для подземных межпоселковых газопроводов природного газа с давлением до 1,2 МПа (12 кгс/см2) в районах с расчетной температурой наружного воздуха до минус 40 °С включ.
При этом не разрешается применять-данные трубы для выполнения упругого изгиба (поворота) газопровода в вертикальной и горизонтальной плоскостях радиусом менее 1500 диаметра трубы, а также для проклёдки газопроводов в поселениях.
6. Возможность применения труб по государственным стандартам и техническим условиям, приведенным в табл. 1* и 2* настоящего приложения, но изготовленных из полуспокойной и кипящей стали, регламентируется лп. 11.7,11.8.
7. Трубы по ГОСТ 8731— 87, изготовляемые из слитка, не разрешается применять без проведения 100%-ного контроля неразрушающими методами металла труб.
При заказе труб по ГОСТ 8731— 87 необходимо указывать, что трубы по этому стандарту, изготовляемые из слитка, не разрешается поставлять без 100 %-ного контроля неразрушающими методами.
Стальные трубы для строительства наружных надземных газопроводов, прокладываемых в районах с расчетной температурой наружного воздуха не ниже минус 40 °С, а также подземных и внутренних газопроводов, которые не охлаждаются до температуры ниже минус 40°С
Таблица 1*
| Стандарт или технические условия на трубы | Марка стали, стандарт на сталь | Наружный диаметр трубы (включ.), мм |
|---|---|---|
| 1. Электросварные прямошовные, ГОСТ 10705—80 (группа В) «Технические условия» и ГОСТ 10704— 91 «Сортамент» | ВСт2сп, ВСтЗсп не менее 2-й категории, ГОСТ 380—88; 10, 15, 20, ГОСТ 1050—88 | 10-530 |
| 2. Электросварные, ТУ 14-3-943-80 | ВСтЗсп не менее 2-й категории, ГОСТ 380-88; 10, ГОСТ 1050-88 | 219-530 |
| 3. Электросварные для магистральных газонефтепродуктов (прямошовные и спиральношовные), ГОСТ 20295— 85 | ВСтЗсп не менее 2-й категории (К38), ГОСТ 380-88; 10(К34), 15(К38), 20(К42), ГОСТ 1050-88 | По ГОСТ 20295-85 |
| 4. Электросварные прямошовные, ГОСТ 10706—76 (группа В) «Технические требования» и ГОСТ 10704— 91 «Сортамент» | ВСт2сп, ВСтЗсп не менее 2-й категории, ГОСТ 380—88 | 630-1220 |
| 5. Электросварные со спиральным швом, ГОСТ 8696—74 (группа В) | ВСт2сп, ВСтЗсп не менее 2-й категории, ГОСТ 380—88 | 159-1220 |
| 6. Бесшовные горячедеформированные, ГОСТ 8731—87 (группы В и Г) «Технические требования» и ГОСТ 8732— 78 «Сортамент» | 10, 20, ГОСТ 1050-88 | 45-325 |
| 7. Бесшовные холоднодеформированные, теплодеформированные, ГОСТ 8733—87 (группы В и Г) «Технические требования» и ГОСТ 8734—75 «Сортамент» | 10, 20. ГОСТ 1050-88 | 10-45 |
| 8. Электросварные спиральношовные, ТУ 14-3-808-78 | ТУ 14-3-808-78 | 530-820; 1020; 1220 |
| 9. Бесшовные горячедеформированные, ТУ 14-3-190-82 (только для тепловых электростанций) | 10, 20, ГОСТ 1050-88 | 57— 426 |
Примечания: 1. Трубы по пп. 6 и 7 следует применять, как правило, для газопроводов жидкой фазы СУГ.
2. Исключено.
3. Для тепловых электростанций трубы из стали 20 применять в районах с расчетной температурой до минус 30 °С.
Стальные трубы для строительства надземных газопроводов, прокладываемых в районах с расчетной температурой наружного воздуха ниже минус 40 °С, и подземных газопроводов, которые могут охлаждаться до температуры ниже минус 40 °С
Таблица 2*
| Стандарт или технические условия на трубы | Марка стали, стандарт на сталь | Наружный диаметр трубы (включ.), мм |
|---|---|---|
| 1. Бесшовные холоднодеформированные и теплодеформированные, ГОСТ 8733—87 (группы В и Г) «Технические требования» и ГОСТ 8734— 75 «Сортамент» | 10, 20, ГОСТ 1050-88 | 10-103 |
| 2. Бесшовные горячедеформированные, ГОСТ 8731—87 (группы В и Г) «Технические требования» и ГОСТ 8732— 78 «Сортамент» | 10, 20, ГОСТ 1050—88, 09Г2С категория 6, ГОСТ 19281—89, 10 Г2, ГОСТ 4543-71 | 45-108; 127— 325 |
| 3. Бесшовные горячедеформированные, ТУ 14-3-1128-82 | 09Г2С категории 6— 8, ГОСТ 19281—89 | 57—426 |
| 4. Электросварные прямошовные, ТУ 14-3-1138-82 | 17Г1С-У, ТУ 14-3-1138-82 | 1020; 1220 |
| 5. Электросварные для магистральных газонефтепродуктов (прямошовные и спиральношовные), ГОСТ 20295-85 | 17Г1С (К52), 17ГС (К52); 14ХГС (К50) категории 6—8, ГОСТ 19282—73 | По ГОСТ 20295-85 |
| 6. Электросварные прямошовные, ГОСТ 10705—80 (группа В) «Технические условия» и ГОСТ 10704—91 «Сортамент» | ВСтЗсп не менее 2-й категории, ГОСТ 380-88; 10,15, 20, ГОСТ 1050-88 | 10-108 |
Примечания: 1. Трубы по п. 6 для газопроводов давлением свыше 0,6 МПа (6 кгс/смг) не применять.
2. Трубы изготовляемые из стали 20, следует применять как исключение.
ПРАВИЛА ПРОИЗВОДСТВА РАБОТ И РЕМОНТ ПЕЧЕЙ ДЫМОХОДОВ И ГАЗОХОДОВ
3.63. Расчетные потери теплоты в помещениях должны компенсироваться средней тепловой мощностью отопительных печей: с периодической топкой — исходя из двух топок в сутки, а для печей длительного горения — исходя из непрерывной топки.
Колебания температуры воздуха в помещениях с периодической топкой не должны превышать 3°С в течение суток.
3.64. Максимальная температура поверхности печей (кроме чугунного настила, дверок и других печных приборов) не должна превышать, °С:
110 — в зданиях и помещениях на площади печи не более 15 % общей площади поверхности печи;
120 — то же, на площади печи не более 5 % общей площади поверхности печи.
3.65. Одну печь следует предусматривать для отопления не более трех помещений, расположенных на одном этаже.
3.66. В двухэтажных зданиях допускается предусматривать двухъярусные печи с обособленными топливниками и дымоходами для каждого этажа, а для двухъярусных квартир — с одной топкой на первом этаже. Применение деревянных балок в перекрытии между верхним и нижним ярусами печи не допускается.
3.68. В зданиях с печным отоплением не допускаются:
а) устройство вытяжной вентиляции с искусственным побуждением, не компенсированной притоком с искусственным побуждением;
б) отвод дыма в вентиляционные каналы и установка вентиляционных решеток на дымовых каналах.
3.69. Печи, как правило, следует размещать у внутренних стен и перегородок из негорючих материалов, предусматривая использование их для размещения дымовых каналов.
Дымовые каналы допускается размещать в наружных стенах из негорючих материалов, утепленных, при необходимости, с наружной стороны для исключения конденсации влаги из отводимых газов. При отсутствии стен, в которых могут быть размещены дымовые каналы, для отвода дыма следует применять насадные или коренные дымовые трубы.
3.70. Для каждой печи, как правило, следует предусматривать отдельную дымовую трубу или канал (далее — «труба»). Допускается присоединять к одной трубе две печи, расположенные в одной квартире на одном этаже. При соединении труб следует предусматривать рассечки толщиной 0,12 м и высотой не менее 1 м от низа соединения труб.
3.71. Сечение дымовых труб (дымовых каналов) в зависимости от тепловой мощности печи следует принимать, мм, не менее:
140x140 — при тепловой мощности печи до 3,5 кВт
140x200 — « « « « от 3,5 « 5,2 «
140x270 — « « « « « 5,2« 7«.
Площадь сечения круглых дымовых каналов должна быть не менее площади указанных прямоугольных каналов.
3.72. На дымовых каналах печей, работающих на дровах, следует предусматривать установку последовательно двух плотных задвижек, а на каналах печей, работающих на угле или торфе, — одной задвижки с отверстием в ней диаметром 15 мм.
3.73. Высоту дымовых труб, считая от колосниковой решетки до устья, следует принимать не менее 5 м.
Высоту дымовых труб, размещаемых на расстоянии, равном или большем высоты сплошной конструкции, выступающей над кровлей, следует принимать:
- не менее 500 мм — над плоской кровлей;
- не менее 500 мм — над коньком кровли или парапетом при расположении трубы на расстоянии до 1,5 м от конька или парапета;
- не ниже конька кровли или парапета — при расположении дымовой трубы на расстоянии от 1,5 до 3 м от конька или парапета;
- не ниже линии, проведенной от конька вниз под углом 10° к горизонту, — при расположении дымовой трубы от конька на расстоянии более 3 м.
Дымовые трубы следует выводить выше кровли более высоких зданий, пристроенных к зданию с печным отоплением.
Высоту вытяжных вентиляционных каналов, расположенных рядом с дымовыми трубами, следует принимать равной высоте этих труб.
3.74.* Дымовые трубы следует проектировать вертикальными без уступов из глиняного кирпича со стенками толщиной не менее 120 мм или из жаростойкого бетона толщиной не менее 60 мм, предусматривая в их основаниях карманы глубиной 250 мм с отверстиями для очистки, закрываемые дверками.
Допускается принимать отклонения труб под углом до 30° к вертикали, с относом не более 1 м; наклонные участки должны быть гладкими, постоянного сечения, площадью не менее площади поперечного сечения вертикальных участков.
3.75.* Устья кирпичных дымовых труб на высоту 0,2 м следует защищать от атмосферных осадков. Устройство зонтов, дефлекторов и других насадок на дымовых трубах не допускается.
3.76. Дымовые трубы на зданиях с кровлями из горючих материалов следует предусматривать с искроуловителями из металлической сетки с отверстиями размером не более 5x5 мм.
3.77. * Размеры разделок следует принимать в соответствии с обязательным приложением 16 СНиП 2.04.05-91*. Разделка должна быть больше толщины перекрытия (потолка) на 70 мм. Опирать или жестко соединять разделку печи с конструкцией здания не следует.
Толщину стенок дымовых труб или дымовых каналов в месте примыкания их к металлическим или железобетонным балкам следует принимать 130 мм.
3.78. Разделки печей и труб, установленных в проемах стен и перегородок из горючих материалов, следует предусматривать на всю высоту печи или дымовой трубы в пределах помещения.
При этом толщину разделки следует принимать не менее толщины указанной стены или перегородки.
3.79. Зазоры между перекрытиями, стенами, перегородками и разделками следует предусматривать с заполнением негорючими материалами.
3.80. Отступку — пространство между наружной поверхностью печи, дымовой трубы или дымового канала и стеной, перегородкой или другой конструкцией здания, выполненных из горючих и трудногорючих материалов, следует принимать в соответствии с обязательным приложением 16 СНиП 2.04.05-91*, а для печей заводского изготовления — по документации завода-изготовителя.
Отступки у печей в зданиях детских дошкольных и лечебно-профилактических учреждений следует предусматривать закрытыми со стенами и покрытием из негорючих материалов.
В стенах, закрывающих отступку, следует предусматривать отверстия над полом и вверху с решетками площадью живого сечения каждая не менее 150 см2. Пол в закрытой отступке следует предусматривать из негорючих материалов и располагать на 70 мм выше пола помещения.
3.81. Расстояние между верхом перекрытия печи, выполненного из трех рядов кирпича, и потолком из горючих или трудногорючих материалов, защищенным штукатуркой по стальной сетке или стальным листом по асбестобому картону толщиной 10 мм, следует принимать 250 мм для печей с периодической топкой и 700 мм — для печей длительного горения, а при незащищенном потолке соответственно 350 и 1000 мм. Для печей, имеющих перекрытие из двух рядов кирпича, указанные расстояния следует увеличивать в 1,5 раза.
Расстояние между верхом металлической печи с теплоизолированным перекрытием и защищенным потолком следует принимать 800 мм, а для печи с нетеплоизолированным перекрытием и незащищенным потолком — 1200 мм.
3.82. Пространство между перекрытием (перекрышей) теплоемкой печи и потолком из горючих и трудногорючих материалов допускается закрывать со всех сторон кирпичными стенками. Толщину перекрытия печи при этом следует увеличивать до четырех рядов кирпичной кладки, а расстояние от потолка принимать в соответствии с п.3.81. В стенах закрытого пространства над печью следует предусматривать два отверстия на разном уровне с решетками, имеющими площадь живого сечения каждая не менее 150 см2.
3.83. Расстояние от наружных поверхностей кирпичных или бетонных дымовых труб до стропил, обрешеток и других деталей кровли из горючих и трудногорючих материалов следует предусматривать в свету не менее 130 мм, от керамических труб без изоляции — 250 мм, а при теплоизоляции с сопротивлением теплопередаче — 0,3 м2°С/Вт негорючими или трудногорючими материалами — 130 мм.
Пространство между дымовыми трубами и конструкциями кровли из негорючих и трудногорючих материалов следует перекрывать негорючими кровельными материалами.
3 .8 4 . Конструкции зданий следует защищать от возгорания:
а) пол из горючих и трудногорючих материалов под топочной дверкой металлическим листом размером 700x500 мм, располагаемым длинной его стороной вдоль печи;
б) стену или перегородку из негорючих материалов, примыкающую под углом к фронту печи, — штукатуркой толщиной 25 мм по металлической сетке или металлическим листом по асбестовому картону толщиной 8 мм от пола до уровня на 250 мм выше верха топочной дверки.
Расстояние от топочной дверки до противоположной стены следует принимать не менее 1250 мм.
3.85. Минимальные расстояния от уровня пола до дна газооборотов и зольников следует принимать:
а) при конструкции перекрытия или пола из горючих и трудногорючих материалов до дна зольника 140 мм, до дна газооборота — 210 мм;
б) при конструкции перекрытия или пола из негорючих материалов — на уровне пола.
3.86. Пол из горючих материалов под каркасными печами, в том числе на ножках, следует защищать от возгорания листовой сталью по асбестовому картону толщиной 10 мм, при этом расстояние
от низа печи до пола должно быть не менее 100 мм.
3.87. Для присоединения печей к дымовым трубам допускается предусматривать патрубки длиной не более 0,4 м при условии:
а) расстояние от верха патрубка до потолка из горючих материалов должно быть не менее 0,5 м при отсутствии защиты потолка от возгорания и не менее 0,4 м — при наличии защиты;
б) расстояние от низа патрубка до пола из горючих или трудногорючих материалов должно быть не менее 0,14 м.
Патрубки следует принимать из негорючих материалов, обеспечивая предел огнестойкости 0,75 ч и более.
НОРМАТИВНЫЕ ССЫЛКИ
Закон Российской Федерации «Об охране окружающей среды», 1991 г.
Закон Российской Федерации «О недрах», 1992 г.
Федеральный закон «О внесении изменений и дополнений в Закон Российской Федерации «О недрах»»
Закон Российской Федерации «О санитарноэпидемическом благополучии населения», 1991 г.
Федеральный закон о экологической экспертизе, 1995 г.
Закон Российской Федерации «Об энергосбережении», 1995 г.
Водный кодекс Российской Федерации, 1995 г.
СНиП 10-01-94 «Система нормативных документов в строительстве. Основные положения»
СНиП 11-12-77 «Защита от шума»
СНиП 2.04.01-85* «Внутренний водопровод и канализация зданий»
СНиП 2.04.02-84* «Водоснабжение. Наружные сети и сооружения»
СНиП 2.04.03-85 «Канализация. Наружные сети и сооружения»
СНиП 2.04.08-87* «Газоснабжение»
СНиП 2.04.05-91* «Отопление, вентиляция и кондиционирование»
СНиП 2.07.01-89 «Градостроительство. Планирование городских и сельских поселений»
СНиП 2.08,01-89* «Жилые здания»
СНиП 23-05-95 «Естественное и искусственное освещение»
СНиП 3.05.01-85 «Внутренние санитарно-технические системы»
СНиП 3.05.04-85 «Наружные сети и сооружения водоснабжения и канализации»
СанПиН 2.1.4.027-95 «Зоны санитарной охраны источников водоснабжения и водопроводов хозяйственно-питьевого назначения»
СанПиН 2.1.4.031 -95 «Зоны санитарной охраны источников хозяйственно-питьевого водоснабжения г.Москвы»
СанПиН 2.1.4.559-96 «Питьевая вода. Гигиенические требования к качеству воды централизованного питьевого водоснабжения. Контроль качества»
СанПиН 4630-88 «Санитарные правила и нормы охраны поверхностных вод от загрязнения»
Правила охраны водоемов от загрязнения сточными водами
СанПиН 42-128-4690-88 «Санитарные правила содержания территорий населенных мест»
ГОСТ 2874— 82* «Вода питьевая. Гигиенические требования и контроль за качеством»
ГОСТ 5542— 87 «Газы горючие природные для промышленного и коммунально-бытового назначения. Технические условия»
ГОСТ 9.602— 89* «ЕСЗКС. Сооружения подземные. Общие требования к защите от коррозии»
ГОСТ 13109— 87 «Электрическая энергия. Требования к качеству электрической энергии в электрических сетях общего назначения»
ГОСТ 20448— 90 «Газы углеводородные сжиженные топливные для коммунально-бытового потребления. Технические условия»
ГОСТ 23274— 84* «Здания мобильные (инвентарные). Электроустановки. Общие технические условия»
ГОСТ 25297— 82 «Установки компактные для очистки поверхностных вод на питьевые нужды. Типы, основные параметры и размеры»
ГОСТ 25298-82* «Установки компактные для очистки бытовых сточных вод. Типы, основные параметры и размеры»
РДС 10-232-94 «Система сертификации»
ГОСТ Р. Порядок проведения сертификации продукции в строительстве»
Правила безопасности в газовом хозяйстве
Положения о порядке лицензирования пользования недрами, 1992 г.
НПБ 106-95 «Индивидуальные дома. Противопожарные требования»
Правила технической эксплуатации систем водоснабжения и водоотведения населенных мест
ПУЭ «Правила устройства электроустановок»