Системы подачи воздуха на горение и удаление продуктов сгорания для теплогенераторов на газовом топливе. СП 280.1325800.2016
СП 280.1325800.2016
СВОД ПРАВИЛ
Правила проектирования и устройства
ОКС 91.140.20
Дата введения 2017-06-17
Предисловие
Сведения о своде правил
1 ИСПОЛНИТЕЛЬ - Общество с ограниченной ответственностью "СанТехПроект"
2 ВНЕСЕН Техническим комитетом по стандартизации ТК 465 "Строительство"
3 ПОДГОТОВЛЕН к утверждению Департаментом градостроительной деятельности и архитектуры Министерства строительства и жилищно-коммунального хозяйства Российской Федерации (Минстрой России)
4 УТВЕРЖДЕН Приказом Министерства строительства и жилищно-коммунального хозяйства Российской Федерации от 16 декабря 2016 г. N 945/пр и введен в действие с 17 июня 2017 г.
5 ЗАРЕГИСТРИРОВАН Федеральным агентством по техническому регулированию и метрологии (Росстандарт)
6 ВВЕДЕН ВПЕРВЫЕ
В случае пересмотра (замены) или отмены настоящего свода правил соответствующее уведомление будет опубликовано в установленном порядке. Соответствующая информация, уведомление и тексты размещаются также в информационной системе общего пользования - на официальном сайте разработчика (Минстрой России) в сети Интернет
Содержание
- Введение
- 1. Область применения
- 2. Нормативные ссылки
- 3. Термины и определения
- 4. Общие положения
- 5. Рекомендуемые схемы подачи воздуха и удаления продуктов сгорания
- 6. Требования к системам подачи воздуха и удаления продуктов сгорания топлива
- Приложение А. Методика аэродинамического расчета системы подачи воздуха на горение и удаления продуктов сгорания
- Приложение Б. Пример аэродинамического расчета
- Библиография
Введение
Настоящий свод правил разработан в соответствии с требованиями федеральных законов от 30 декабря 2009 г. N 384-ФЗ "Технический регламент о безопасности зданий и сооружений", от 22 июля 2008 г. N 123-ФЗ "Технический регламент о требованиях пожарной безопасности", от 23 ноября 2009 г. N 261-ФЗ "Об энергосбережении и о повышении энергетической эффективности и о внесении изменений в отдельные законодательные акты Российской Федерации".
Свод правил разработан ООО "СанТехПроект" (канд. тех. наук А.Я.Шарипов, инж. А.С.Богаченкова, инж. М.А.Шарипов, инж. Д.Ф.Каримов, инж. Н.А.Александрович, инж. И.Д.Монастыренко) при участии ФГБОУ ВПО "МГСУ" (д-р техн. наук, проф. П.А.Хаванов), ПКБ ООО "Теплоэнергетика" (канд. техн. наук Е.Л.Палей).
1. Область применения
1.1 Настоящий свод правил распространяется на проектирование, строительство и эксплуатацию систем подачи воздуха на горение и удаления продуктов сгорания органического топлива для теплогенераторов на газовом топливе, устанавливаемых в квартирах новых и реконструируемых многоквартирных жилых зданий высотой до 28 м, в том числе имеющих встроенные нежилые помещения общественного назначения.
1.2 Свод правил не распространяется на поквартирные системы теплоснабжения одноквартирных и блокированных жилых домов.
2 Нормативные ссылки
В настоящем своде правил использованы нормативные ссылки на следующие своды правил:
- СП 60.13330.2012 "СНиП 41-01-2003 Отопление, вентиляция и кондиционирование воздуха"
- СП 61.13330.2012 "СНиП 41-03-2003 Тепловая изоляция оборудования и трубопроводов"
Примечание - При пользовании настоящим сводом правил целесообразно проверить действие ссылочных документов в информационной системе общего пользования - на официальном сайте федерального органа исполнительной власти в сфере стандартизации в сети Интернет или по ежегодному информационному указателю "Национальные стандарты", который опубликован по состоянию на 1 января текущего года, и по выпускам ежемесячного информационного указателя "Национальные стандарты" за текущий год. Если заменен ссылочный документ, на который дана недатированная ссылка, то рекомендуется использовать действующую версию этого документа с учетом всех внесенных в данную версию изменений. Если заменен ссылочный документ, на который дана датированная ссылка, то рекомендуется использовать версию этого документа с указанным выше годом утверждения (принятия). Если после утверждения настоящего свода правил в ссылочный документ, на который дана датированная ссылка, внесено изменение, затрагивающее положение, на которое дана ссылка, то это положение рекомендуется применять без учета данного изменения. Если ссылочный документ отменен без замены, то положение, в котором дана ссылка на него, рекомендуется применять в части, не затрагивающей эту ссылку. Сведения о действии сводов правил целесообразно проверить в Федеральном информационном фонде стандартов
3. Термины и определения
В настоящем своде правил применены следующие термины с соответствующими определениями:
3.1 воздуховод: Канал или трубопровод прямоугольного или круглого сечения, служащий для подачи к теплогенератору воздуха для горения, забираемого снаружи здания.
3.2 воздухоподвод: Трубопровод круглого сечения, служащий для подачи воздуха от заборного устройства или от коллективного воздуховода до теплогенератора.
3.3 дымоотвод: Трубопровод для отвода дымовых газов от теплогенератора до дымохода.
3.4 дымоход: Вертикальный канал или трубопровод прямоугольного или круглого сечения для создания тяги и отвода продуктов сгорания (дымовых газов) от присоединенных к нему дымоотводов вертикально вверх в атмосферу.
3.5 естественная тяга (самотяга): Разрежение, возникающее в дымоходе за счет разницы плотности наружного воздуха и продуктов сгорания по высоте и принуждающих воздух поступать в топку, а газообразные продукты сгорания двигаться по дымоотводам и дымоходам в атмосферу.
3.6 искусственная тяга: Разрежение, создаваемое дымососом или вентилятором.
3.7 коаксиальный дымоход: Конструктивное решение подачи воздуха и удаления продуктов сгорания совмещенным (соосным) устройством по принципу "труба в трубе".
3.8 коаксиальный дымоотвод: Конструктивное решение подачи воздуха и отвода продуктов сгорания совмещенным (соосным) устройством по принципу "труба в трубе".
3.9 теплогенератор типа В: Теплогенератор с открытой камерой сгорания, подключаемый к индивидуальному дымоходу. Воздух для горения забирается непосредственно из помещения, в котором установлен теплогенератор.
3.10 теплогенератор типа С: Теплогенератор с закрытой камерой сгорания, в котором отвод продуктов сгорания и подача воздуха для горения могут осуществляться за счет встроенного дутьевого вентилятора или дымососа. Система сжигания газового топлива (подача воздуха для горения, камера сгорания, отвод продуктов горения) в этих теплогенераторах газоплотна по отношению к помещениям.
4. Общие положения
4.1 Свод правил развивает требования СП 60.13330 в части проектирования поквартирных систем теплоснабжения многоквартирных жилых зданий.
4.2 Аэродинамический расчет газовоздушного тракта теплогенераторов выполняется на основе общепринятых физических зависимостей гидродинамики и аэродинамики с учетом стандартных значений местных сопротивлений конструктивных изделий по справочным данным.
4.3 По результатам аэродинамического расчета систем подачи воздуха на горение и удаление продуктов сгорания определяют сечение дымоходов и воздуховодов, рекомендации по выбору высоты дымовой трубы и ее размещению в зависимости от архитектурно-планировочных решений жилого здания.
4.4 Трассировка дымоотводов и дымоходов, их протяженность, в том числе и для квартир существующего жилого фонда, определяются настоящим сводом правил и инструкциями предприятий - изготовителей данных систем.
4.5 В качестве материала для изготовления дымоотводов и дымоходов предпочтительна нержавеющая сталь.
Использование для изготовления дымоходов и воздуховодов керамических, пластиковых и композитных материалов допускается только при наличии пожарного и санитарно-гигиенического сертификата.
5. Рекомендуемые схемы подачи воздуха и удаления продуктов сгорания
5.1 Общие положения
Системы подачи воздуха и удаления продуктов сгорания теплогенераторов с закрытыми камерами сгорания могут проектироваться по следующим схемам:
- с коаксиальным (совмещенным) устройством подачи воздуха и удаления продуктов сгорания;
- с раздельным устройством подачи воздуха и удаления продуктов сгорания встроенными или пристроенными коллективными воздуховодами и дымоходами;
- с индивидуальным воздуховодом, обеспечивающим забор воздуха через стену и подачу его индивидуально к каждому теплогенератору, и удалением дымовых газов коллективным дымоходом.
Устройство дымоотводов от каждого теплогенератора индивидуально через фасадную стену многоэтажного жилого здания запрещается.
При реконструкции системы теплоснабжения существующего малоэтажного жилого фонда и технической невозможности организации коллективных дымоходов допускается устройство индивидуальных дымоотводов при обязательной разработке мероприятий по обеспечению безопасности в соответствии с [1, статья 6, пункт 8].
5.2 Схемы забора воздуха и удаления продуктов сгорания для теплогенераторов типа В
Схемы забора воздуха и удаление продуктов сгорания для теплогенераторов типа В [с атмосферными горелками (открытие камеры сгорания)] приведены на рисунке 5.1.

а) - отвод продуктов сгорания наружу индивидуально, забор воздуха для горения из помещения; б) - забор воздуха для горения из помещения коаксиальным воздуховодом, отвод продуктов сгорания отдельным дымоотводом или общим дымоходом, проложенным в стене здания или пристроенным к ней
Рисунок 5.1 - Индивидуальное и коаксиальное исполнение
5.3 Схемы забора воздуха и удаления продуктов сгорания для теплогенераторов типа С
5.3.1 Индивидуальное подключение к групповому дымоходу
Схема индивидуального подключения к групповому дымоходу приведена на рисунке 5.2

Рисунок 5.2 - Индивидуальное подключение газовых теплогенераторов к групповому дымоходу
Присоединение к групповому дымоходу, пристроенному к зданию:
- а) - коаксиальное исполнение, вентилятор за теплообменником;
- б) - коаксиальное исполнение, вентилятор перед горелкой;
- в) - раздельное исполнение, без вентилятора;
- г) - раздельное исполнение, вентилятор за теплообменником;
- д) - раздельное исполнение, вентилятор перед горелкой;
1 - дутьевой вентилятор;
2 - слив конденсата;
3 - стабилизатор тяги;
4 - прочистка дымохода
5.3.2 Индивидуальное подключение газовых теплогенераторов. Раздельное исполнение
На рисунке 5.3 показаны топочные устройства с системой отвода продуктов сгорания и подвода воздуха вертикально через крышу. Выпускные отверстия находятся в непосредственной близости друг от друга и в зоне одинакового давления.

а) - коаксиальное исполнение с прерывателем тяги, с вентилятором за теплообменником; б) - коаксиальное исполнение с прерывателем тяги, с дутьевым вентилятором перед горелкой; в) - раздельное совмещенное исполнение с дутьевым вентилятором перед горелкой; г) - раздельное совмещенное исполнение с дутьевым вентилятором за теплообменником
Рисунок 5.3 - Индивидуальное подключение газовых теплогенераторов. Коаксиальное и совмещенное раздельное исполнение
5.3.3 Индивидуальное подключение газовых теплогенераторов. Раздельное исполнение
На рисунке 5.4 показаны топочные устройства с раздельными системами отвода продуктов сгорания и подвода воздуха. Устья этих систем находятся в зонах с различным давлением.

а) дымосос установлен на выходе из топки; б) вентилятор установлен до горелки; 1 - дымосос, дутьевой вентилятор
Рисунок 5.4 - Индивидуальное подключение газовых теплогенераторов. Раздельное исполнение
5.3.4 Индивидуальное подключение газовых теплогенераторов с размещением дымоходов в общей шахте
Схема индивидуального подключения газовых теплогенераторов с размещением дымоходов в общей шахте приведена на рисунке 5.5.

а), г) - коаксиальное исполнение; б), в) - раздельное исполнение; 1 - дутьевой вентилятор
Рисунок 5.5 - Индивидуальное подключение газовых теплогенераторов с размещением дымоходов в общей шахте
5.3.5 Групповое подключение газовых теплогенераторов
На рисунке 5.6 показаны топочные устройства с раздельными системами отвода продуктов сгорания и подвода воздуха, подключающимися к коллективным дымоходам и воздуховодам.

1 - слив конденсата; 3 - стабилизатор тяги; 4 - прочистка дымохода
Рисунок 5.6 - Групповое подключение газовых теплогенераторов с раздельными системами подачи воздуха и удаления продуктов сгорания
5.3.5.1 Групповое подключение газовых теплогенераторов по коаксиальной схеме
Коаксиальная схема группового подключения газовых теплогенераторов приведена на рисунке 5.7.

1 - слив конденсата; 3 - стабилизатор тяги; 4 - прочистка дымохода
Рисунок 5.7 - Групповое подключение газовых теплогенераторов к коаксиальному дымоходу
5.3.6 Подключение газовых теплогенераторов к керамическому коллективному коаксиальному дымоходу
Схема подключения газовых теплогенераторов к керамическому коллективному коаксиальному дымоходу приведена на рисунке 5.8.

1 - покровная плита; 2 - воздушный зазор; 3 - верхняя дверца; 4 - каменная оболочка; 5 - керамическая труба; 6 - тройник для дверцы; 7 - отверстие для выравнивания давления; 8 - емкость для сбора и отвода конденсата; 9 - нейтрализатор конденсата; 10 - дверца; 11 - нейтрализатор конденсата; 12 - теплогенератор; 13 - защитный кожух; 14 - конус
Рисунок 5.8 - Подключение газовых теплогенераторов к керамическому коллективному коаксиальному дымоходу
6. Требования к системам подачи воздуха и удаления продуктов сгорания топлива
6.1 Забор воздуха для горения для теплогенераторов типа В должен проводиться из помещения, в котором он установлен.
6.2 При использовании теплогенераторов типа В система вентиляции здания должна обеспечивать постоянную подачу наружного воздуха в помещение, в котором установлен теплогенератор, в объеме, необходимом для горения газа.
6.3 Для удаления продуктов сгорания от теплогенераторов типа В следует предусматривать индивидуальные для каждого теплогенератора вертикальные дымоходы.
6.4 Забор воздуха для горения для теплогенераторов типа С должен проводиться воздуховодами непосредственно снаружи здания.
6.5 При использовании поквартирных систем теплоснабжения в жилых домах, находящихся в климатических районах со среднесуточной температурой наружного воздуха минус 30°С и ниже, рекомендуется принимать схему подачи воздуха и удаления продуктов сгорания в коаксиальном исполнении.
6.6 Конструкция и размещение дымоходов и воздуховодов определяются в соответствии с принимаемыми архитектурно-планировочными решениями здания исходя из удобства их монтажа и обслуживания.
6.7 Прокладка воздуховодов и газоходов допускается через нежилые помещения, кухни, коридоры, лестничные клетки или лифтовые холлы. При этом они должны иметь ограждения строительными конструкциями с пределом огнестойкости не менее установленных для пересекаемых ограждающих конструкций. Допускается прокладка дымоходов и воздуховодов во внутренних стенах здания. Запрещается прокладка дымоходов и дымоотводов через жилые помещения.
6.8 Дымоотводы и дымоходы должны быть газоплотными, не допускать подсосов воздуха в местах соединений и присоединения дымоотводов к дымоходу и выполняться из материалов, способных противостоять без потери герметичности и прочности ударным механическим нагрузкам, стойких к транспортируемой и окружающей среде. Дымоотводы и дымоходы должны быть надежно закреплены и после монтажа подвергнуты испытаниям на наличие тяги.
Использование для изготовления дымоходов и воздуховодов керамики, пластмассы и других полимерных материалов допускается только при наличии пожарного и санитарно-гигиенического сертификатов.
В качестве материала для изготовления дымоотводов наиболее предпочтительна нержавеющая сталь.
6.9 Коллективные дымоходы и воздуховоды следует проектировать из негорючих (НГ) материалов.
Дымоотводы и подводящие воздуховоды на стене кухни допускается закрывать декоративными ограждениями из негорючих материалов, не снижающими требуемых пределов огнестойкости.
6.10 Конструктивные элементы дымоотводов и воздуховодов должны быть заводского изготовления и иметь сертификат соответствия техническим условиям.
В случае использования дымоходов сборной конструкции из неметаллических материалов тройники соединений коллективного дымохода с дымоотводами должны быть обязательно изготовлены в заводских условиях и иметь сертификаты соответствия техническим условиям.
6.11 Узлы стыковых соединений дымоходов должны располагаться вне конструкции перекрытия (покрытия) на расстояниях, обеспечивающих удобство их монтажа, обслуживания и ремонта. Стыки должны иметь устройства, исключающие смещение секций относительно друг друга.
Конструкции заделки отверстий в местах проходов дымоходов через перекрытия (покрытие) жилого здания должны обеспечивать устойчивость конструкции дымоходов и возможность их смещений, вызванных температурными воздействиями.
6.12 Не допускается использование отверстий в плитах перекрытий в качестве соединительных элементов газохода.
6.13 В случае использования дымоходов сборной конструкции из металлических материалов соединения деталей дымоходов должны осуществляться затяжными механическими креплениями. Использование клепаных соединений запрещается. Допускается использование герметизирующих материалов, имеющих сертификаты соответствия Роспотребнадзора и МЧС России.
6.14 В верхней части дымохода должен быть предусмотрен оголовок, препятствующий попаданию птиц, снега, дождя и мусора внутрь дымохода. Конструкция оголовка не должна затруднять выход дымовых газов при любых погодных условиях. При коаксиальном исполнении выходное сечение оголовка должно быть, как минимум, в два раза больше сечения устья дымохода (воздуховода).
6.15 На дымоотводах допускается предусматривать не более трех поворотов, включая соединение его с дымоходом, с радиусом закругления не менее диаметра трубы. При этом углы поворотов должны быть не менее 90°.
6.16 Суммарная длина дымоотводов и воздухоподводов от места забора воздуха не должна превышать значений, рекомендованных предприятием - изготовителем теплогенератора. При изменении направления воздухоподвода и дымоотвода допустимую длину горизонтального участка следует уменьшать на 0,8 м после каждого поворота (колена).
6.17 Дымоход должен иметь вертикальное направление и не иметь сужений. Допускается иметь не более двух перемен направления оси дымохода, при этом угол отклонения от вертикали должен быть не более 30°.
6.18 Коллективные дымоходы и воздуховоды могут проектироваться круглого или прямоугольного сечения. При прямоугольном сечении отношение большей стороны к меньшей не должно превышать 1,5, углы должны быть скруглены с радиусом скругления не менее 20 мм.
6.19 Дымоотвод следует прокладывать с уклоном не менее 3% в сторону от теплогенератора, и он должен иметь устройства с заглушкой для отбора проб в целях проверки качества горения.
6.20 Дымоотвод должен быть надежно и герметично закреплен на патрубке входа в дымоход. Не допускается вводить дымоотвод внутрь дымохода, уменьшая его сечение.
6.21 Воздухозаборные устройства не должны иметь заграждений, препятствующих свободному притоку воздуха, и должны быть защищены металлической сеткой от проникновения в них мусора, птиц и посторонних предметов. При надземном размещении и размещении на кровле здания воздухозаборные отверстия следует предусматривать на 0,5 м выше устойчивого снегового покрова, но на высоте не более 2 м.
6.22 В соединениях участков воздуховодов различного направления не должно быть сужений сечения и острых кромок. Угол соединения двух участков воздуховодов должен быть не менее 90°.
6.23 Площадь сечения дымоотвода и воздуховода к теплогенератору не должна быть меньше площадей сечения патрубков присоединяемого котла.
6.24 Во избежание конденсации водяных паров на наружной поверхности раздельного воздуховода должна быть предусмотрена теплоизоляционная конструкция из негорючих материалов группы НГ, соответствующая СП 61.13330. Рекомендуется рассчитывать толщину теплоизоляционного слоя дымохода из условия обеспечения температуры стенки дымохода в рабочем режиме выше точки росы дымовых газов при самой низкой расчетной температуре наружного воздуха.
6.25 Дымоход и воздуховод должны быть влагостойкими и водонепроницаемыми.
6.26 Сечения дымоходов и приточных коллективных воздуховодов следует определять расчетом исходя из количества дымовых газов от одного теплогенератора и числа теплогенераторов, присоединяемых к дымоходу, с учетом одновременной их работы. При этом самотяга дымохода должна быть не менее чем на 20% выше суммы всех аэродинамических потерь газовоздушного тракта при любых режимах работы.
При любом режиме работы теплогенератора в дымоходе по всей его высоте должно создаваться разрежение по отношению к смежным помещениям.
6.27 Все элементы дымохода должны исключать возможность просачивания конденсата в них или через них. Все стыки и соединения элементов дымохода и вводы дымоотвода должны быть устроены таким образом, чтобы конденсат свободно стекал вниз, не просачиваясь внутрь конструкции и не попадая в дымоотвод.
6.28 В нижней части дымохода должна быть предусмотрена сборная камера высотой не менее 0,5 м для сбора мусора и других твердых частиц, прочистки дымохода, установки сифона и емкости для отвода конденсата, устройства регулируемого подсоса воздуха (ограничитель тяги) с глушителем и предохранительным клапаном. Камера должна иметь проем для осмотра, прочистки и устройства отвода и раскисления конденсата. Проем должен герметично закрываться металлической дверцей.
6.29 Минимальная высота дымохода от места присоединения дымоотвода последнего котла до оголовка на крыше должна составлять не менее 3 м.
6.30 Патрубок подвода компенсационного воздуха должен выходить непосредственно в атмосферу или соединяться каналом с коллективным воздуховодом.
Патрубок подвода компенсационного воздуха должен быть защищен от попадания мусора и посторонних предметов решеткой с мелкой сеткой. При этом живое сечение решетки должно обеспечивать приток воздуха в объеме не менее 1,5 расхода воздуха при работе одного агрегата на номинальной мощности.
6.31 В нижней и верхней частях дымохода должны быть предусмотрены отверстия с заглушками для измерения температуры дымовых газов и разрежения в дымоходе.
6.32 Расстояние от дымоотвода до стены или потолка из негорючих материалов следует принимать не менее 50 мм. При конструкциях наружного слоя стен или потолков из горючих материалов расстояние до них следует принимать не менее 250 мм.
6.33 Дымоходы и дымоотводы должны иметь теплоизоляцию, обеспечивающую температуру на наружной поверхности дымохода в местах, доступных человеку, не выше 45°С в соответствии с СП 61.13330.
Рекомендуется рассчитывать толщину теплоизоляционного слоя исходя из условия обеспечения температуры стенки дымохода в рабочем режиме выше точки росы дымовых газов при самой низкой расчетной температуре наружного воздуха.
6.34 Установка дымососа внутри коллективного дымохода не допускается.
6.35 Высоту дымоходов от теплогенераторов в зданиях принимают по результатам аэродинамического расчета и проверки по условиям рассеивания в атмосфере вредных веществ, приведенным в [2] (см. также рисунок 6.1). Высота должна быть:
- не менее чем на 0,5 м выше конька или парапета кровли при расположении их (считая по горизонтали) не далее 1,5 м от конька или парапета кровли;
- в уровень с коньком или парапетом крыши, если они отстоят на расстоянии до 3 м от конька кровли или парапета;
- не ниже прямой, проведенной от конька или парапета вниз под углом 10° к горизонту, при расположении дымоходов на расстоянии более 3 м от конька или парапета кровли;
- не менее чем на 0,5 м выше границы зоны ветрового подпора, если вблизи дымохода находятся более высокие части здания, строения или деревья.
Во всех случаях высота дымохода над прилегающей частью кровли должна быть не менее 0,5 м, а для домов с совмещенной кровлей - не менее 2,0 м.
Устья кирпичных дымоходов при отсутствии колпака на высоту 0,2 м следует защищать от атмосферных осадков слоем цементного раствора.

Рисунок 6.1 - Высота дымоходов в зданиях
Приложение А
(обязательное)
Методика аэродинамического расчета системы подачи воздуха на горение и удаления продуктов сгорания
А.1 Целями выполнения аэродинамического расчета являются проверка работоспособности системы подачи воздуха на горение и удаления продуктов сгорания и определение расчетных данных для конструирования системы. В основу аэродинамического расчета положены физические зависимости аэродинамических потоков гидравлических сопротивлений.
А.2 Проектирование систем подачи воздуха и удаления продуктов сгорания следует начинать с ознакомления с конструкцией и характеристиками теплогенератора, проверки рекомендуемых производителем условий его подключения к тракту удаления продуктов сгорания (дымоходам), в том числе максимальных длин дымоотводов и воздухоподводов, а также с определения гидравлических сопротивлений каждого элемента системы.
А.3 Конструкцией теплогенераторов предусмотрены две возможности соединения с системой "отвод продуктов сгорания - подача воздуха": через коаксиальную трубу диаметром 60/100 мм или раздельными трубами диаметром 80/80 мм. Во входные отверстия дымоотводов вмонтированы патрубки для подключения устройства отбора проб для анализа уходящих газов.
А.4 В зависимости от мощности теплогенератора, мощности установленного вентилятора и принятой системы "отвода продуктов сгорания - подача воздуха" (коаксиальная или раздельная) в руководстве по эксплуатации каждого теплогенератора приведены рекомендуемые длины воздуховодов и дымоотводов. В тех случаях, когда проектные длины меньше рекомендуемых производителем, в комплекте с теплогенератором поставляются диафрагмы для увеличения сопротивления газовоздушного тракта. Таким образом, конструкцией и элементами теплогенератора обеспечивается подключение дымоотвода к коллективному дымоходу без избыточного давления и определяется работа дымохода при самотяге. При этом нормальная работа дымохода определяется соблюдением обязательного условия - самотяга должна быть не менее чем на 20% больше суммы расчетных сопротивлений дымохода. Аэродинамическим расчетом определяются расчетные значения самотяги и всех сопротивлений дымохода. Все сопротивления обычно разделяются на две группы:
- сопротивления трения, т.е. сопротивление при течении потока в прямом канале постоянного сечения:
- местные сопротивления, связанные с изменением формы или направления канала, каждое из которых считается условно сосредоточенным в каком-либо одном сечении канала, т.е. не включает в себя сопротивление трения.
Диаметр устья дымохода , м, определяют по формуле
,(А.1)
где n - число теплогенераторов, подключенных к одному дымоходу;
V - объем дымовых газов, образующихся при сгорании топлива, на выходе из дымохода от одного теплогенератора, м3/с;
W - скорость дымовых газов на выходе из устья дымохода, м/с.
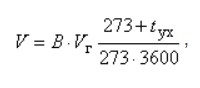
Объем дымовых газов V, м3/с, образующихся при сгорании топлива [3], определяют по формуле
,(А.2)
где B - расход топлива, м3/ч;
Vr - теоретический объем продуктов сгорания, образующихся при полном сгорании теоретически необходимого количества воздуха при сжигании 1 м природного газа, м3/м3;
tyx - температура уходящих газов за теплогенератором, °С.
Объем дымовых газов, м/м, образующихся при полном сгорании топлива, определяют по формуле
,(А.3)
где VRO2 - объем трехатомных газов, м3/м3;
VN20 - теоретический объем азота, м3/м3;
VH20 - теоретический объем водяных паров, м3/м3;
α - коэффициент избытка воздуха, принимают по паспортным данным теплогенератора;
V0 - теоретический объем воздуха, м3/м3.
Объем воздуха и продуктов сгорания газообразных топлив, м3/м3, при α=1,0°С и 760 мм рт.ст. принимают по таблицам характеристик газообразного топлива.
VH20 рассчитывают по формуле
,(А.4)
А.5 Расчетными режимами являются режимы работы всех теплогенераторов, подключенных к данному дымоходу, с максимальной теплопроизводительностью в зимнее и летнее время. Полученные расчетные данные проверяют на наиболее неблагоприятный режим - работу одного наименьшего по теплопроизводительности теплогенератора летом при максимальной температуре самого жаркого месяца.
Охлаждение дымовых газов в дымоходе не учитывают.
Самотягу коллективных дымоходов, Па, определяют по формуле
,(А.5)
где H - высота дымохода, м;
g - ускорение свободного падения, 9,81 м/с2;
ρ - плотность наружного воздуха при 760 мм рт.ст. и температуре наружного воздуха в расчетный период, кгс·с2/м4;
p - абсолютное среднее давление газов на участке, Па;
ρ0 - плотность дымовых газов при 760 мм рт.ст. и 0°С, кгс·с2/м4;
θ - средняя температура газового потока на данном участке, °С.
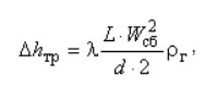
Сопротивление трения дымоходов, Па, рассчитывают по формуле
,(А.6)
где λ - коэффициент сопротивления трения, принимаемый по характеристикам материала, из которого изготовлен дымоход;
L - длина участка, м;
W - скорость дымовых газов в дымоходе, м/с;
d - диаметр дымохода, м;
ρr - плотность газов, кгс·с2/м4.
Местные сопротивления дымохода, Па, рассчитывают по формуле
, (А.7)
где Σξ - сумма коэффициентов местного сопротивления.
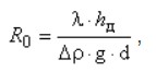
Возможность возникновения избыточного давления проверяют по критерию R0:
, (А.8)
где λ - коэффициент сопротивления трения;
hд - динамическое давление, Па.
, (А.9)
Δρ - разность плотностей окружающего воздуха и дымовых газов.
Если R0≤1, то весь дымоход находится под разрежением.
Общее сопротивление дымохода, Па, составляет
, (А.10)
А.6 Правильность принятых решений по организации системы подачи воздуха на горение и удаления продуктов сгорания для теплогенераторов на газовом топливе, расчета необходимого диаметра воздуховода и скорости выхода дымовых газов из устья дымохода подтверждается следующим обязательным условием:
, (А.11)
Принятую высоту дымовой трубы проверяют на предмет рассеивания вредных выбросов в приземном слое [3].
Приведенный алгоритм расчетов может служить основой создания программного обеспечения для производства, аэродинамического расчета и конструирования систем подачи воздуха и удаления продуктов сгорания.
В приложении Б приведен пример аэродинамического расчета выбора высоты и диаметров дымовой трубы многоквартирного жилого дома, состоящего из 9-этажных секций и 10-этажной секции.
Приложение Б
(справочное)
Пример аэродинамического расчета
Системы дымоудаления и воздухоподачи
Б.1 Исходные данные
В настоящем приложении рассмотрена проектная документация на строительство разноэтажного (9-10 этажей) 3-секционного жилого дома серии 121М-2003С.
В соответствии с заданием заказчика для теплоснабжения систем отопления, вентиляции и горячего водоснабжения квартир приняты разные типы теплогенераторов:
- для однокомнатных и двухкомнатных квартир - 2-контурные теплогенераторы тепловой мощностью 23 кВт;
- для трехкомнатных квартир и для отопления помещений консьержей и лестничных клеток - 2-контурные теплогенераторы тепловой мощностью 28 кВт.
Проектом принята раздельная система подачи воздуха индивидуальными воздуховодами, обеспечивающими забор воздуха через фасадную стену и подачу его индивидуально к каждому теплогенератору и отвод дымовых газов коллективным дымоходом.
В соответствии с архитектурно-планировочными решениями:
- дом состоит из трех секций - левой, средней и правой;
- левая и средняя секции - 9-этажные, правая секция 10-этажная;
- размещение квартир в секциях и поэтажно различное.
Для жилых квартир предусмотрено по четыре коллективных дымохода (по числу квартир на каждом типовом этаже) в каждой секции. К каждому дымоходу подключаются дымоотводы, указанные в перечислениях а)-в).
а) Секция левая 9-этажная:
1) дымоход N 1: девять дымоотводов от теплогенераторов, установленных в кухнях двухкомнатных квартир;
2) дымоход N 2: девять дымоотводов по одному от теплогенераторов, установленных в кухне каждой трехкомнатной квартиры;
3) дымоход N 3: девять дымоотводов по одному от теплогенераторов, установленных в кухне каждой двухкомнатной квартиры;
4) дымоход N 4: 1-й этаж - один дымоотвод от теплогенератора, установленного в кухне трехкомнатной квартиры, и один дымоотвод от теплогенератора, установленного в помещении консьержа; 2-й-9-й этажи - восемь дымоотводов по одному дымоотводу от теплогенераторов, установленных в кухнях каждой однокомнатной квартиры.
б) Секция средняя 9-этажная:
1) дымоход N 5: 1-й этаж - один дымоотвод от теплогенератора, установленного в кухне однокомнатной квартиры; 2-й-9-й этажи - восемь дымоотводов по одному дымоотводу от теплогенераторов, установленных в кухнях каждой двухкомнатной квартиры;
2) дымоход N 6: девять дымоотводов по одному от теплогенераторов, установленных в кухне каждой трехкомнатной квартиры;
3) дымоход N 7: 1-й этаж - один дымоотвод от теплогенератора, установленного в кухне трехкомнатной квартиры; 2-й-9-й этажи - восемь дымоотводов по одному дымоотводу от теплогенераторов, установленных в кухнях каждой двухкомнатной квартиры;
4) дымоход N 8: 1-й этаж - один дымоотвод от теплогенератора, установленного в помещении консьержа и предназначенного для теплоснабжения помещения консьержа и лестничных клеток секции; 2-й-9-й этажи - восемь дымоотводов по одному дымоотводу от теплогенераторов, установленных в кухнях каждой однокомнатной квартиры.
в) Секция правая 10-этажная:
1) дымоход N 9: 1-й этаж - один дымоотвод от теплогенератора, установленного в кухне однокомнатной квартиры; 2-й-10-й этажи - девять дымоотводов по одному дымоотводу от теплогенераторов, установленных в кухнях каждой двухкомнатной квартиры;
2) дымоход N 10: один дымоотвод от теплогенератора, установленного в кухне двухкомнатной квартиры; 2-й-10-й этажи - девять дымоотводов по одному дымоотводу от теплогенераторов, установленных в кухнях каждой трехкомнатной квартиры;
3) дымоход N 11: 10 дымоотводов по одному дымоотводу от теплогенераторов, установленных в кухнях каждой двухкомнатной квартиры;
4) дымоход N 12: 1-й этаж - один дымоотвод от теплогенератора, установленного в помещении консьержа и предназначенного для теплоснабжения помещения консьержа и лестничных клеток секции; 2-й-10-й этажи - девять дымоотводов по одному дымоотводу от теплогенераторов, установленных в кухнях каждой однокомнатной квартиры.
Изложенные обстоятельства привели к необходимости работы дымоходов в разных условиях, указанных в таблице Б.1.
Расчеты выполнены исходя из условий работы всех теплогенераторов на один дымоход в зимнем режиме, при работе всех теплогенераторов на один дымоход в летнем режиме и проверены на самые неблагоприятные условия: работа одного наименьшего по производительности теплогенератора при максимальной температуре воздуха (см. таблицу Б.8).
Проведенные расчеты показывают, что конструктивно дымоходы обеспечивают необходимую тягу во всех режимах. При этом расчетные данные по потерям давления на трение и местные потери различаются на десятые и сотые доли миллиметра.
Исходя из этого для дымоходов N 9 и N 11 в случае необходимости можно воспользоваться данными расчетов таблицы Б.4.
Каждый дымоход расположен в шахте, встроенной в лоджии.
Нижняя часть всех дымоходов размещена в лоджии первого этажа. Отметка верха всех дымоходов левой и средней секции +31 м, правой секции +33 м.
В нижней части каждого дымохода должна быть предусмотрена камера высотой не менее 0,5 м. Камера должна иметь проем для обеспечения осмотра, прочистки дымохода, сбора и отвода конденсата в случае его образования.
Для выравнивания тяги в нижней части дымохода должно быть предусмотрено устройство регулярного подсоса воздуха. Патрубок подсоса воздуха должен быть защищен от попадания мусора и посторонних предметов.
Суммарная длина дымоотвода и воздуховода от места забора воздуха не должна превышать значений, рекомендованных предприятием-изготовителем.
Конструкцию дымоходов, дымоотводов и воздуховодов следует предусматривать сборную из металлических материалов. Соединение деталей должно осуществляться соединительными крепежными элементами в соответствии с рекомендациями предприятия-изготовителя. Для уплотнения соединений допускается использование негорючих герметизирующих материалов.
Дымоотводы следует прокладывать с уклоном не менее 3% от теплогенератора и предусматривать устройства с заглушкой для отбора проб для проверки качества горения. Как правило, указанные устройства устанавливают на сборном коробе дымовых газов теплогенератора и поставляют вместе с теплогенератором.
Для обеспечения надежности, долговечности и технологичности коллективные дымоходы, их элементы, а также дымоотводы и воздуховоды теплогенераторов следует принимать металлическими, двухслойными с теплоизоляционным слоем.
Б.2 Аэродинамический расчет дымоходов поквартирных систем теплоснабжения
Б.2.1 Расчет диаметров дымоходов
Выход дымовых газов при сгорании топлива, м3/с, от одного теплогенератора определяют по формуле
,
где B - расход топлива, подаваемого к теплогенератору, м/ч;
Vr - выход продуктов сгорания на 1м3 природного газа, м3/м3;
tyx - температура уходящих газов за теплогенератором, tyx=120°С.
Для газопровода "Средняя Азия - Центр" принимают [3]:
Расчетные данные по объему выходящих дымовых газов от каждого коллективного дымохода указаны в таблице Б.1.
Расчетными режимами являются режимы работы всех подключенных к данному дымоходу теплогенераторов с максимальной производительностью в зимнее и летнее время. Расчетные данные проверяют на наиболее неблагопрятный режим - работу одного наименьшего по теплопроизводительности теплогенератора летом при максимальной температуре самого жаркого месяца.
Охлаждение дымовых газов в дымоходе не учитывается.
По данным производителя расход природного газа на один теплогенератор составляет:
- двухконтурный тепловой мощностью 23 кВт - 2,65 м3/ч;
- двухконтурный тепловой мощностью 28 кВт - 3,25 м3/ч.
Выход дымовых газов от одного теплогенератора составляет:
- мощностью 23 кВт - V=2,65*15.144(273+120)/273*3600=0.016 м3/ч;
- мощностью 28 кВт - V=3,25*15.144(273+120)/273*3600=0.0197 м3/ч.
Диаметр устья дымохода , м, определяют по формуле
где n - число теплогенераторов, подключенных к одному дымоходу;
V - объем дымовых газов на выходе из дымохода, м3/с;
W - скорость дымовых газов на выходе из устья дымохода, м/с.
Исходя из условий задувания принимают 6 м/с.
Расчетные значения диаметров устья для каждого дымохода указаны в таблице Б.1.
Таблица Б.1 - Расчетные исходные данные
| N дымохода | Число и мощность присоединяемых теплогенераторов | Общий объем дымовых газов на выходе из устья дымохода, м3/с | Диаметр устья дымохода, мм | Расчетная скорость на выходе из дымохода, м/с, при d=200 | ||
|---|---|---|---|---|---|---|
| при работе всех теплогенераторов | при работе одного теплогенератора | |||||
| 1 | 9 2-конт. 23 кВт | 0,144 | 174 | 4,58 | 0,5 | |
| 2 | 9 2-конт. 28 кВт | 0,177 | 194 | 5,64 | 0,63 | |
| 3 | 9 2-конт. 23 кВт | 0,144 | 177 | 4,70 | 0,5 | |
| 4 | 9 2-конт. 23 кВт + | 1 2-конт. 28 кВт | 0,1674 | 188 | 5,33 | 0,5 |
| 5 | 9 2-конт. 23 кВт | 0,144 | 174 | 4,58 | 0,5 | |
| 6 | 9 2-конт. 28 кВт | 0,177 | 194 | 5,64 | 0,63 | |
| 7 | 8 2-конт. 23 кВт + | 1 2-конт. 28 кВт | 0,1477 | 177 | 4,70 | 0,5 |
| 8 | 9 2-конт. 23 кВт + | 1 2-конт. 28 кВт | 0,1477 | 177 | 4,70 | 0,5 |
| 9 | 10 2-конт. 23 кВт | 0,16 | 184 | 5,09 | 0,5 | |
| 10 | 1 2-конт. 23 кВт + | 9 2-конт. 28 кВт | 0,193 | 200 | 6,14 | 0,5 |
| 11 | 10 2-конт. 23 кВт | 0,160 | 184 | 5,09 | 0,5 | |
| 12 | 9 2-конт. 23 кВт + | 1 2-конт. 28 кВт | 0,164 | 186 | 3,22 | 0,5 |
Принимают ближайший стандартный диаметр дымоходов 200 мм.
Б.3 Аэродинамический расчет
Самотягу коллективных дымоходов, Па, определяют по следующей формуле

где H - высота дымохода, м;
g - ускорение свободного падения, 9,81 м/с2;
p - абсолютное среднее давление газов на участке, Па;
ρ0 - плотность дымовых газов, кгс·с2/м4, при 760 мм рт.ст. и 0°С 0,132 кгс·с2/м4;
ρr - плотность дымовых газов при 760 мм рт.ст. и температуре 120°С, кгс·с2/м4:

θ - средняя температура газового потока на данном участке, °С, θ=120°С;
t3 - средняя температура наружного воздуха наиболее холодного месяца - минус 36°С;
tл - средняя температура наружного воздуха наиболее теплого месяца - плюс 23,6°С;
0,123 - плотность наружного воздуха при 760 мм рт.ст. и температуре 20°С.
Плотность воздуха, кгс·с2/м4, при наружной температуре минус 36°С

Плотность воздуха при наружной температуре плюс 37°С

Высота дымоходов левой и средней секций - 31 м и 29 м, правой секции - 33,5 м и 31,5 м.
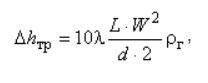
Сопротивление трения дымоходов, Па, определяют по формуле

где λ - коэффициент сопротивления трения; 0,02;
L - длина участка, м;
Wсб2 - скорость дымовых газов в дымоходе, м/с;
d - диаметр дымохода, м;
ρr - плотность газов, кгс·с2/м4.
Местные сопротивления дымохода, Па, определяют по формуле

где Σξ - сумма коэффициентов местного сопротивления:
ξ=0,25 сопротивления тройника 90°;
ξ=1,0 сопротивления выхода из дымохода.
Возможность возникновения избыточного давления проверяют по критерию R0:

Общее сопротивление дымохода, Па, составляет

Правильность принятых решений по организации системы дымоудаления, расчету необходимого диаметра воздуховода и скорости выхода дымовых газов из устья дымохода подтверждается следующими обязательными условиями:

Расчетные данные аэродинамических расчетов дымоходов приведены в таблицах Б.2-Б.9.
Таблица Б.2
| Коллективные дымоходы N 1, N 3, N 5 | |||||||||
|---|---|---|---|---|---|---|---|---|---|
| Участок | Отметка участка | L, м | Vr, м3/с | Холодный период (в работе все теплогенераторы) | |||||
| W, м/с | hc, Па | Δhтр, Па | Δhм, Па | 1,2ΣΔh, Па | R0 | ||||
| 1-го этажа | 1,90 | 3,25 | 0,016 | 0,5 | H=3,25 19,5 |
0,036 | 0,14 | 0,21 | 0,0016 |
| 2-го этажа | 4,60 | 2,70 | 0,032 | 1,0 | H=5,95 35,7 |
0,126 | 0,56 | 0,82 | 0,00656 |
| 3-го этажа | 7,30 | 2,70 | 0,048 | 1,53 | H=8,65 51,9 |
0,28 | 1,31 | 1,9 | 0,0153 |
| 4-го этажа | 10,00 | 2,70 | 0,064 | 2,04 | H=11,35 68,1 |
0,5 | 2,33 | 3,39 | 0,0273 |
| 5-го этажа | 12,70 | 2,70 | 0,08 | 2,55 | H=14,05 84,3 |
0,79 | 3,64 | 5,31 | 0,0426 |
| 6-го этажа | 15,40 | 2,70 | 0,096 | 3,06 | H=16,75 100,5 |
1,14 | 5,24 | 7,66 | 0,0614 |
| 7-го этажа | 18,10 | 2,70 | 0,112 | 3,57 | H=18,45 110,7 |
1,55 | 7,14 | 10,43 | 0,0836 |
| 8-го этажа | 20,80 | 2,70 | 0,128 | 4,076 | H=21,15 126,9 |
2,02 | 9,3 | 13,58 | 0,11 |
| 9-го этажа | 23,5 | 2,7 | 0,144 | 4,58 | H=23,85 143,1 |
2,55 | 11,74 | 17,15 | 0,1376 |
| Устье дымохода | 29 | 5,5 | 0,144 | 4,5 | H=29 174 |
5,01 | 11,39 | 17,57 | 0,176 |
| 31 | 7,5 | 0,144 | 4,5 | H=31 186 |
6,83 | 11,39 | 21,86 | 0,176 | |
Таблица Б.3
| Коллективные дымоходы N2, N6 | |||||||||
|---|---|---|---|---|---|---|---|---|---|
| Участок | Отметка участка | L, м | Vr, м3/с | Холодный период (в работе все теплогенераторы) | |||||
| W, м/с | hc, Па | Δhтр, Па | Δhм, Па | 1,2ΣΔh, Па | R0 | ||||
| 1-го этажа | 1,90 | 3,25 | 0,0197 | 0,63 | H=3,25 19,5 |
0,029 | 0,223 | 3,02 | 0,00297 |
| 2-го этажа | 4,60 | 2,70 | 0,0394 | 1,25 | H=5,95 35,7 |
0,189 | 0,878 | 1,28 | 0,0169 |
| 3-го этажа | 7,30 | 2,70 | 0,0591 | 1,88 | H=8,65 51,9 |
0,429 | 1,986 | 2,898 | 0,02643 |
| 4-го этажа | 10,00 | 2,70 | 0,0788 | 2,509 | H=11,35 68,1 |
0,765 | 3,538 | 5,163 | 0,04708 |
| 5-го этажа | 12,70 | 2,70 | 0,0985 | 3,137 | H=14,05 84,3 |
1,195 | 5,53 | 8,07 | 0,0736 |
| 6-го этажа | 15,40 | 2,70 | 0,1182 | 3,76 | H=16,75 100,5 |
1,718 | 7,945 | 11,595 | 0,1057 |
| 7-го этажа | 18,10 | 2,70 | 0,1379 | 4,39 | H=18,45 110,7 |
2,341 | 10,83 | 15,8 | 0,1441 |
| 8-го этажа | 20,80 | 2,70 | 0,1576 | 5,019 | H=21,15 126,9 |
3,06 | 14,15 | 20,65 | 0,1884 |
| 9-го этажа | 23,5 | 2,70 | 0,1773 | 5,646 | H=23,85 143,1 |
3,873 | 17,915 | 26,146 | 0,2384 | Устье дымохода | 29 | 5,5 | 0,1773 | 5,646 | H=29 174 |
7,889 | 14,34 | 26,67 | 0,2384 |
| 31 | 7,5 | 0,1773 | 5,646 | H=31 186 |
10,76 | 14,34 | 30,12 | 0,2384 | |
Таблица Б.4
| Коллективные дымоходы N9, N11 | |||||||||
|---|---|---|---|---|---|---|---|---|---|
| Участок | Отметка участка | L, м | Vr, м3/с | Холодный период (в работе все теплогенераторы) | |||||
| W, м/с | hc, Па | Δhтр, Па | Δhм, Па | 1,2ΣΔh, Па | R0 | ||||
| 1-го этажа | 1,90 | 3,25 | 0,016 | 0,5 | H=3,25 1.95 |
0,0036 | 0,014 | 0,021 | 0,0016 |
| 2-го этажа | 4,60 | 2,70 | 0,032 | 1,0 | 5,95 3.57 | 0,0126 | 0,056 | 0,082 | 0,00656 |
| 3-го этажа | 7,30 | 2,70 | 0,048 | 1,53 | H=8,65 5.19 | 0,028 | 0,131 | 0,19 | 0,0153 |
| 4-го этажа | 10,00 | 2,70 | 0,064 | 2,04 | H=11,35 6.81 | 0,05 | 0,233 | 0,339 | 0,0273 |
| 5-го этажа | 12,70 | 2,70 | 0,08 | 2,55 | H=14,05 8.43 | 0,079 | 0,364 | 0,531 | 0,0426 |
| 6-го этажа | 15,40 | 2,70 | 0,096 | 3,06 | H=16,75 10.05 | 0,114 | 0,524 | 0,766 | 0,0614 |
| 7-го этажа | 18,10 | 2,70 | 0,112 | 3,57 | H=18,45 11.07 | 0,155 | 0,714 | 1,043 | 0,0836 |
| 8-го этажа | 20,80 | 2,70 | 0,128 | 4,076 | H=21,15 12.69 | 0,202 | 0,93 | 1,358 | 0,11 |
| 9-го этажа | 23,5 | 2,70 | 0,144 | 4,58 | H=23,85 14.31 | 0,255 | 1,174 | 1,715 | 0,1376 |
| 10-го этажа | 26,2 | 2,70 | 0,16 | 5,095 | H=26,55 17.4 | 0,46 | 2,13 | 3,108 | 0,2835 |
| Устье дымохода | 31,50 | 4,95 | 0,16 | 6,156 | H=31,50 18.9 | 0,844 | 2,13 | 3,569 | 0,2835 |
| 33,50 | 6,95 | 0,16 | 6,156 | H=33,50 20.1 | 1,185 | 2,13 | 3,978 | 0,2835 | |
Таблица Б.5
| Коллективные дымоходы N9, N11 | |||||||||
|---|---|---|---|---|---|---|---|---|---|
| Участок | Отметка участка | L, м | Vr, м3/с | Холодный период (в работе все теплогенераторы) | |||||
| W, м/с | hc, Па | Δhтр, Па | Δhм, Па | 1,2ΣΔh, Па | R0 | ||||
| 1-го этажа | 1,90 | 3,25 | 0,016 | 0,5 | H=3,25 1.95 | 0,036 | 0,14 | 0,21 | 0,0187 |
| 2-го этажа | 4,60 | 2,70 | 0,0357 | 1,137 | H=5,95 3.57 | 0,126 | 0,726 | 0102* | 0,0967 |
| 3-го этажа | 7,30 | 2,70 | 0,0554 | 1,764 | H=8,65 5.19 | 0,28 | 1,75 | 0.243 | 0,233 |
| 4-го этажа | 10,00 | 2,70 | 0,0751 | 2,392 | H=11,35 6.81 | 0,5 | 3,21 | 0,445 | 0,428 |
| 5-го этажа | 12,70 | 2,70 | 0,0948 | 3,019 | H=14,05 8.43 | 0,79 | 5,12 | 0,7092 | 0,681 |
| 6-го этажа | 15,40 | 2,70 | 0,1145 | 3,646 | H=16,75 10.05 | 1,14 | 7,47 | 1,033 | 0,994 |
| 7-го этажа | 18,10 | 2,70 | 0,1342 | 4,2738 | H=18,45 11.07 | 1,55 | 7,14 | 1,043 | 1,37 |
| 8-го этажа | 20,80 | 2,70 | 0,1539 | 4,9012 | H=21,15 12.69 | 2,02 | 10,26 | 1,473 | 1,797 |
| 9-го этажа | 23,5 | 2,70 | 0,1736 | 5,528 | H=23,85 14.31 | 2,55 | 17,17 | 2,366 | 2,285 |
| 10-го этажа | 26,2 | 2,70 | 0,1933 | 6,156 | H=26,55 17.4 | 4,6 | 21,3 | 3,108 | 2,835 |
| Устье дымохода | 31,50 | 4,95 | 0,1933 | 6,156 | H=31,50 18.9 | 8,44 | 21,3 | 3,569 | 2,835 |
| 18,9 | 33,50 | 6,95 | 0,1933 | 6,156 | H=33,50 20.1 | 18,5 | 21,3 | 3,978 | 2,835 |
_______________
* Текст документа соответствует оригиналу.
Таблица Б.6
| Коллективные дымоходы N7, N8 | |||||||||
|---|---|---|---|---|---|---|---|---|---|
| Участок | Отметка участка | L, м | Vr, м3/с | Холодный период (в работе все теплогенераторы) | |||||
| W, м/с | hc, Па | Δhтр, Па | Δhм, Па | 1,2ΣΔh, Па | R0 | ||||
| 1-го этажа | 1,90 | 3,25 | 0,0197 | 0,63 | H=3,25 1.95 | 0,058 | 0,0223 | 0,337 | 0,00297 |
| 2-го этажа | 4,60 | 2,70 | 0,0357 | 1,137 | H=5,95 3.57 | 0,157 | 0,0726 | 1,06 | 0,00966 |
| 3-го этажа | 7,30 | 2,70 | 0,0517 | 1,646 | H=8,65 5.19 | 0,329 | 0,152 | 2,22 | 0,0202 |
| 4-го этажа | 10,00 | 2,70 | 0,0677 | 2,156 | H=11,35 6.81 | 0,565 | 0,2612 | 3,81 | 0,0347 |
| 5-го этажа | 12,70 | 2,70 | 0,0837 | 2,665 | H=14,05 8.43 | 0,863 | 0,399 | 5,82 | 0,0531 |
| 6-го этажа | 15,40 | 2,70 | 0,0997 | 3,175 | H=16,75 10.05 | 1,225 | 0,566 | 8,26 | 0,0754 |
| 7-го этажа | 18,10 | 2,70 | 0,116 | 3,694 | H=18,45 11.07 | 1,658 | 0,767 | 11,19 | 0,102 |
| 8-го этажа | 20,80 | 2,70 | 0,132 | 4,20 | H=21,15 12.69 | 2,14 | 0,991 | 14,46 | 0,132 |
| 9-го этажа | 23,5 | 2,7 | 0,148 | 4,71 | H=23,85 14.31 | 2,69 | 1,247 | 18,19 | 0,166 |
| Устье дымохода | 29 | 5,5 | 0,148 | 4,71 | 29 17.4 | 5,49 | 1,247 | 21,55 | 0,166 |
| 31 | 7,5 | 0,148 | 4,71 | H=31 18.6 | 7,49 | 1,247 | 23,95 | 0,166 | |
Таблица Б.7
| Коллективные дымоходы N1, N3, N5 | ||||||||||||||||||
|---|---|---|---|---|---|---|---|---|---|---|---|---|---|---|---|---|---|---|
| Участок | Отметка участка | L, м | Vr, м3/с | Холодный период (в работе все теплогенераторы) | ||||||||||||||
| W, м/с | hc, Па | Δhтр, Па | Δhм, Па | 1,2ΣΔh, Па | R0 | |||||||||||||
| 1-го этажа | 1,90 | 3,25 | 0,016 | 0,5 | H=3,25 8.28 | 0,036 | 0,14 | 0,21 | 0,00164 | |||||||||
| 2-го этажа | 4,60 | 2,70 | 0,032 | 1,0 | H=5,95 15.2 | 0,126 | 0,56 | 0,82 | 0,00164 | |||||||||
| 3-го этажа | 7,30 | 2,70 | 0,048 | 1,53 | H=8,65 22.05 | 0,28 | 1,31 | 1,9 | 0,00164 | |||||||||
| 4-го этажа | 10,00 | 2,70 | 0,064 | 2,04/ 3,62 | H=11,35 28.94 | 0,5 | 2,33 | 3,39 | 0,00164 | |||||||||
| 5-го этажа | 12,70 | 2,70 | 0,08 | 2,55/ 4,53 | H=14,05 35.82 | 0,79 | 3,64 | 5,31 | 0,00164 | |||||||||
| 6-го этажа | 15,40 | 2,70 | 0,096 | 3,06 | H=16,75 42.7 | 1,14 | 5,24 | 7,66 | 0,00164 | |||||||||
| 7-го этажа | 18,10 | 2,70 | 0,112 | 3,57 | H=18,45 47 | 1,55 | 7,14 | 10,43 | 0,00164 | |||||||||
| 8-го этажа | 20,80 | 2,70 | 0,128 | 4,076 | H=21,15 53.93 | 2,02 | 9,3 | 13,58 | 0,00164 | |||||||||
| 9-го этажа | 23,5 | 2,7 | 0,144 | 4,58 | H=23,85 60.82 | 2,55 | 11,74 | 17,15 | 0,00164 | |||||||||
| Устье дымохода | 29 | 5,5/8,5 | 0,144 | 4,58 | 7,395 | 5,2 | 9,44 | 17,57 | 0,00164 | 31 | 79,05 | 8,2 | 21,16 | |||||
Таблица Б.8
| Коллективный дымоход N10 | |||||||||
|---|---|---|---|---|---|---|---|---|---|
| Участок | Отметка участка | L, м | Vr, м3/с | Холодный период (в работе все теплогенераторы) | |||||
| W, м/с | hc, Па | Δhтр, Па | Δhм, Па | 1,2ΣΔh, Па | R0 | ||||
| 1-го этажа | 1,90 | 3,25 | 0,016 | 0,5 | H=3,25 0.828 | 0,036 | 0,14 | 0,21 | 0,00187 |
| 2-го этажа | 4,60 | 2,70 | 0,0357 | 1,137 | H=5,95 1.52 | 0,126 | 0,726 | 1,02 | 0,00967 |
| 3-го этажа | 7,30 | 2,70 | 0,0554 | 1,764 | H=8,65 2.205 | 0,28 | 1,75 | 2,43 | 0,0233 |
| 4-го этажа | 10,00 | 2,70 | 0,0751 | 2,392 | H=11,35 2.894 | 0,5 | 3,21 | 4,45 | 0,0428 |
| 5-го этажа | 12,70 | 2,70 | 0,0948 | 3,019 | H=14,05 3.582 | 0,79 | 5,12 | 7,092 | 0,0681 |
| 6-го этажа | 15,40 | 2,70 | 0,1145 | 3,646 | H=16,75 4.27 | 1,14 | 7,47 | 10,33 | 0,0994 |
| 7-го этажа | 18,10 | 2,70 | 0,1342 | 4,2738 | H=18,45 4.7 | 1,55 | 7,14 | 10,43 | 0,137 |
| 8-го этажа | 20,80 | 2,70 | 0,1539 | 4,9012 | H=21,15 5.393 | 2,02 | 10,26 | 14,73 | 0,1797 |
| 9-го этажа | 23,5 | 2,70 | 0,1736 | 5,528 | H=23,85 6.082 | 2,55 | 17,17 | 23,66 | 0,2285 |
| 10-го этажа | 26,2 | 2,70 | 0,1933 | 6,156 | H=26,55 6.77 | 4,6 | 21,3 | 31,08 | 0,2835 |
| Устье дымохода | 31,50 | 4,95 | 0,1933 | 6,156 | 8,032 | 8,44 | 21,3 | 35,69 | 0,2835 |
| 33,50 | 6,95 | 0,1933 | 6,156 | 8,542 | 11,85 | 21,3 | 39,78 | 0,2835 | |
Таблица Б.9
| Коллективный дымоход N10 | |||||||||
|---|---|---|---|---|---|---|---|---|---|
| Участок | Отметка участка | L, м | Vr, м3/с | Теплый период (в работе один теплогенератор 23 кВт) | |||||
| W, м/с | hc, Па | Δhтр, Па | Δhм, Па | 1,2ΣΔh, Па | R0 | ||||
| 1-го этажа | 1,90 | 3,25 | 0,016 | 0,5 | H=3,25 8.28 | 0,036 | 0,14 | 0,21 | 0,00164 |
| 2-го этажа | 4,60 | 2,70 | 0,016 | 0,5 | H=5,95 15.2 | 0,0303 | 0,14 | 0,204 | 0,00164 |
| 3-го этажа | 7,30 | 2,70 | 0,016 | 0,5 | H=8,65 22.05 | 0,0303 | 0,14 | 0,204 | 0,00164 |
| 4-го этажа | 10,00 | 2,70 | 0,016 | 0,5 | H=11,35 29.894 | 0,0303 | 0,14 | 0,204 | 0,00164 |
| 5-го этажа | 12,70 | 2,70 | 0,016 | 0,5 | H=14,05 35.82 | 0,0303 | 0,14 | 0,204 | 0,00164 |
| 6-го этажа | 15,40 | 2,70 | 0,016 | 0,5 | H=16,75 42.7 | 0,0303 | 0,14 | 0,204 | 0,00164 |
| 7-го этажа | 18,10 | 2,70 | 0,016 | 0,5 | H=18,45 47 | 0,0303 | 0,14 | 0,204 | 0,00164 |
| 8-го этажа | 20,80 | 2,70 | 0,016 | 0,5 | H=21,15 53.93 | 0,0303 | 0,14 | 0,204 | 0,00164 |
| 9-го этажа | 23,5 | 2,70 | 0,016 | 0,5 | H=23,85 60.82 | 0,0303 | 0,14 | 0,204 | 0,00164 |
| 10-го этажа | 26,2 | 2,70 | 0,016 | 0,5 | H=26,55 67.7 | 0,0303 | 0,14 | 0,204 | 0,00164 |
| Устье дымохода | 31,50 | 4,95 | 0,016 | 0,5 | 80,32 | 0,056 | 0,562 | 0,74 | 0,00164 |
| 33,50 | 6,95 | 0,016 | 0,5 | 85,42 | 0,078 | 0,562 | 0,768 | 0,00164 | |
Б.3 Расчеты выбросов вредных веществ
Объем сухих безвоздушных дымовых газов, м3/м3 образующихся при сжигании 1 м природного газа, составляет:

По данным фирмы-изготовителя в дымовых газах содержится;
- диоксид углерода СО - следы;
- оксид азота NOx=30ppm:
1 ppm = 2,05 сухих безвоздушных газов NOx,
1 ppm = 1,25 сухих безвоздушных газов СО;
- выбросы оксидов азота на 1 м3 природного газа:

Данные расчета вредных выбросов приведены в таблице Б.10.
Таблица Б.10
| N дымохода | Расход топлива, м3/с | Выход дымовых газов, м3/с | Выбросы СО, г/с | Выбросы NOx, г/с | Выбросы NO, г/с | Выбросы NO2, г/с |
|---|---|---|---|---|---|---|
| 1 | 0,0066 | 0,144 | Следы | 0,00614 | 0,000798 | 0,00491 |
| 2 | 0,008125 | 0,1773 | Следы | 0,00756 | 0,000983 | 0,00605 |
| 3 | 0,0066 | 0,144 | Следы | 0,00614 | 0,000798 | 0,00491 |
| 4 | 0,00769 | 0,1674 | Следы | 0,00716 | 0,000931 | 0,00573 |
| 5 | 0,0066 | 0,144 | Следы | 0,00614 | 0,000798 | 0,004915 |
| 6 | 0,008125 | 0,1773 | Следы | 0,00756 | 0,000983 | 0,00605 |
| 7 | 0,00679 | 0,1477 | Следы | 0,00632 | 0,000822 | 0,00505 |
| 8 | 0,00679 | 0,1477 | Следы | 0,00632 | 0,000822 | 0,00505 |
| 9 | 0,00736 | 0,16 | Следы | 0,00685 | 0,00089 | 0,00548 |
| 10 | 0,00886 | 0,193 | Следы | 0,00825 | 0,00107 | 0,0065 |
| 11 | 0,00736 | 0,16 | Следы | 0,00685 | 0,00089 | 0,00548 |
| 12 | 0,00752 | 0,1637 | Следы | 0,007 | 0,00091 | 0,0056 |
На основании данных расчетов выполнен "Расчет концентраций в атмосферном воздухе вредных веществ, содержащихся в выбросах предприятий" по программе "Призма" V.1.7.
Результаты расчета:
Концентрация всех вредных выбросов в атмосфере значительно менее 0,1 ПДК.
Данные расчеты показывают, что значение самотяги на каждом участке превышает общее сопротивление с коэффициентом запаса 1,2.
Выполненные расчеты относятся к любому дымоходу, т.к. все дымоходы имеют одинаковые отметки, и к ним подключено одинаковое число котлов (шесть котлов).
Библиография
[1] - Федеральный закон от 30 декабря 2009 г. N 384-ФЗ "Технический регламент о безопасности зданий и сооружений"
[2] - ОНД-86 Методика расчета концентраций в атмосферном воздухе вредных веществ, содержащихся в выбросах предприятий (утверждена Госкомгидрометом СССР 4 августа 1986 г. N 192)
[3] - Тепловой расчет котельных агрегатов (нормативный метод). - 3-е изд., перераб. и доп. - СПб: НПО ЦКТИ, 1988